ORIGINAL RESEARCH article
Front. Digit. Health
Sec. Health Technology Implementation
This article is part of the Research TopicDigital Medicine and Artificial IntelligenceView all 18 articles
Cost-effectiveness analysis of AI-assisted chest X-ray Interpretation tools for TB screening: a rapid HTA in India.
Provisionally accepted- 1Indian Institute of Public Health Gandhinagar (IIPHG), Gandhinagar, India
- 2Department of Health Research, New Delhi, India
Select one of your emails
You have multiple emails registered with Frontiers:
Notify me on publication
Please enter your email address:
If you already have an account, please login
You don't have a Frontiers account ? You can register here
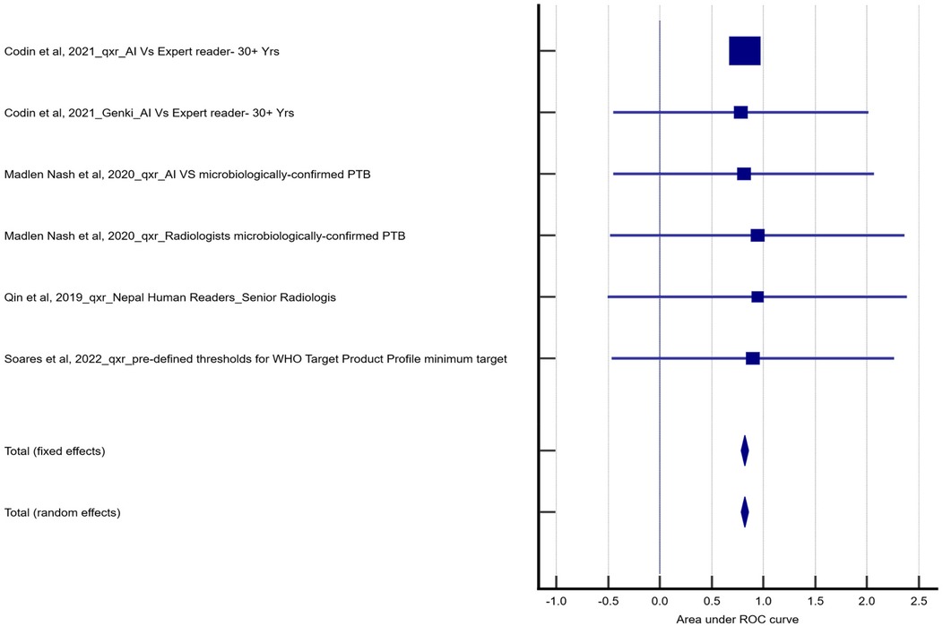
Background: Early diagnosis remains one of the major barriers to treating and managing tuberculosis. Artificial Intelligence (AI) has gained significant importance and has been employed in the context of tuberculosis screening as well. This study assessed whether newer AI-assisted technologies provide cost-effective benefits for pulmonary tuberculosis (PTB) diagnosis in resource-constrained settings. Methods: This retrospective study analyzed secondary data from patients who underwent tuberculosis screening using chest X-rays interpreted by AI-assisted software (qXR and Genki) in 2023. The pooled diagnostic accuracy was calculated using the secondary literature and cost-effectiveness was assessed by comparing the newer technology with conventional mode, i.e., manual interpretation by radiologists using digital X-ray. The Cost-effectiveness analysis was undertaken using the HTAIn guidelines. Incremental cost per additional case interpreted was considered as an outcome. Findings: An incremental cost-effectiveness ratio (ICER) for qXR was Indian Rupee (INR) -9,865 (-120 United States Dollar (USD)) per case interpreted which showed that intervention is cost saving, while for Genki, the corresponding value was INR 11,287 (137 USD) which showed that intervention is cost-effective. Both ICER values were below India's per capita GDP for 2022. The threshold analysis showed that healthcare systems could invest a maximum amount of INR 35 (USD 0.43) for Genki and INR 410 (USD 5) for qXR to interpret one presumptive TB case. Interpretation: AI-assisted tools qXR and Genki improve TB diagnosis with high sensitivity, specificity, and cost-effectiveness, offering a valuable alternative to traditional radiologist interpretation. Particularly beneficial in resource-limited settings like India, these technologies can enhance TB detection and patient outcomes in high-volume public healthcare institutions. Funding: The Department of Health and Research, Ministry of Health and Family Welfare, Government of India.
Keywords: AI, Tuberculosis screening, HTA, Cost-Effectiveness, Chest X-ray
Received: 15 May 2025; Accepted: 07 Nov 2025.
Copyright: © 2025 Raval, Parmar, Saha, Sarkar, Wadhwa, Pandya, SHAH and Rajsekar. This is an open-access article distributed under the terms of the Creative Commons Attribution License (CC BY). The use, distribution or reproduction in other forums is permitted, provided the original author(s) or licensor are credited and that the original publication in this journal is cited, in accordance with accepted academic practice. No use, distribution or reproduction is permitted which does not comply with these terms.
* Correspondence: Dhaval Parmar, dvparmar@gmail.com
Disclaimer: All claims expressed in this article are solely those of the authors and do not necessarily represent those of their affiliated organizations, or those of the publisher, the editors and the reviewers. Any product that may be evaluated in this article or claim that may be made by its manufacturer is not guaranteed or endorsed by the publisher.
