ORIGINAL RESEARCH article
Front. Hum. Neurosci.
Sec. Motor Neuroscience
This article is part of the Research TopicPostural control priorities and effective motor learning: Volume IIView all articles
Visual Feedback Adaptation Enhances Arm-Posture Coordination During Floor-Surface Perturbations
Provisionally accepted- 1Takasaki University of Health and Welfare, Takasaki, Japan
- 2Oita University, Oita, Japan
- 3Hokkaido University, Sapporo, Japan
Select one of your emails
You have multiple emails registered with Frontiers:
Notify me on publication
Please enter your email address:
If you already have an account, please login
You don't have a Frontiers account ? You can register here
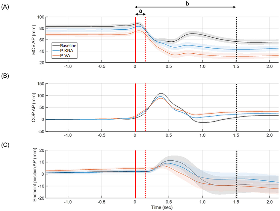
Background: Maintaining postural stability during perturbations requires coordinated sensorimotor and interjoint coordination. This study investigated the effects of different feedback modalities (knowledge of results [KR] and continuous visual feedback) on postural adaptation during floor surface perturbations while standing. Methods: Nineteen healthy young adults (mean age: 23.1±1.2 years; 12 males) performed an arm-holding task while standing on a backward-translating force platform under five phases: baseline test, KR adaptation training, post-KR adaptation (P-KRA) test, visual adaptation training, and post-visual adaptation (P-VA) test. Endpoint position variability, center of pressure (COP), center of mass (COM), margin of stability (MOS), and interjoint coordination were compared among Baseline, P-KRA, and P-VA using a mixed-model repeated-measures analysis of variance. Results: Compared to Baseline, endpoint position variability was significantly reduced in the P-VA at both perturbation offset (8.97 ± 1.04 mm vs. 15.35 ± 1.52 mm, p = 0.006) and 1.5 s after offset (14.39 ± 1.02 mm vs. 19.73 ± 1.71 mm, p = 0.027). The MOS at 1.5 s after offset was lower in P-VA (39.33 ± 4.28 mm) than in Baseline (58.04 ± 4.53 mm, p = 0.011), and the minimum MOS was significantly smaller in P-VA (32.20±4.38 mm vs 50.59±4.26 mm, p = 0.011). Anticipatory COP displacement at onset in P-VA was significantly increased (14.11 ± 1.46 mm vs. 6.20 ± 0.89 mm, p < 0.001) and reduced peak forward COP displacement (89.42 ± 2.00 mm vs. 110.18 ± 3.35 mm, p < 0.001). The time to stability was shorter in P-VA (1266.42 ± 68.29 ms) than in Baseline (1525.78 ± 66.11 ms, p = 0.017). The cross-correlation coefficient between the elbow and ankle joints was significantly higher in P-VA than in Baseline (0.98 ± 0.01 vs. 0.89 ± 0.04, p = 0.014). Conclusion: These findings demonstrate that continuous visual feedback adaptation may enhance arm-posture coordination during external perturbations in healthy young adults.
Keywords: Postural control, sensorimotor integration, visual feedback, arm-posture coordination, perturbation, Interjoint coordination
Received: 05 Sep 2025; Accepted: 11 Nov 2025.
Copyright: © 2025 Tomita, Mani and Hasegawa. This is an open-access article distributed under the terms of the Creative Commons Attribution License (CC BY). The use, distribution or reproduction in other forums is permitted, provided the original author(s) or licensor are credited and that the original publication in this journal is cited, in accordance with accepted academic practice. No use, distribution or reproduction is permitted which does not comply with these terms.
* Correspondence: Yosuke Tomita, tomita-y@takasaki-u.ac.jp
Disclaimer: All claims expressed in this article are solely those of the authors and do not necessarily represent those of their affiliated organizations, or those of the publisher, the editors and the reviewers. Any product that may be evaluated in this article or claim that may be made by its manufacturer is not guaranteed or endorsed by the publisher.
