Abstract
Background:
A multitude of studies has suggested a possible link between the intake of dietary micronutrients and the incidence of constipation. Nevertheless, there exists a significant gap in research that specifically addresses the relationship between vitamin B2 and constipation. The present investigation seeks to explore the possible correlation between dietary intake of vitamin B2 and chronic constipation in adult participants surveyed in the National Health and Nutrition Examination Survey (NHANES).
Methods:
This research leveraged data from the NHANES conducted between 2005 and 2010. Dietary intake information was obtained from participants through 24 h dietary recall interviews. Various statistical approaches, including weighted logistic regression, interaction tests, subgroup analyses, and restricted cubic spline, were utilized to examine the relationship between dietary vitamin B2 consumption and the occurrence of constipation.
Results:
A comprehensive multiple logistic regression analysis that accounted for various confounding factors indicated that individuals with the highest quartile of vitamin B2 intake exhibited a significantly reduced risk of experiencing constipation (OR = 0.63; 95% CI, 0.47–0.84) in comparison to those situated in the lowest quartile. Furthermore, a continuous assessment of vitamin B2 intake demonstrated an inverse relationship with constipation (OR = 0.89, 95% CI, 0.81–0.98). The implementation of restricted cubic splines suggested a linear association between vitamin B2 consumption and constipation (P-non-linear = 0.7297, P-overall = 0.0224). Notably, subgroup analyses uncovered a significant interaction effect between vitamin B2 intake and alcohol consumption regarding constipation (Pfor interaction = 0.012).
Conclusion:
This investigation highlights an inverse relationship between the dietary intake of vitamin B2 and constipation within the adult population of the United States.
1 Introduction
Constipation is a commonly encountered symptom linked to various chronic diseases, negatively impacting the physiological functions within the human body. The persistence of chronic constipation not only intensifies the burden on healthcare systems but also increases the associated costs of treatment (1, 2). In recent years, shifts in lifestyle and dietary habits have contributed to a notable rise in the prevalence of functional constipation, thereby posing a considerable threat to the health and wellness of those affected. An emerging synthesis of systematic evidence and meta-regression revealed that the worldwide prevalence of constipation is roughly 14% (3). Moreover, chronic constipation can result in several complications, including hemorrhoids, intestinal obstruction, and anal fissures, which place significant demands on healthcare resources and public health systems (4, 5).
While constipation pathogenesis involves multiple determinants, nutritional components remain a well-characterized modulator in its development. Studies indicate that specific dietary components, including soluble fiber and essential trace elements like vitamin B1, vitamin E, magnesium, selenium, and phosphorus (6–10), may contribute to mitigating the risk of chronic constipation. B vitamins, as water-soluble micronutrients, serve as enzymatic cofactors mediating fundamental biochemical transformations in metabolic homeostasis. Due to the body’s inability to store these vitamins, they must be replenished daily. These vitamins function as coenzymes in numerous enzymatic processes and support a range of physiological cellular functions. An insufficient supply of B vitamins adversely affects mitochondrial metabolism of amino acids, glucose, and fatty acids through the citric acid cycle and the electron transport chain. This deficiency, in turn, impacts essential bodily systems, including the nervous and digestive systems (11). Vitamin B2, commonly known as riboflavin, is a crucial nutrient that primarily functions as a cofactor in the form of flavin adenine dinucleotide and flavin adenine mononucleotide in a wide array of enzymatic reactions across various life forms. Its significance in metabolic processes is underscored by its role in promoting electron transfer during biological oxidation-reduction reactions (12). A deficiency in riboflavin can adversely affect iron absorption, the metabolism of tryptophan, mitochondrial functionality, the health of the gastrointestinal tract, and the utilization of other vitamins, while it is also linked to various skin conditions (13).
Vitamin B2 (niacin) plays an important role in gastrointestinal health. Studies have shown that vitamin B2 can affect gastrointestinal function and health through a variety of mechanisms. Research indicates that vitamin B2 may play a role in regulating inflammatory processes within the gastrointestinal system, which in turn could affect bowel movement and the consistency of stool (14, 15). Furthermore, vitamin B2 has been correlated with particular bacterial taxa recognized as indicator species, such as Fecalibacterium prausnitzii and Roseburia intestinalis, which are essential for maintaining gut health, primarily through the synthesis of butyrate (16, 17). In poultry studies, the supplementation of vitamin B2 significantly regulated the cecal microbiota, increasing the abundance of health-promoting bacterial populations such as Bifidobacteria, and promoting the production of butyrate, a health-promoting metabolite, in the cecal environment (18). In addition, there was a significant negative correlation between vitamin B2 intake and Helicobacter pylori infection. Increased dietary intake of vitamin B2 may be associated with a lower seropositivity rate of H. pylori, suggesting that vitamin B2 may have a protective effect on gastric health (19). Vitamin B2 may also exert neuroprotective effects by inhibiting glutamate release from nerve endings, which may affect the neural regulation of the gastrointestinal tract. This inhibition is associated with a decrease in voltage-dependent calcium channel activity (20).
Considering the insufficient research on the potential benefits of vitamin B2 for intestinal health and its relationship with constipation, there is an evident need for comprehensive research in this domain. Therefore, this study evaluated the association between vitamin B2 and constipation in adults in the United States.
2 Materials and methods
2.1 Study population
The National Health and Nutrition Examination Survey (NHANES) is a comprehensive study conducted by the National Center for Health Statistics, which operates under the auspices of the Centers for Disease Control and Prevention (CDC) in the United States. This survey is designed to gather data from a representative cross-section of the American populace. The structure of the questionnaire employs stratification, a multistage design, and a probabilistic sampling methodology. Individuals taking part in the study undergo interviews that cover demographic, socio-economic, and health-related aspects at mobile medical examination facilities. This initial phase is followed by an extensive medical examination and laboratory evaluations. All participants provided their written informed consent, and the study protocol received clearance from the Ethics Review Board of the CDC.
NHANES cycles from 2005 to 2010 included a sample of 31,034 individuals. To maintain the integrity of the data and to specifically target the relevant adult demographic for our investigation, a set of exclusion criteria was systematically applied. This study excluded participants who were younger than 20 years of age or had missing information on bowel health questionnaire (n = 16,495), dietary intake (n = 4,420), or other covariates (n = 1,594). Consequently, a total of 8,525 individuals were identified as eligible participants for the present study. The enrollment process of these participants is depicted in Figure 1, which presents a flowchart detailing the selection process.
FIGURE 1

Flow diagram of study cohort selection from NHANES: 2005–2010.
2.2 Variables
2.2.1 Assessment of constipation
The definition of constipation is determined by referring to the self-reported defecation frequency or by assessing the consistency of the stool through the Bristol Stool Pattern Scale (BSFS) (21, 22). Previous studies have indicated a weak association between stool consistency and the frequency of defecation; however, the current investigation seeks to amalgamate these two variables to provide a more thorough assessment of constipation. Data regarding bowel habits were gathered from three cycles of the National Health and Nutrition Examination Survey (NHANES) conducted between 2005 and 2010, utilizing the Bristol Stool Form Scale (BSFS) for evaluation. This scale features cards displaying a range of colored images and descriptions that delineate seven distinct types of stools, which were employed to gauge the consistency of stools. Based on the Bristol Stool Form Scale, stool types 1 (identified as hard, nut-like lumps) and 2 (sausage-shaped yet lumpy) are classified as indicative of constipation, while stool types 3 through 7 are linked to non-constipated conditions. The assessment of defecation frequency was conducted by asking participants, “How often do you typically have bowel movements each week?” In this study, the diagnostic criteria for constipation comprised: (1) BSFS type I-II stool consistency, or (2) bowel movement frequency < 3 episodes weekly. Participants fulfilling ≥ 1 criterion were assigned to the constipation cohort (n = 803), with others constituting the non-constipated control group (n = 7,722).
2.2.2 Assessment of vitamin B2 intake
Dietary vitamin B2 quantification employed duplicate 24 h dietary recalls administered non-consecutively. Initial assessments were conducted via face-to-face interviews, with telephone-based follow-up completed 3–10 days post-baseline. Consequently, in instances where an individual provided both 24 h dietary recalls, we calculated the average intake of vitamin B2 based on the data from these two recalls. In cases where only one recall was completed, we relied solely on the information gathered from the initial 24 h dietary recall. Dietary energy consumption was estimated using the United States Food and Nutrient Database for Dietary Studies. Absolute vitamin B2 intake was energy-adjusted via residual regression modeling to account for within-person variability (23). Participants in this dietary survey were asked to assess their food intake from the previous day by indicating whether it was “much less than usual,” “usual” or “much more than usual.” The study included only participants who answered “usual” (24). Considering the effects of dietary fiber and water intake on constipation and other B vitamins, they were included as covariates.
2.2.3 Covariates
We identified variables that could serve as potential covariates, informed by prior research findings. The variables included in our analysis were age, gender, educational level, race/ethnicity, poverty-to-income ratio (PIR), body mass index (BMI), total fiber intake (g), water intake (including total tap water and total bottled water intake, g), as well as smoking and alcohol consumption habits, along with the status of diabetes and hypertension. NHANES classified race/ethnicity into four distinct categories: non-Hispanic white, non-Hispanic black, Mexican American, and other. Education level was classified into three categories: less than high school, high school or equivalent, and college or higher. PIR was stratified into three classifications: less than 1.3, ranging from 1.3 to 3.5, and 3.5 or greater, and ≥ 3.5 was categorized as follows: under 25, between 25 and 30, and exceeding 30 kg/m2. Regarding smoking habits, individuals were categorized as either non-smokers or smokers. A moderate alcohol consumer is characterized as a male who ingests fewer than two alcoholic beverages daily or a female who consumes less than one daily. A heavy alcohol consumer is identified as a male who drinks two or more beverages per day or a female who has one or more drinks each day. Diabetes was identified through the use of diabetes medication or insulin, self-reported history, fasting glucose levels over 7 mmol/L, glycohemoglobin A1c levels above 6.5%, random blood glucose levels of 11.1 mmol/L or higher, or 2 h OGTT blood glucose levels of 11.1 mmol/L or higher. Hypertension was identified based on three criteria: current antihypertensive treatment, a healthcare professional’s diagnosis, or an average blood pressure of ≥ 140/90 mmHg.
2.3 Statistical analysis
In accordance with the analytic guidelines established by the National Health and Nutrition Examination Survey (NHANES), the analyses incorporated sample weights, stratification, and clustering techniques to appropriately address the complexities associated with the survey design. The baseline characteristics categorized by quartiles of vitamin B2 intake were reported as weighted means accompanied by standard deviations (SD) for continuous variables, while categorical variables were presented as weighted percentages with their respective SD. In this investigation, Vitamin B2 intake was segmented into quartiles, designating the lowest quartile as the reference category. The chi-square test was employed for categorical variables, and Analysis of Variance (ANOVA) was utilized for continuous variables. Trend tests were conducted to evaluate the trend of the quartiles (P for trend). A weighted logistic regression model was applied to evaluate the relationship between vitamin B2 intake and the incidence of constipation. Model 1 represented the unadjusted analysis, whereas Model 2 included adjustments for demographic variables including age, sex, educational attainment, race/ethnicity, and Poverty Income Ratio (PIR). Model 3 further adjusted for Body Mass Index (BMI), smoking status, alcohol consumption, total fiber intake, water intake, diabetes status, and hypertension status. Additionally, we performed restricted cubic spline (RCS) analyses to investigate potential non-linear associations between vitamin B2 intake and constipation. In many practical applications, the relationship between variables is not a simple linear one but rather a complex non-linear one. By using RCS, these complex relationships can be described more accurately, thereby improving the model’s fit. RCS has significant advantages in handling non-linear and periodic data, and can be combined with other statistical methods to enhance the interpretability and predictive accuracy of models.
The study also engaged in stratified and interaction analyses to assess possible variations in these associations across diverse demographic factors such as age groups, race/ethnicity, educational background, PIR, smoking habits, alcohol consumption, and obesity status (where obesity is defined as a BMI < 30 kg/m2 and non-obesity as a BMI ≥ 30 kg/m2). Statistical analyses were conducted using R version 4.4.2, with all statistical tests being two-tailed and a significance level established at P < 0.05.
3 Results
3.1 Characteristics of the participants
This study encompassed a total of 8,525 individuals from NHANES conducted between 2005 and 2010, with an average age of 51.15 years. The fundamental characteristics of the participants are outlined in Table 1. Those situated in the highest quartile of vitamin B2 intake exhibited a tendency to be younger, male, non-Hispanic white, smokers, and possessed lower educational level and BMI. The mean vitamin B2 consumption among the participants was recorded at 2.15 mg.
TABLE 1
| Variable | Quartile 1 | Quartile 2 | Quartile 3 | Quartile 4 | P-value |
| Age, years | 47.18 (45.96, 48.39) | 49.60 (48.46, 50.73) | 48.70 (47.75, 49.64) | 47.15 (45.91, 48.39) | 0.001 |
| BMI, kg/m2 | 28.66 (28.24, 29.08) | 28.96 (28.47, 29.44) | 28.74 (28.36, 29.13) | 28.40 (28.00, 28.80) | 0.13 |
| Sex, % | < 0.001 | ||||
| Female | 70.46 (68.29, 72.62) | 60.75 (57.77, 63.74) | 48.43 (45.87, 50.99) | 31.88 (29.13, 34.63) | – |
| Male | 29.54 (27.38, 31.71) | 39.25 (36.26, 42.23) | 51.57 (49.01, 54.13) | 68.12 (65.37, 70.87) | – |
| Race/ethnicity, % | < 0.001 | ||||
| Non-Hispanic white | 60.34 (54.82, 65.85) | 76.15 (72.68, 79.61) | 80.56 (76.82, 84.30) | 85.01 (82.35, 87.67) | – |
| Non-Hispanic black | 17.90 (15.05, 20.75) | 9.05 (7.16, 10.93) | 6.04 (4.67, 7.40) | 4.80 (3.62, 5.98) | – |
| Mexican American | 9.74 (7.11, 12.36) | 6.51 (4.85, 8.17) | 6.14 (4.32, 7.97) | 4.48 (3.10, 5.86) | |
| Other race | 12.03 (8.71, 15.34) | 8.30 (6.31, 10.29) | 7.26 (5.25, 9.28) | 5.70 (4.37, 7.04) | |
| Educational level, % | < 0.001 | ||||
| Less than high school | 22.88 (20.21, 25.55) | 15.27 (12.97, 17.58) | 13.10 (10.98, 15.22) | 13.03 (11.16, 14.90) | – |
| High school or equivalent | 26.80 (24.00, 29.61) | 25.69 (23.16, 28.23) | 23.27 (20.69, 25.85) | 23.39 (20.53, 26.26) | – |
| College or more | 50.32 (47.27, 53.37) | 59.03 (55.57, 62.49) | 63.63 (59.67, 67.58) | 63.58 (59.98, 67.17) | – |
| Poverty to income ratio, % | < 0.001 | ||||
| < 1.3 | 27.28 (24.57, 29.99) | 16.89 (14.56, 19.22) | 13.16 (10.98, 15.34) | 15.21 (13.26, 17.15) | – |
| 1.3–3.49 | 39.73 (37.19, 42.27) | 37.75 (34.30, 41.19) | 33.86 (30.66, 37.07) | 33.10 (29.85, 36.34) | – |
| ≥ 3.5 | 32.99 (30.00, 35.97) | 45.37 (41.55, 49.18) | 52.98 (48.87, 57.08) | 51.70 (48.48, 54.91) | – |
| Smoke, % | 0.02 | ||||
| No | 57.04 (53.65, 60.44) | 54.16 (51.45, 56.87) | 53.72 (50.19, 57.25) | 50.20 (46.81, 53.58) | – |
| Yes | 42.96 (39.56, 46.35) | 45.84 (43.13, 48.55) | 46.28 (42.75, 49.81) | 49.80 (46.42, 53.19) | – |
| Alcohol intake, % | < 0.001 | ||||
| None | 36.30 (32.91, 39.68) | 28.13 (25.48, 30.78) | 23.16 (20.37, 25.95) | 23.39 (20.42, 26.36) | – |
| Low to moderate | 45.25 (42.07, 48.43) | 50.15 (47.43, 52.87) | 56.59 (52.95, 60.23) | 57.58 (53.74, 61.42) | – |
| Heavy | 18.45 (15.90, 21.00) | 21.72 (19.58, 23.86) | 20.26 (17.61, 22.90) | 19.03 (16.99, 21.07) | – |
| Diabetes, % | 0.001 | ||||
| No | 85.51 (83.10, 87.91) | 85.39 (83.42, 87.37) | 87.28 (85.43, 89.14) | 90.00 (88.57, 91.42) | – |
| Yes | 14.49 (12.09, 16.90) | 14.61 (12.63, 16.58) | 12.72 (10.86, 14.57) | 10.00 (8.58, 11.43) | – |
| Constipation | < 0.001 | ||||
| No | 86.01 (83.65, 88.37) | 90.43 (88.99, 91.87) | 92.38 (91.15, 93.61) | 94.22 (92.73, 95.70) | – |
| Yes | 13.99 (11.63, 16.35) | 9.57 (8.13, 11.01) | 7.62 (6.39, 8.85) | 5.78 (4.30, 7.27) | – |
| Hypertension, % | 0.13 | ||||
| No | 60.04 (56.83, 63.25) | 60.98 (57.96, 64.00) | 63.51 (60.27, 66.76) | 64.96 (61.30, 68.62) | – |
| Yes | 39.96 (36.75, 43.17) | 39.02 (36.00, 42.04) | 36.49 (33.24, 39.73) | 35.04 (31.38, 38.70) | – |
Baseline characteristics stratified by quartile of vitamin B2 intake.
Data are presented as mean (SD) or n (%). BMI, body mass index.
3.2 Association between vitamin B2 intake and constipation
Table 2 illustrates the findings derived from the logistic regression weighted model that explored the association between vitamin B2 consumption and the incidence of constipation. In the unadjusted model 1, those in the highest quartile of vitamin B2 intake exhibited a significantly reduced likelihood of experiencing constipation (OR = 0.38; 95% CI, 0.29–0.50) when compared to participants in the lowest quartile. This association persisted in model 2 (OR = 0.62; 95% CI, 0.46–0.83). In the fully adjusted model 3, individuals within the highest quartile of vitamin B2 intake continued to demonstrate a lower risk of constipation (OR = 0.63; 95% CI, 0.47–0.84) relative to those in the lowest quartile. Furthermore, a notable inverse relationship was observed between continuous vitamin B2 intake and constipation in model 3 (OR = 0.89, 95% CI, 0.81–0.98).
TABLE 2
| Case/n | OR (95% CI) | |||
| Continuous | Model 1 | Model2 | Model 3 | |
| 803/8525 | 0.77 (0.69, 0.85)*** | 0.89 (0.81, 0.98)* | 0.89 (0.81, 0.98)* | |
| Categories | ||||
| Q1 | 287/2134 | 1.00 (reference) | 1.00 (reference) | 1.00 (reference) |
| Q2 | 201/2131 | 0.65 (0.49, 0.86)** | 0.79 (0.58, 1.07) | 0.81 (0.60, 1.10) |
| Q3 | 182/2129 | 0.51 (0.38, 0.67)*** | 0.71 (0.52, 0.98)* | 0.73 (0.53, 1.01) |
| Q4 | 133/2131 | 0.38 (0.29, 0.50)*** | 0.62 (0.46, 0.83)** | 0.63 (0.47, 0.84)** |
| P for trend | – | < 0.001 | 0.003 | 0.003 |
Association between vitamin B2 and constipation.
Model 1 was a crude model. Model 2 was adjusted for age, sex, race/ethnicity, education level and PIR. Model 3 was further adjusted for BMI, smoker, drinker, total fiber intake, water intake, diabetes status and hypertension status. BMI, body mass index; PIR, poverty to income ratio.
* P < 0.05;
** P < 0.01;
*** P < 0.001.
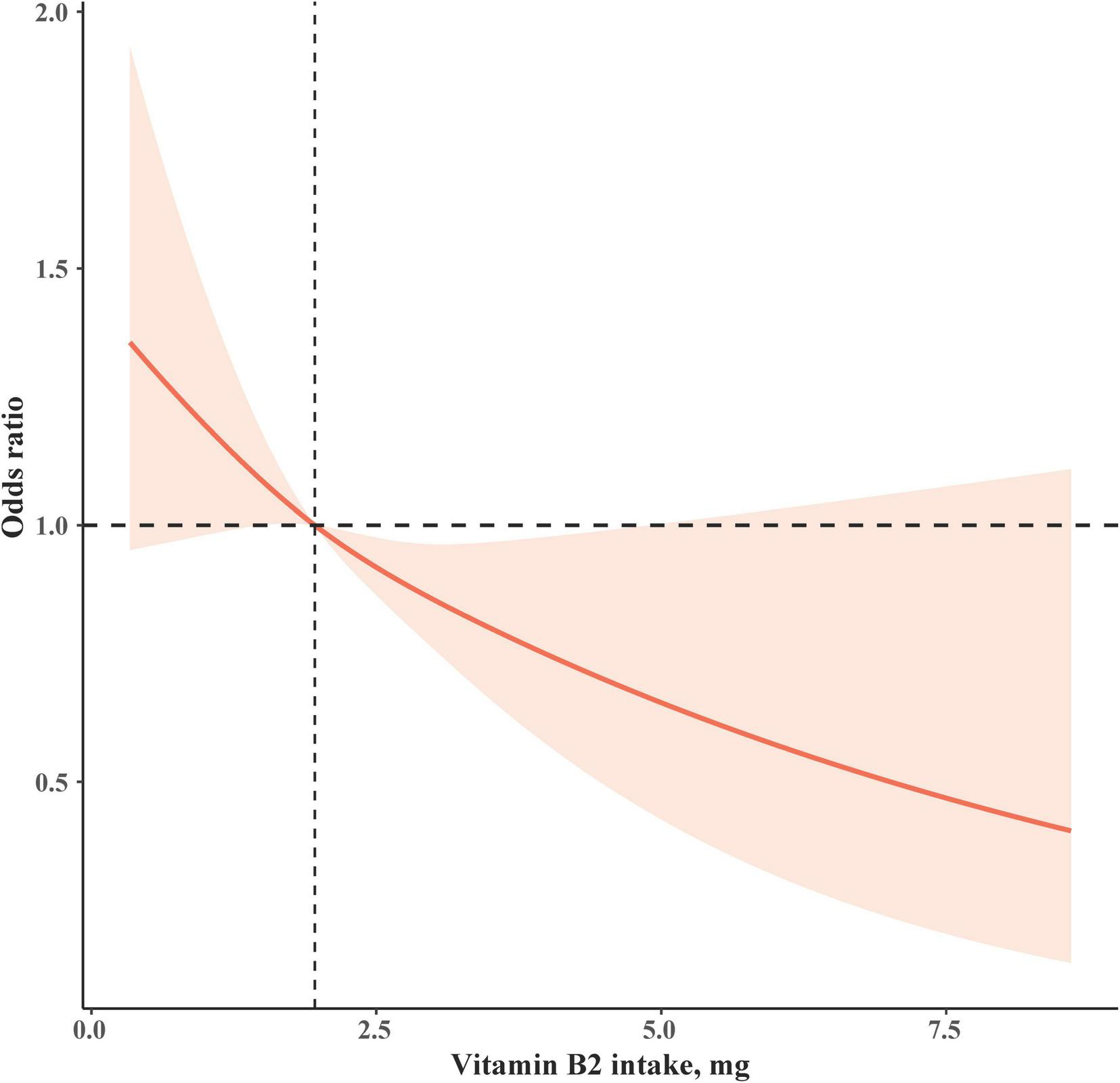
In addition, we performed restricted cubic spline (RCS) analyses to further investigate the associations between vitamin B2 intake and constipation. In model 3, following full adjustments, a linear relationship was identified between vitamin B2 intake and constipation (P-non-linear = 0.7297, P-overall = 0.0224; Figure 2).
FIGURE 2

The association between vitamin B2 intake and constipation in the fully adjusted model. Adjustments included age, sex, race/ethnicity, education level, and PIR BMI, smoker, drinker, total fiber intake, water intake, diabetes status, and hypertension status. BMI, body mass index; PIR, poverty to income ratio.
3.3 Subgroup analysis
The results of subgroup analyses to assess the association between vitamin B2 and constipation were presented in Table 3. This inverse association persisted in the subgroup analysis based on age group, sex, PIR, and in non-Hispanic white, as well as in participants currently smoking, with non-obesity. However, a significant interaction between vitamin B2 intake and alcohol consumption for constipation was observed (P interaction = 0.012).
TABLE 3
| Subgroup | Quartile 1 | Quartile 2 | Quartile 3 | Quartile 4 | P interaction |
| Age | 0.896 | ||||
| 20–59 years | Ref | 0.72 (0.52, 1.00) | 0.70 (0.51, 0.98) | 0.62 (0.43, 0.90) | |
| ≥ 60 years | Ref | 0.96 (0.61, 1.52) | 0.75 (0.46, 1.24) | 0.55 (0.35, 0.87) | |
| Sex | |||||
| Female | Ref | 1.11 (0.86, 1.44) | 0.78 (0.49, 1.19) | 0.65 (0.31, 0.89) | 0.184 |
| Male | Ref | 0.69 (0.41, 1.15) | 0.51 (0.31, 0.85) | 0.34 (0.19, 0.59) | |
| Race/ethnicity | |||||
| Non-Hispanic white | Ref | 0.93 (0.67, 1.28) | 0.67 (0.50, 0.91) | 0.59 (0.38, 0.93) | 0.067 |
| Others | Ref | 0.81 (0.54, 1.21) | 0.74 (0.49, 1.12) | 0.67 (0.43, 1.04) | |
| Education level | 0.395 | ||||
| Less than high school | Ref | 0.81 (0.49, 1.34) | 0.75 (0.42, 1.35) | 0.47 (0.25, 0.87) | |
| High school or above | Ref | 0.84 (0.60, 1.16) | 0.72 (0.53, 0.97) | 0.64 (0.45, 0.91) | |
| PIR | 0.287 | ||||
| < 2.5 | Ref | 0.84 (0.60, 1.19) | 0.90 (0.62, 1.31) | 0.63 (0.42, 0.95) | |
| ≥ 2.5 | Ref | 0.71 (0.46, 1.08) | 0.55 (0.35, 0.88) | 0.51 (0.30, 0.87) | |
| Smoking status | 0.197 | ||||
| No | Ref | 0.93 (0.65, 1.35) | 0.97 (0.65, 1.45) | 0.68 (0.45, 1.05) | |
| Yes | Ref | 0.78 (0.54, 1.12) | 0.62 (0.40, 0.97) | 0.57 (0.41, 0.77) | |
| Alcohol consumption | 0.012 | ||||
| No | Ref | 1.05 (0.66, 1.67) | 1.03 (0.62, 1.69) | 1.04 (0.62, 1.74) | |
| Yes | Ref | 0.74 (0.52, 1.04) | 0.59 (0.44, 0.78) | 0.48 (0.33, 0.70) | |
| Obesity status | 0.736 | ||||
| Obesity | Ref | 1.04 (0.63, 1.70) | 0.87 (0.50, 1.52) | 0.59 (0.33, 1.08) | |
| Non-obesity | Ref | 0.75 (0.55, 1.04) | 0.72 (0.49, 1.06) | 0.64 (0.46, 0.91) |
Subgroup analysis of the association between dietary vitamin B2 intake and constipation.
Adjustments included age, sex, race/ethnicity, education level, and PIR BMI, smoker, drinker, total fiber intake, water intake, diabetes status, and hypertension status. BMI, body mass index; PIR, poverty to income ratio.
4 Discussion
In this comprehensive nationwide cross-sectional study utilizing data from the NHANES 2005–2010, we explored the relationship between dietary intake of vitamin B2 and the prevalence of constipation. The weighted logistic regression analysis revealed a significant inverse correlation (OR = 0.38; 95% CI, 0.29–0.50), indicating that higher vitamin B2 consumption is associated with lower risk of constipation. Furthermore, the restricted cubic spline analysis demonstrated a linear correlation between vitamin B2 intake and constipation incidence. Notably, subgroup analyses uncovered an interaction effect between alcohol consumption and the association of vitamin B2 intake with constipation, revealing that individuals who currently consume alcohol showed a significantly stronger protective influence from dietary vitamin B2.
The initial approach to managing chronic constipation generally involves modifications to diet and lifestyle. Consequently, there is an urgent requirement to intensify research initiatives in this domain to improve the handling of this condition. Throughout the years, researchers have increasingly documented possible correlations between chronic constipation and dietary influences by conducting thorough examinations of the NHANES database (25–29). The study by Jiang et al. demonstrated that the intake of dietary flavonoids is linked to a reduced risk of constipation among adults in the United States, with a notably consistent association observed for anthocyanins (30). Similarly, research by Zhao et al. identified a positive correlation between the dietary inflammatory index and constipation, highlighting its potential importance in assessing chronic constipation conditions (31). Cai et al. (6) have elucidated a correlation between dietary vitamin E intake and the occurrence of chronic constipation among adults in the United States. Collectively, these findings underscore the significance of integrating a diverse range of dietary indicators in the evaluation of chronic constipation.
Riboflavin, a constituent of the vitamin B complex, is found in a variety of plant and animal-based foods, including enriched green vegetables, nuts, meat, milk, eggs, and flour (32). Since humans lack the ability to produce riboflavin internally, it is necessary for them to acquire it through their diet or through supplementation (33). This vitamin plays a crucial role as a fundamental element of coenzymes that participate in processes such as cell growth, energy metabolism, and the breakdown of fat tissue (17).
The possible correlation between vitamin B2 consumption and constipation encompasses several aspects that warrant further academic investigation. The generation of reactive oxygen species (ROS) and the ensuing oxidative stress are pivotal in the pathogenesis and progression of numerous diseases, including those affecting the intestines. An overabundance of ROS can inflict damage on cellular structures and molecules, such as lipids, proteins, and DNA, which ultimately contributes to the development of intestinal diseases (34–36). Oxidative stress has the potential to compromise the functionality of interstitial cells of cajal and induce apoptosis, thereby impairing intestinal motility and potentially contributing to the pathogenesis of constipation (37). Riboflavin, often neglected as an antioxidant, may exert its antioxidant effects either through its conversion from the reduced to the oxidized form or by serving as a crucial element within the glutathione redox cycle (38). Studies have shown that 3 weeks of riboflavin supplementation resulted in a reduction in systemic oxidative stress, mixed anti-inflammatory effects, and improved clinical symptoms by changing the composition of the gut flora in Crohn’s patients (39). In a study on broiler chickens, vitamin B2 supplementation significantly increased the abundance of health-promoting bacteria in the cecum, such as Bifidobacteria, and promoted the production of health-promoting metabolites like butyrate (18). Further research is needed to confirm the relationship between riboflavin and oxidative stress, gut microbiota and constipation.
Prior research has shown that riboflavin possesses anti-inflammatory and antioxidant properties in animal models afflicted with Crohn’s disease (25, 26, 40). Additional experimental investigations involving animal models have further indicated that riboflavin showcases anti-inflammatory characteristics, as evidenced by a decrease in the synthesis of pro-inflammatory cytokines such as tumor necrosis factor-alpha and interleukin-6 (17). These anti-inflammatory attributes may play a significant role in safeguarding the intestinal mucosa, consequently enhancing overall intestinal health and functionality.
Furthermore, vitamin B2 may influence gut health by regulating the function and composition of gut microbiota. Research indicated vitamin B2 can affect the metabolic activities and bacterial composition of gut microorganisms, thereby positively impacting host health (41). For example, vitamin B2 may maintain the equilibrium of the gut microbiome by fostering the proliferation of beneficial bacterial populations while simultaneously suppressing the growth of detrimental bacteria. A systematic review and meta-analysis investigating the effects of vitamin or mineral supplementation on chronic constipation in adults demonstrated that magnesium oxide supplementation significantly enhanced various constipation-related outcomes. This improvement is attributed to its mechanism of action, which involves water retention in the intestinal lumen, resulting in fecal expansion and softening (42). Compared to the control group, the likelihood of a positive treatment response increased by 332%. It has been hypothesized that vitamin C supplementation may ameliorate symptoms of constipation. This hypothesis is derived from limited evidence suggesting that high doses of vitamin C can induce diarrhea, potentially exerting a laxative effect that could be advantageous in the management of constipation (43). A case-control study has shown that vitamin D deficiency is associated with chronic functional constipation caused by intestinal motility disorders (44). And vitamin B2 may affect constipation through biological mechanisms such as oxidative stress and regulation of the intestinal flora. The consumption of alcohol is known to adversely affect metabolic processes and nutrient absorption, particularly impairing the uptake of various B vitamins. Subgroup analysis revealed an interaction effect of alcohol consumption on the relationship between vitamin B2 intake and constipation. Current drinkers may be associated with a lower risk of constipation. This might be due to the following several biological mechanisms. Alcohol consumption has been shown to augment the secretion of gastric acid and digestive fluids, leading to an elevated water content in the intestinal lumen. This physiological response prevents excessive desiccation of the stool and facilitates regular bowel movements (45). The maintenance of intestinal fluid homeostasis is crucial for ensuring normal stool consistency. Consequently, moderate alcohol intake may contribute to the retention of sufficient intestinal moisture, thereby diminishing the risk of constipation (46). Moreover, alcohol consumption has been shown to modify the composition of the gut microbiota, notably by increasing the prevalence of pathogenic bacteria while decreasing the abundance of beneficial microbial populations. This dysbiosis can alter the intestinal milieu, potentially impairing the absorption of nutrients and fluids, thereby leading to an increase in bowel movements (47, 48). Subramanian and colleagues demonstrated in an animal experiment that long-term exposure to ethanol through the Lieber DeCarli ethanol diet would inhibit the absorption of vitamin B2 in the intestines of male Wistar rats (49). At the molecular level, alcohol reduced the protein expression of the vitamin B2 transporter and the levels of heteronuclear RNA (hnRNA), the latter serving as an indicator of transcriptional activity. Further research is necessary to enhance the understanding of the inhibitory effects of alcohol on vitamin B2 absorption and its relationship to constipation.
This study has several limitations. Firstly, NHANES collected cross-sectional data, precluding the determination of causal relationships between vitamin B2 intake and constipation. Secondly, self-reported dietary 24 h recall data per person may be limited to characterizing diet over a person’s lifespan and are subject to measurement errors due to large day-to-day variations in food intake. Thirdly, despite adjusting for a comprehensive array of potential confounders, the influence of unmeasured or residual confounding factors cannot be entirely excluded. Fourthly, excluding individuals with incomplete data may lead to potential selective bias.
5 Conclusion
In summary, our study reveals a negative correlation between dietary vitamin B2 consumption and chronic constipation among the general adult populace. Future research necessitates large-scale, multicenter, and high-quality studies to validate these findings and to further elucidate the molecular mechanisms underlying the effects of vitamin B2 on constipation. Healthcare professionals are advised to prioritize the promotion of a well-balanced diet as an initial therapeutic approach, preceding medical interventions.
Statements
Data availability statement
Publicly available datasets were analyzed in this study. This data can be found here: The National Health and Nutrition Examination Survey dataset is publicly available at the National Center for Health Statistics of the Center for Disease Control and Prevention (https://wwwn.cdc.gov/nchs/nhanes/default.aspx).
Ethics statement
The studies involving humans were approved by The National Health and Nutrition Examination Survey (NHANES) is a comprehensive study conducted by the National Center for Health Statistics, which operates under the auspices of the Centers for Disease Control and Prevention (CDC) in the United States. The studies were conducted in accordance with the local legislation and institutional requirements. The participants provided their written informed consent to participate in this study.
Author contributions
CM: Writing – original draft, Writing – review and editing. NM: Writing – original draft. HL: Writing – original draft. TH: Writing – original draft. JZ: Writing – original draft. ML: Writing – original draft. KZ: Writing – original draft, Writing – review and editing.
Funding
The author(s) declare that financial support was received for the research and/or publication of this article. This work was supported by the medical health science and technology project of Shandong Province (No. 202304010294).
Acknowledgments
We thank NCHS for its research design and data sharing, as well as all investigators and participants.
Conflict of interest
The authors declare that the research was conducted in the absence of any commercial or financial relationships that could be construed as a potential conflict of interest.
Generative AI statement
The authors declare that no Generative AI was used in the creation of this manuscript.
Publisher’s note
All claims expressed in this article are solely those of the authors and do not necessarily represent those of their affiliated organizations, or those of the publisher, the editors and the reviewers. Any product that may be evaluated in this article, or claim that may be made by its manufacturer, is not guaranteed or endorsed by the publisher.
References
1.
Higgins PD Johanson JF . Epidemiology of constipation in North America: A systematic review.Am J Gastroenterol. (2004) 99:750–9. 10.1111/j.1572-0241.2004.04114.x
2.
Belsey J Greenfield S Candy D Geraint M . Systematic review: Impact of constipation on quality of life in adults and children.Aliment Pharmacol Ther. (2010) 31:938–49. 10.1111/j.1365-2036.2010.04273.x
3.
Suares NC Ford AC . Prevalence of, and risk factors for, chronic idiopathic constipation in the community: Systematic review and meta-analysis.Am J Gastroenterol. (2011) 106:1582–1591; quiz 1581, 1592. 10.1038/ajg.2011.164
4.
Talley NJ Lasch KL Baum CL . A gap in our understanding: Chronic constipation and its comorbid conditions.Clin Gastroenterol Hepatol. (2009) 7:9–19. 10.1016/j.cgh.2008.07.005
5.
Oh SJ Fuller G Patel D Khalil C Spalding W Nag A et al Chronic constipation in the United States: Results from a population-based survey assessing healthcare seeking and use of pharmacotherapy. Am J Gastroenterol. (2020) 115:895–905. 10.14309/ajg.0000000000000614
6.
Cai J Li D Xie R Yu X Wu Y Sun F et al Association between dietary vitamin E intake and constipation: NHANES 2005-2010. Front Nutr. (2024) 11:1426280. 10.3389/fnut.2024.1426280
7.
Du W Lu L Liu Y Yan Y La R Wu Q et al The association between dietary vitamin B1 intake and constipation: A population-based study. BMC Gastroenterol. (2024) 24:171. 10.1186/s12876-024-03255-2
8.
Zhao X Wang L Quan L . Association between dietary phosphorus intake and chronic constipation in adults: Evidence from the national health and nutrition examination survey.BMC Gastroenterol. (2023) 23:24. 10.1186/s12876-022-02629-8
9.
Dupont C Hébert G . Magnesium sulfate-rich natural mineral waters in the treatment of functional constipation-a review.Nutrients. (2020) 12:2052. 10.3390/nu12072052
10.
Wang C Zhang L Li L . Association between selenium intake with chronic constipation and chronic diarrhea in adults: Findings from the national health and nutrition examination survey.Biol Trace Elem Res. (2021) 199:3205–12. 10.1007/s12011-020-02451-x
11.
Kennedy DO . B vitamins and the brain: Mechanisms, dose and efficacy–a review.Nutrients. (2016) 8:68. 10.3390/nu8020068
12.
Alam MM Iqbal S Naseem I . Ameliorative effect of riboflavin on hyperglycemia, oxidative stress and DNA damage in type-2 diabetic mice: Mechanistic and therapeutic strategies.Arch Biochem Biophys. (2015) 584:10–9. 10.1016/j.abb.2015.08.013
13.
Thakur K Tomar SK Singh AK Mandal S Arora S . Riboflavin and health: A review of recent human research.Crit Rev Food Sci Nutr. (2017) 57:3650–60. 10.1080/10408398.2016.1145104
14.
Zhang WW Thakur K Zhang JG Wei ZJ . Riboflavin ameliorates intestinal inflammation via immune modulation and alterations of gut microbiota homeostasis in DSS-colitis C57BL/6 mice.Food Funct. (2024) 15:4109–21. 10.1039/d4fo00835a
15.
Zhu YY Thakur K Feng JY Zhang JG Hu F Cespedes-Acuña CL et al Riboflavin bioenriched soymilk alleviates oxidative stress mediated liver injury, intestinal inflammation, and gut microbiota modification in B(2) depletion-repletion mice. J Agric Food Chem. (2022) 70:3818–31. 10.1021/acs.jafc.2c00117
16.
Olfat N Ashoori M Saedisomeolia A . Riboflavin is an antioxidant: A review update.Br J Nutr. (2022) 128:1887–95. 10.1017/S0007114521005031
17.
Suwannasom N Kao I Pruß A Georgieva R Bäumler H . Riboflavin: The health benefits of a forgotten natural vitamin.Int J Mol Sci. (2020) 21:950. 10.3390/ijms21030950
18.
Biagi E Mengucci C Barone M Picone G Lucchi A Celi P et al Effects of vitamin B2 supplementation in broilers microbiota and metabolome. Microorganisms. (2020) 8:1134. 10.3390/microorganisms8081134
19.
Huang Y Ao T Zhen P Hu M . Correlation between dietary vitamin B2 intake and Helicobacter pylori infection in US adults: A cross-sectional study.J Health Popul Nutr. (2025) 44:76. 10.1186/s41043-025-00815-4
20.
Wang S Wu W Yang F Hsu G Huang C . Vitamin B2 inhibits glutamate release from rat cerebrocortical nerve terminals.Neuroreport. (2008) 19:1335–8. 10.1097/WNR.0b013e32830b8afa
21.
Markland AD Palsson O Goode PS Burgio KL Busby-Whitehead J Whitehead WE . Association of low dietary intake of fiber and liquids with constipation: Evidence from the national health and nutrition examination survey.Am J Gastroenterol. (2013) 108:796–803. 10.1038/ajg.2013.73
22.
Wang DC Peng XF Chen WX Yu M . The association of moisture intake and constipation among us adults: Evidence from NHANES 2005-2010.BMC Public Health. (2025) 25:399. 10.1186/s12889-025-21346-x
23.
Willett WC Howe GR Kushi LH . Adjustment for total energy intake in epidemiologic studies.Am J Clin Nutr. (1997) 65:1220S–8S. 10.1093/ajcn/65.4.1220S
24.
Zheng L Sun J Yu X Zhang D . Ultra-processed food is positively associated with depressive symptoms among United States adults.Front Nutr. (2020) 7:600449. 10.3389/fnut.2020.600449
25.
Menezes RR Godin AM Rodrigues FF Coura G Melo I Brito A et al Thiamine and riboflavin inhibit production of cytokines and increase the anti-inflammatory activity of a corticosteroid in a chronic model of inflammation induced by complete Freund’s adjuvant. Pharmacol Rep. (2017) 69:1036–43. 10.1016/j.pharep.2017.04.011
26.
Steinert RE Sadaghian Sadabad M Harmsen HJ Weber P . The prebiotic concept and human health: A changing landscape with riboflavin as a novel prebiotic candidate.Eur J Clin Nutr. (2016) 70:1348–53. 10.1038/ejcn.2016.119
27.
Wei S Yu S Lan Y Jia Y . Association between the composite dietary antioxidant index and constipation: Evidence from NHANES 2005-2010.PLoS One. (2024) 19:e0311168. 10.1371/journal.pone.0311168
28.
Kong W Sheng W Zheng Y . Modification of the association between coffee consumption and constipation by alcohol drinking: A cross-sectional analysis of NHANES 2007-2010.PLoS One. (2024) 19:e0311916. 10.1371/journal.pone.0311916
29.
Wang B Liu C Guo Z Li R Wang Y Dong C et al Association of dietary inflammatory index with constipation: Evidence from the national health and nutrition examination survey. Food Sci Nutr. (2024) 12:2122–30. 10.1002/fsn3.3914
30.
Jiang C Luo J Shao Y . Evaluating the relationship between dietary flavonoids intake and constipation incidence in the general US population.BMC Gastroenterol. (2024) 24:455. 10.1186/s12876-024-03551-x
31.
Zhao X Wang X Quan L . Association between dietary inflammatory index and energy-adjusted dietary inflammatory index and constipation in US adults.BMC Gastroenterol. (2024) 24:235. 10.1186/s12876-024-03307-7
32.
Powers HJ . Riboflavin (vitamin B-2) and health.Am J Clin Nutr. (2003) 77:1352–60. 10.1093/ajcn/77.6.1352
33.
Liu M Zhou C Zhang Z Li Q He P Zhang Y et al Inverse association between riboflavin intake and new-onset hypertension: A nationwide cohort study in China. Hypertension. (2020) 76:1709–16. 10.1161/HYPERTENSIONAHA.120.16211
34.
Rosa V Lucia P Martina C Carola S Paola M . The impact of oxidative stress in human pathology: Focus on gastrointestinal disorders.Antioxidants. (2021) 10:201. 10.3390/antiox10020201
35.
Peng X Yi X Deng N Liu J Tan Z Cai Y . Zhishi Daozhi decoction alleviates constipation induced by a high-fat and high-protein diet via regulating intestinal mucosal microbiota and oxidative stress.Front Microbiol. (2023) 14:1214577. 10.3389/fmicb.2023.1214577
36.
Felemovicius I Bonsack ME Baptista ML Delaney JP . Intestinal radioprotection by vitamin E (alpha-tocopherol).Ann Surg. (1995) 222:504–508; discussion 508–510. 10.1097/00000658-199522240-00008
37.
Yao Z Fu S Ren B Ma L Sun D . Based on network pharmacology and gut microbiota analysis to investigate the mechanism of the laxative effect of pterostilbene on loperamide-induced slow transit constipation in mice.Front Pharmacol. (2022) 13:913420. 10.3389/fphar.2022.913420
38.
Ashoori M Saedisomeolia A . Riboflavin (vitamin B2) and oxidative stress: A review.Br J Nutr. (2014) 111:1985–91. 10.1017/S0007114514000178
39.
von Martels J Bourgonje AR Klaassen M Alkhalifah H Sadaghian Sadabad M Vich Vila A et al Riboflavin supplementation in patients with Crohn’s disease [The RISE-UP study]. J Crohns Colitis. (2020) 14:595–607. 10.1093/ecco-jcc/jjz208
40.
Levit R Savoy de Giori G de Moreno de LeBlanc A LeBlanc JG . Effect of riboflavin-producing bacteria against chemically induced colitis in mice.J Appl Microbiol. (2018) 124:232–40. 10.1111/jam.13622
41.
Pham VT Fehlbaum S Seifert N Richard N Bruins MJ Sybesma W et al Effects of colon-targeted vitamins on the composition and metabolic activity of the human gut microbiome- a pilot study. Gut Microbes. (2021) 13:1–20. 10.1080/19490976.2021.1875774
42.
van der Schoot A Creedon A Whelan K Dimidi E . The effect of food, vitamin, or mineral supplements on chronic constipation in adults: A systematic review and meta-analysis of randomized controlled trials.Neurogastroenterol Motil. (2023) 35:e14613. 10.1111/nmo.14613
43.
Miller DR . Vitamin excess and toxicity.Nutr Toxicol. (1982) 1:81–133. 10.1016/B978-0-12-332601-0.50008-5
44.
Panarese A Pesce F Porcelli P Riezzo G Iacovazzi P Leone C et al Chronic functional constipation is strongly linked to vitamin D deficiency. World J Gastroenterol. (2019) 25:1729–40. 10.3748/wjg.v25.i14.1729
45.
Chen W Peng X Yu M Wang D . Daily alcohol intake and its negative association with constipation based on NHANES data 2005-2010.Sci Rep. (2025) 15:10021. 10.1038/s41598-025-91899-9
46.
Asher G Sassone-Corsi P . Time for food: The intimate interplay between nutrition, metabolism, and the circadian clock.Cell. (2015) 161:84–92. 10.1016/j.cell.2015.03.015
47.
Phillip AE Stefan JG Robin MV Christopher BF Ali K . The gastrointestinal microbiome: Alcohol effects on the composition of intestinal microbiota.Alcohol Res Curr Rev. (2015) 37:223–36.
48.
Capurso G Lahner E . The interaction between smoking, alcohol and the gut microbiome.Best Pract Res Clin Gastroenterol. (2017) 31:579–88. 10.1016/j.bpg.2017.10.006
49.
Subramanian V Subramanya S Ghosal A Said H . Chronic alcohol feeding inhibits physiological and molecular parameters of intestinal and renal riboflavin transport.Am J Physiol Cell Physiol. (2013) 305:C539–46. 10.1152/ajpcell.00089.2013
Summary
Keywords
vitamin B2, riboflavin, constipation, dose-response, NHANES (National Health and Nutrition Examination Survey)
Citation
Ma C, Ma N, Lu H, Huang T, Zhang J, Luo M and Zhang K (2025) Association between dietary vitamin B2 intake and constipation: a nationwide cross-sectional study. Front. Med. 12:1598415. doi: 10.3389/fmed.2025.1598415
Received
23 March 2025
Accepted
03 June 2025
Published
23 June 2025
Volume
12 - 2025
Edited by
Musheerul Hassan, Ilia State University, Georgia
Reviewed by
Muzafar Riyaz, Sher-e-Kashmir University of Agricultural Sciences and Technology, India
Gulzar Ahmed Rather, Saveetha Dental College and Hospitals, India
Updates
Copyright
© 2025 Ma, Ma, Lu, Huang, Zhang, Luo and Zhang.
This is an open-access article distributed under the terms of the Creative Commons Attribution License (CC BY). The use, distribution or reproduction in other forums is permitted, provided the original author(s) and the copyright owner(s) are credited and that the original publication in this journal is cited, in accordance with accepted academic practice. No use, distribution or reproduction is permitted which does not comply with these terms.
*Correspondence: Kening Zhang, knz831128@163.com
Disclaimer
All claims expressed in this article are solely those of the authors and do not necessarily represent those of their affiliated organizations, or those of the publisher, the editors and the reviewers. Any product that may be evaluated in this article or claim that may be made by its manufacturer is not guaranteed or endorsed by the publisher.