ORIGINAL RESEARCH article
Front. Digit. Health
Sec. Digital Mental Health
This article is part of the Research TopiceHealth and Personalized Medicine in Mental Health and Neurodevelopmental Disorders: Digital Innovation for Diagnosis, Care, and Clinical ManagementView all 10 articles
Redefining Psychopathology in the Context of Digital Overload: Emerging Disorders in the Age of Information Saturation
Provisionally accepted- 1Al Ain University, Al Ain, United Arab Emirates
- 2Al Ain University College of Education Humanities and Social Sciences, Al Ain, United Arab Emirates
- 3City University Ajman, Ajman, United Arab Emirates
Select one of your emails
You have multiple emails registered with Frontiers:
Notify me on publication
Please enter your email address:
If you already have an account, please login
You don't have a Frontiers account ? You can register here
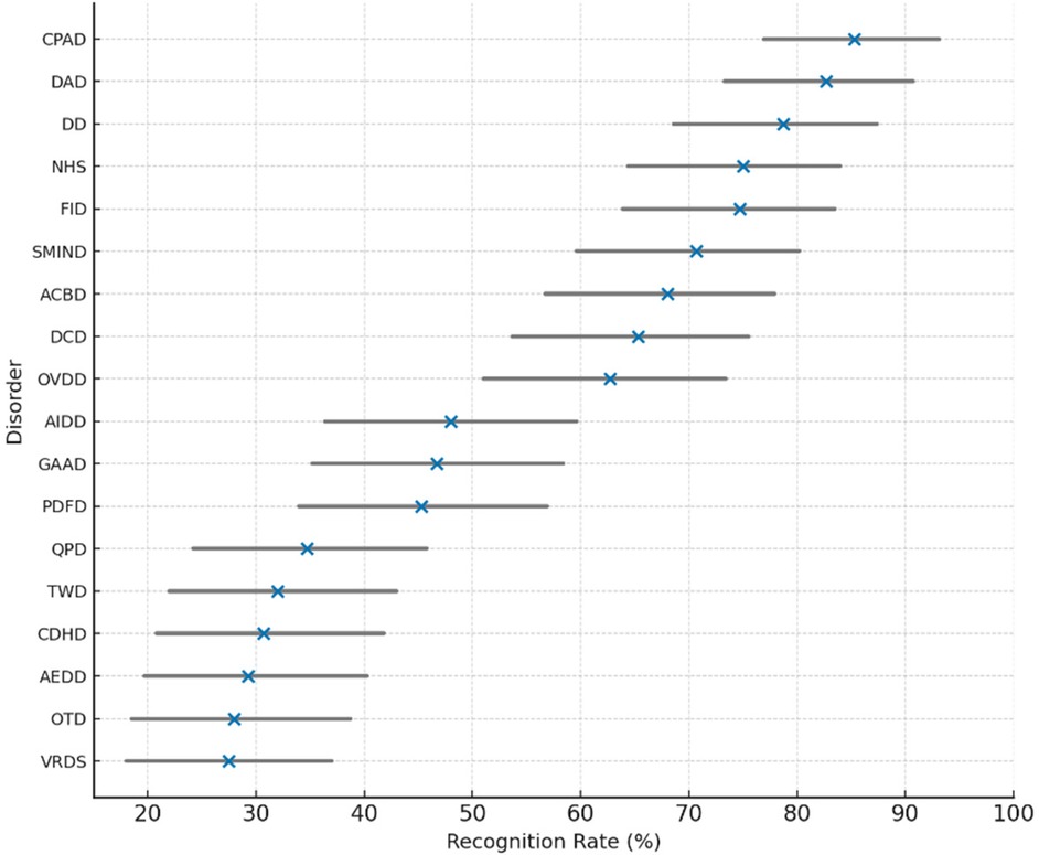
The accelerating integration of digital technologies with human experience has precipitated profound cognitive, emotional, and behavioral transformations, giving rise to emergent psychopathologies that remain insufficiently addressed by traditional diagnostic taxonomies. This study introduces a novel reconceptualization of mental health in the digital era, delineating four original diagnostic categories: Cognitive Fragmentation and Digital Overload Disorders, Social Media and Immersive Technology-Induced Disorders, Technology Integration Disorders, and Symptom-Driven Disorders Requiring Diagnostic Adaptation. To explore the clinical salience of these emerging constructs, a mixed-methods pilot investigation was conducted involving a cross-sectional survey of 75 licensed mental health professionals and a retrospective analysis of 225 anonymized patient records. Findings revealed substantial clinical recognition of digital-era syndromes, with Continuous Partial Attention Disorder (CPAD) and Digital Anxiety Disorder (DAD) endorsed by 85.3% (n = 64/75) and 82.7% (n = 62/75) of clinicians, respectively. Symptom severity was predominantly rated as moderate. Inferential analyses revealed a statistically significant association between years of clinical experience and recognition of AI-related psychopathologies, including AI Identity Diffusion Disorder (χ² (1, N = 75) = 5.33, p = .021). Chart review corroborated these findings, with 76% (n = 171/225) of cases documenting symptoms consistent with digital-era psychopathologies, and CPAD alone noted in 36.4% of records. These results underscore the growing clinical relevance of technology-induced mental health disorders and highlight the urgent need to evolve current diagnostic frameworks. The paper calls for the development of standardized, digitally responsive assessment tools and the design of innovative, context-sensitive therapeutic modalities. Future research should prioritize longitudinal investigations, digital phenotyping, and psychometric validation to enhance diagnostic precision and treatment effectiveness in an increasingly digitized world.
Keywords: Digital Overload, Cognitive fragmentation, hyperconnectivity, Digital-era psychopathology, Personalized digital detox, mental health diagnostics
Received: 11 Sep 2025; Accepted: 10 Oct 2025.
Copyright: © 2025 Alimour and Alrabeei. This is an open-access article distributed under the terms of the Creative Commons Attribution License (CC BY). The use, distribution or reproduction in other forums is permitted, provided the original author(s) or licensor are credited and that the original publication in this journal is cited, in accordance with accepted academic practice. No use, distribution or reproduction is permitted which does not comply with these terms.
* Correspondence: Shirin Alimour, shirin.alimour@gmail.com
Disclaimer: All claims expressed in this article are solely those of the authors and do not necessarily represent those of their affiliated organizations, or those of the publisher, the editors and the reviewers. Any product that may be evaluated in this article or claim that may be made by its manufacturer is not guaranteed or endorsed by the publisher.
