Abstract
Objective:
Explored the risk factors for venous thromboembolism in gynecological inpatients in western China, and developed an improved model to predict the VTE of this patient population.
Methods:
The records of 6897 patients hospitalized in the Gynecology Department of Xinjiang Autonomous Region People’s Hospital were retrospectively reviewed, during January 1, 2021 to July 31, 2022 and meet the inclusion criteria are selected. The efficacy of the Caprini-combined prediction model was evaluated, and the Caprini-combined prediction model and independent risk factor-combined prediction model for predicting VTE were assessed using receiver operating characteristic (ROC) curve analysis.
Results:
The study cohort was divided into two groups: a VTE group (n = 229) and a non-VTE group (n = 6,668). Univariate analysis was performed on all patients, followed by collinearity diagnostics for variables that showed statistically significant differences. Variables with a variance inflation factor (VIF) <2 were included in the multivariate logistic regression analysis. The results identified the following independent risk factors for VTE: length of hospital stay, age ≥70 years, Caprini score ≥3, respiratory or heart failure, body mass index (BMI) ≥30 kg/m2, high platelet count, low serum albumin level, and elevated D-dimer level. Among these, the Caprini score demonstrated the strongest association with VTE (OR = 9.939). The areas under the ROC curve for the Caprini scale, the combined Caprini prediction model (incorporating Caprini score, serum albumin, and D-dimer levels), and the combined model of all independent risk factors were 0.671, 0.973, and 0.979, respectively. We had developed a simple nomogram to predict VTE.
Conclusion:
Our study constructed a nomogram for predicting the risk of VTE based on age, BMI, Caprini scale score, respiratory/heart failure, length of hospital stay, PLT, serum albumin, and D-dimer levels. This model has good discrimination and prediction effects, and has certain clinical value.
1 Introduction
Venous thromboembolism (VTE) is a thrombotic disease of the venous system that includes deep vein thrombosis (DVT) and pulmonary thromboembolism. Hospitalized patients experience a high incidence of VTE. The average global incidence rate of VTE is approximately 1.17% (1–3). VTE can cause severe survival pressure and economic burden to patients. The National Health Commission has devoted increasing attention to the prevention and control of thrombosis and VTE, and hospitals have incorporated these practices into medical quality management and monitoring systems (4) and are gradually working to strengthen them.
Patients with gynecological diseases often experience lower-limb DVT due to poor deep vein blood flow, with severe cases further progressing to pulmonary embolism (PE), both of which are considered types of VTE (5). Gynecological diseases can cause VTE in patients owing to their unique anatomical location, such as open surgery, malignant tumors, laparoscopic surgery, and hormone therapy (6). Gynecological surgery primarily focuses on the pelvic region. During surgery, many blood vessels can be directly or indirectly injured, and patients are required recover in bed for prolonged periods after such procedures, further increasing the probability of venous thrombosis (7).
Several factors affect venous thrombosis. In 1859, Virchow first proposed that blood stasis, hypercoagulability, and vascular wall damage are the three major factors contributing to thrombosis. Any of these three pathological states is a risk factor for VTE (8). Although several personalized risk models have been developed and clinically evaluated (9, 10), they have not been widely validated (11, 12). Since its revision in 2009, the Caprini risk model has been retrospectively validated in a large Western population, and its effectiveness and feasibility in screening individuals at high risk for VTE has been demonstrated (13). The model includes approximately 40 different risk factors, making the assessment complex and time-consuming. As such, the present study retrospectively analyzed risk factors for VTE in patients with gynecological diseases and designed a warning scoring table based on a risk assessment model that is more consistent with the characteristics of patients undergoing gynecological surgery. Therefore, more targeted assessments and interventions are anticipated.
This study aimed to evaluate the effectiveness of the Caprini scale in predicting VTE in hospitalized patients with gynecological diseases and to design an improved model with a high predictive yield.
2 Materials and methods
2.1 Study subjects
The present investigation was a retrospective cross-sectional study. Patients who were admitted to the Gynecology Department of Xinjiang Autonomous Region People’s Hospital (Urumqi, Xinjiang, China) between January 1, 2021, and July 31, 2022, and fulfilled the inclusion criteria were selected. The study was approved by the Ethics Committee of the People’s Hospital of the Xinjiang Autonomous Region (No: KY2023041102), and all patients provided consent to participate. During data collection, information was obtained to identify eligible participants. Patients were divided into 2 groups according to whether VTE was diagnosed during hospitalization: VTE and non-VTE. Patients with a Caprini score ≥3 were allocated to the high-risk group, while others were allocated to the low-risk group.
2.2 Diagnostic methods for VTE
Deep vein thrombosis (DVT) was diagnosed using deep vein ultrasound and/or deep vein angiography of the lower extremities, and pulmonary thromboembolism was diagnosed using computed tomography pulmonary arteriography. All patients included in this study were diagnosed with symptomatic VTE after comprehensive screening and were confirmed to have clinically suspected VTE (14).
2.3 Inclusion and exclusion criteria
Inclusion criteria were as follows: age ≥18 years; hospitalized for gynecological diseases; the length of hospital stay >3 days. Exclusion criteria: Patients who received anticoagulation treatment upon admission, patients who were unable to confirm new VTE during hospitalization, and patients without complete clinical data for evaluation were all excluded.
2.4 Classification criteria for gynecological diseases
The classification standards for all gynecological diseases were based on a current internationally recognized classification standard; more specifically, the International Classification of Diseases, 10th Revision (i.e., “ICD-10”). Diseases were classified into the following categories: malignancy, benign tumor, hydration, prolapse, uterine polyp, uterine adenomyosis, gynecological inflammation, vaginal bleeding, and other gynecological diseases.
2.5 Data acquisition
Eleven risk factors from the Caprini scale, including serum albumin, D-dimer, and platelet (PLT) levels were screened within 1 week before discharge or VTE. Each patient was strictly rated for thrombotic risk according to Caprini scale standards by professionally trained gynecological experts.
2.6 Statistical analysis
All statistical analyses were performed using SPSS version 22.0 (IBM Corp., Armonk, NY, USA), R (R Foundation for Statistical Computing, Vienna, Austria)1, and EmpowerStats (X&Y Solutions Inc., Boston, MA, USA)2. Spreadsheet software (Excel, Microsoft Corp., Redmond, WA, USA) was used to record patient information and establish a database. Measurement data with normal distribution were expressed as x ± s and the t-test was used for comparison between the two groups. Measurement data with non-normal distribution were expressed as median (interquartile range [IQR] P25 and P75), and the non-parametric Mann–Whitney U rank-sum test was used for comparison between the two groups. Categorical data were expressed as frequency (percentage), and comparison between the two groups was performed using the χ2 test or Fisher’s exact test, as appropriate. Logistic regression was used to analyze independent risk factors for VTE, and odds ratio (OR) and corresponding 95% confidence interval (CI) were calculated. A nomogram was established based on the results of multivariable analysis (15). The area under the receiver operating characteristic (ROC) curve (AUC) was used to estimate the sensitivity and specificity of the Caprini scale, and an improved model for the occurrence of VTE in patients was used. A model with AUC values >0.7 is considered accurate. Differences among the AUCs for the three models were compared using the Delong method, and differences with P < 0.05 were considered to be statistically significant.
3 Results
3.1 Distribution in VTE and non-VTE groups
From January 1, 2021 to July 31, 2022, a total of 9812 hospitalized patients were selected. Among them, 1966 patients were hospitalized for less than 3 days, 571 patients received anticoagulant treatment upon admission, 312 patients had insufficient personal information and data, and 66 patients were under the age of 18. Finally, 6897 patients who met the inclusion criteria were selected for further analysis, including 229 patients (3.32%) in the VTE group and 6668 patients (96.68%) in the non-VTE group.
In the VTE group, there were 161 cases (70.31%) of DVT, 41 cases (17.90%) of PTE, and 27 cases (11.79%) of DVT combined with PTE. The disease distribution in the two groups is shown in Table 1. Malignancy accounted for the highest percentage (44.98%) in the VTE group. In the non-VTE group, Benign tumor accounted for the highest percentage of 25.69, followed by Malignancy (25.10%).
TABLE 1
| Disease type | VTE group | Non-VTE group | Total |
| n = 229 | n = 6668 | n = 6897 | |
| Malignancy, n (%) | 103 (44.98) | 1674 (25.10) | 1777 |
| Benign tumor, n (%) | 52 (22.71) | 1713 (25.69) | 1765 |
| Hydatoncus, n (%) | 10 (4.37) | 628 (9.42) | 638 |
| Prolapse, n (%) | 26 (11.35) | 548 (8.22) | 574 |
| Uterine polyp, n (%) | 0 (0.00) | 379 (5.68) | 379 |
| Adenomyosis of uterus, n (%) | 5 (2.18) | 345 (5.17) | 350 |
| Gynecological inflammation, n (%) | 0 (0.00) | 199 (2.98) | 199 |
| Vaginal Bleeding, n (%) | 5 (2.18) | 235 (3.52) | 240 |
| Other gynecological diseases, n (%) | 28 (12.23) | 947 (14.20) | 975 |
The disease distribution in the VTE and non-VTE groups (n = 6897).
3.2 Analysis of VTE related factors in gynecological inpatients
3.2.1 Analysis of high-risk factors for VTE in gynecological inpatients.
Caprini scores, hospital stay days, active malignancy, previous VTE history, respiratory/heart failure, age, BMI, platelet count, serum albumin and D-D levels were significant differences between the VTE group and the non-VTE group (p < 0.05), as shown in Table 2.
TABLE 2
| Category, n (%) | Option | VTE group (n = 229) |
Non-VTE group (n = 6668) |
Total (n = 6897) |
χ2/Z value | p-value |
| Active malignancy, n (%) | Yes | 99 (43.23%) | 1190 (17.85%) | 1289 (18.69%) | 93.883 | <0.001 |
| No | 130 (56.77%) | 5478 (82.15%) | 5608 (81.31%) | |||
| Caprinin scale | <3 | 12 (5.24%) | 2713 (40.69%) | 2725 (39.51%) | 116.394 | <0.001 |
| ≥3 | 217 (94.76%) | 3955 (59.31%) | 4172 (60.49%) | |||
| Previous VTE history, n (%) | Yes | 70 (30.57%) | 1804 (27.05%) | 1874 (27.17%) | 1.381 | 0.240 |
| No | 159 (69.43%) | 4864 (72.95%) | 5023 (72.83%) | |||
| Respiratory/heart failure, n (%) | Yes | 11 (4.80%) | 36 (0.54%) | 47 (0.68%) | 59.464 | <0.001 |
| No | 218 (95.20%) | 6632 (99.46%) | 6850 (99.32%) | |||
| Acute myocardial/cerebral infarction, n (%) | Yes | 4 (1.75%) | 108 (1.62%) | 112 (1.62%) | 0.022 | 0.881 |
| No | 225 (98.25%) | 6560 (98.38%) | 6785 (98.38%) | |||
| Operation or not | Yes | 206 (89.96%) | 6066 (90.97%) | 6272 (90.94%) | 0.277 | 0.559 |
| No | 23 (10.04%) | 602 (9.03%) | 625 (9.06%) | |||
| BMI, (kg/m2) | <30 | 100 (43.67%) | 4509 (67.62%) | 4609 (66.83%) | 57.301 | <0.001 |
| ≥30 | 129 (56.33%) | 2159 (32.38%) | 2288 (33.17%) | |||
| BMI, (kg/m2) | 29.82 ± 4.04 | 26.09 ± 5.46 | 26.21 ± 5.46 | 59.516 | <0.001 | |
| Hospital stay days | 12.78 ± 9.72 | 8.92 ± 7.67 | 9.05 ± 8.06 | 21.541 | <0.001 | |
| Age, (years) | 55.00 (48.00–65.00) | 48.00 (42.00–57.00) | 48.00 (41.00–56.00) | −9.334 | <0.001 | |
| Age, (years) | <70 | 189 (82.53%) | 6279 (94.17%) | 6468 (93.78%) | 51.366 | <0.001 |
| ≥70 | 40 (17.47%) | 389 (5.83%) | 429 (6.22%) | |||
| PLT ( × 10∧9/L) | 266.00 (221.00–310.00) | 213.00 (171.00–254.00) | – | −12.428 | <0.001 | |
| Serum albumin (g/L) | 40.61 (37.63–43.10) | 32.00 (28.00–35.00) | – | −22.659 | <0.001 | |
| D-D (mg/L) | 1.80 (0.44–8.70) | 0.58 (0.27–1.59) | – | −9.499 | <0.001 |
Univariate analysis for VTE among the hospitalized gynecology patients (n = 6897).
Multivariate logistic regression analysis: Prior to conducting multivariate analysis, collinearity diagnosis was performed on variables with statistically significant differences in univariate analysis (Table 3). Variables with variance inflation factor (VIF) <2 were included in the multivariate analysis. Regression analysis results showed that hospitalization days, age ≥70 years, Caprini score ≥3, respiratory or heart failure, BMI ≥30, high platelet count, low serum albumin levels, and high D-dimer levels were independent risk factors for VTE in hospitalized gynecology patients, as shown in Table 3. Caprini score was the most closely related risk factor for the occurrence of VTE (OR = 9.939), as shown in Table 4.
TABLE 3
| Category | VIF |
| Active malignancy, n (%) | 1.103 |
| Hospital stay days | 1.100 |
| Serum albumin (g/L) | 1.025 |
| D-D (mg/L) | 1.025 |
| Respiratory/heart failure, n (%) | 1.012 |
| PLT (*10∧9/L) | 1.011 |
| Age, (years) (≥70) | 1.010 |
| Caprinin scale (≥3) | 1.005 |
| BMI (≥30) | 1.005 |
Variable collinearity diagnosis in univariate analysis of VTE in gynecological inpatients.
TABLE 4
| Risk factors | B | S.E | Wals | df | p-value | OR | 95% CI |
| Constant | −37.417 | 2.084 | 322.358 | 1 | <0.001 | 0 | |
| Hospital stay days | 0.034 | 0.011 | 10.606 | 1 | 0.001 | 1.035 | 1.014–1.056 |
| PLT (×10∧9/L) | 0.019 | 0.002 | 72.569 | 1 | <0.001 | 1.019 | 1.015–1.023 |
| Serum albumin (g/L) | 0.7 | 0.049 | 203.319 | 1 | <0.001 | 2.014 | 1.829–2.217 |
| D-D (mg/L) | 0.241 | 0.031 | 62.012 | 1 | <0.001 | 1.273 | 1.199–1.352 |
| Active malignancy, n (%) | 0.366 | 0.255 | 2.069 | 1 | 0.15 | 1.442 | 0.876–2.376 |
| Age, (years) (≥70) | 0.972 | 0.309 | 9.909 | 1 | 0.002 | 2.643 | 1.443–4.84 |
| Caprinin scale (≥3) | 2.297 | 0.37 | 38.437 | 1 | <0.001 | 9.939 | 4.809–20.543 |
| Respiratory/heart failure, n (%) | 1.666 | 0.691 | 5.818 | 1 | 0.016 | 5.291 | 1.367–20.488 |
| BMI (≥30) | 0.919 | 0.214 | 18.475 | 1 | <0.001 | 2.506 | 1.648–3.809 |
Multivariate binary logistic regression analysis for VTE among the hospitalized gynecology patients.
The higher the Caprinin scale level, the higher the percentage of VTE identification, which was statistically significantly different (χ2 = 154.244, p < 0.001). Additionally, with the increase in the Caprinin score, the possibility of VTE occurrence was also higher (shown in Figure 1).
FIGURE 1

Caprinin scale scores and risk of VTE. VTE, venous thromboembolism; OR, odds ratio.
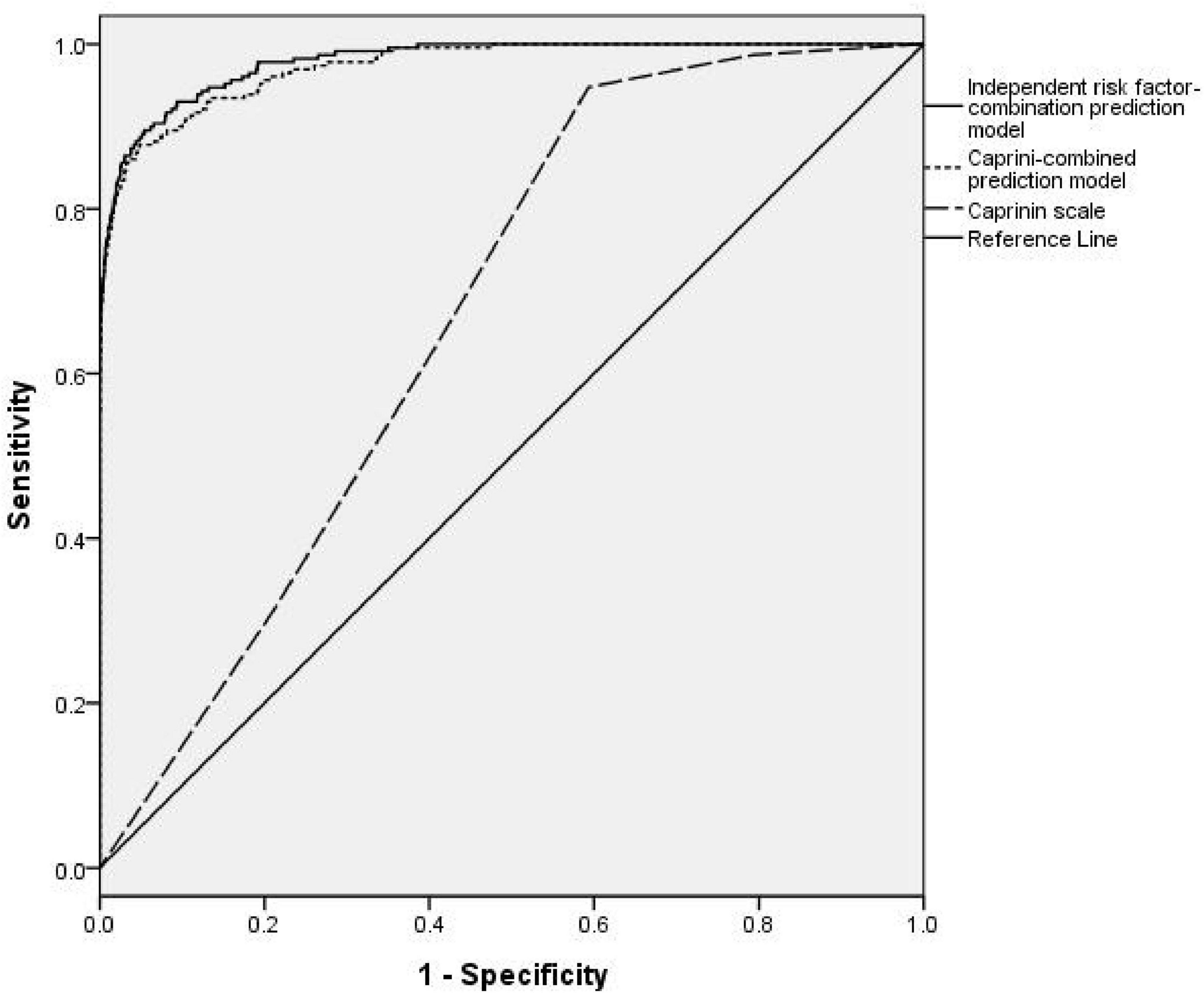
Caprini scoring prediction model, the AUC was 0.671 (95% confidence interval [CI]: 0.645–0.698), with a Youden’s index value of 0.354 (Sen = 94.76%, Spe = 40.69%), F1 score is 0.399. Caprini-combined prediction model, the AUC was 0.973 (95% CI: 0.964–0.983), with a Youden’s index value of 0.829 (Sen = 87.77%, Spe = 95.17%), F1 score is 0.697. Independent risk factor-combination prediction model, the AUC was 0.979 (95% CI: 0.972–0.987), with a Youden’s index value of 0.841 (Sen = 89.52%, Spe = 94.59%), F1 score is 0.725 (shown in Figure 2 and Table 5).
FIGURE 2

ROC curves of the Caprinin scale, Caprinin combined-prediction model, and independent risk factor-combined prediction model. Caprinin combined prediction model refers to the Caprinin scale combined with D-D and serum albumin. The independent risk factor-combined prediction model refers to the combination of nine risk factors as follows: hospitalization days, age 70 years, Caprini score 3, respiratory or heart failure, BMI 30, high platelet count, low serum albumin levels, and high D-dimer levels.
TABLE 5
| Model | AUC | 95% CI | Youden index | Sensitivity (%) | Specificity (%) | p-value | F1 score |
| Model 1 | 0.671 | 0.645–0.698 | 0.354 | 94.76% | 40.69% | <0.001 | 0.399 |
| Model 2 | 0.973 | 0.964–0.983 | 0.829 | 87.77% | 95.17% | <0.001 | 0.697 |
| Model 3 | 0.979 | 0.972–0.987 | 0.841 | 89.52% | 94.59% | <0.001 | 0.725 |
Results of ROC curves for internal and external validation in males and females.
Model 1, Caprinin scale; Model 2, Caprini-combined prediction model; Model 3, independent risk factor-combination prediction model.
3.3 Usage of nomogram
By taking a gynecological inpatients who is 40 years old as an example, drawing an upward vertical line from the age variable axis to the Point bar gets a point of 5. If her BMI is 31, the point corresponding to the BMI variable is 4. If her Caprinin scale is 4, the point corresponding to the Caprinin scale variable is 11. If her hospital stay is 32 days, she can get 7. If the PLT of this patient is 290 (x10∧9/L), the point corresponding to the PLT variable is 18.5. If the Serum albumin of this patient is 31 g/L, the point corresponding to the Serum albumin variable is 27.5. If the D-D of this patient is 10 mg/L, the point corresponding to the Serum albumin variable is 27.5. The total points equal to 88. So, the risk of VTE is 10% when we draw a straight line from the total point axis to the risk of VTE axis (Figure 3).
FIGURE 3

Nomogram to predict the risk of VTE in gynecological inpatients. Draw an upward vertical line from each variable axis to the points bar to get the points of each variable. Based on the sum of each variable points, draw a downward vertical line from Total points axis to calculate Risk of VTE bar.
4 Discussion
Venous thromboembolism (VTE) is characterized by a high incidence rate, poor prognosis, and high mortality. It is a serious complication of hospitalization and has become a global public health problem. Current research has shown that the annual incidence rate of VTE is generally approximately 100/100,000, and the annual incidence rate of VTE in western countries is 108/100,000, with 900,000 VTE cases occurring annually (16). Although the incidence rate of VTE among Asians is lower than that in Western countries, it is on the rise annually (17, 18). A large retrospective study from Hong Kong found that the incidence rate of VTE increased from 28.1/100,000 to 48.3/100,000 from 2004 to 2016, an increase of approximately 1.71 times (19). This study found that the overall incidence rate of VTE among inpatients with gynecological disease was 3.32%, which was significantly higher than reported in other studies (20). For economic reasons, this study only conducted comprehensive screening for symptomatic VTE and may have missed some asymptomatic patients with VTE.
In this study, patients with gynecological malignant tumors experienced the highest proportion of VTE (44.98% [103/229]), which is consistent with other research results (21). Owing to the unique anatomical structure(s) in patients with gynecological disease and the impact of abdominal pelvic surgery, chemotherapy, pelvic radiotherapy, hormone therapy, and other factors, the incidence rate of thrombosis is relatively high at all stages. Relevant survey results have shown that the incidence rate of thrombosis in patients with gynecological malignant tumors is as high as 3–25% (22, 23). Therefore, it is necessary to take reasonable preventive measures to effectively reduce the incidence and mortality rates of VTE, especially in those with gynecological malignant tumors (24). It is clear that standardizing the prevention and management of thrombosis in gynecological patients is crucial.
This study found that the longer the length of hospital stay, the higher the incidence of gynecological-related VTE. The longer the length of hospital stay, the more reduced patient activity, increased bedtime, and increased risk for VTE due to iatrogenic trauma, such as surgery. Patients with malignant tumors in the active stage (25, 26), a history of VTE (27), basic diseases, such as respiratory/heart failure (28, 29), elderly patients over 70 years old (30), obesity (31), and other gynecological conditions are more likely to develop VTE. These results have been confirmed in previous studies.
The occurrence of VTE is a result of an imbalance in the coagulation and anticoagulation systems in the body; moreover, there is also a connection between inflammation and immune system imbalance (32). Based on previous studies, we included some blood monitoring indicators that are prone to activity and can reflect patient physical condition. This study compared PLT count, serum albumin, and D-dimer levels and found that gynecological patients who experienced VTE exhibited higher PLT count, serum albumin, and D-dimer levels than the non-VTE group. D-dimer is the most commonly used biomarker of coagulation and fibrinolytic activation (33, 34). D-dimer testing is recommended in patients with suspected DVT or PE. If the results are normal, acute DVT or PE can be ruled out. The positive and negative predictive values of D-dimer for diagnosing DVT have been reported to be 31.0 and 98.6%, respectively (35). Its negative predictive value is clinically significant and can be used as an exclusion diagnostic standard for DVT and PE. A prospective cohort study involving 15,792 adults found that low serum albumin level is a moderate marker of increased VTE risk (36). In the present study, low serum albumin levels were independently associated with the occurrence of VTE. PLT aggregation is an important factor in thrombosis and hemostasis. Multiple studies have shown that an elevated PLT count is associated with the occurrence of VTE in patients with tumors, and that PLT count may be a predictive factor for venous thrombosis in patients with tumors.
In a study by Khorana et al., PLT count was associated with the risk for VTE after chemotherapy (37). A study involving patients with lung cancer found that the occurrence of VTE was associated with an increase in PLT count (38). In recent years, multiple studies have confirmed that PLT-to-lymphocyte ratio is an independent predictor of VTE in patients with malignant tumors (39, 40).
Presently, there are many biomarkers reported in the literature, such as D-dimer, tissue factors, and gene polymorphisms, which may not be able to accurately predict VTE owing to various factors, such as detection methods and subject ethnicity. This requires the standardization of laboratory testing methods in the search for biomarkers for thrombosis in different populations, and then combine multiple biomarkers to establish a prediction model for VTE. Improving the ability to predict VTE is an important aspect of further exploration.
The most commonly used venous thrombosis risk assessment scales currently include the Caprini and Wells score scales, with the Caprini score being more comprehensive and covering more gynecological surgery-related items. Therefore, the Caprini score is the cornerstone of the most widely used VTE prevention and treatment guidelines for gynecological surgery in the United States (41–43). In our study, the AUC for predicting gynecological VTE using the Caprini alone was 0.671, which is close to the value reported by Tan et al. (44).
In the early stages of VTE occurrence, it is necessary to construct a predictive model for VTE occurrence, which is used to identify high-risk individuals and identify high-risk populations as soon as possible, take personalized health interventions in a timely manner, control risk factors, and prevent VTE occurrence in patients as soon as possible. At present, various VTE risk assessment models have been established both domestically and internationally, including the Caprini Thrombosis Assessment Model (45), the Autar Thrombosis Risk Assessment Scale (46), the Padua Prediction Scoring Scale (47), and the Khorana Risk Scoring Scale (48). Different types of risk assessment forms have different applicability, and currently, the Caprini Risk Assessment Model is the most widely used VTE risk assessment model in China. This study focuses on women in western China and constructs a VTE risk prediction model suitable for this region based on the clustering characteristics of risk factors for VTE patients in this population. Therefore, we included serum albumin and D-dimer levels based on the Caprini score and analyzed the predictive performance of a Caprini joint prediction model. Our results showed that the AUC for the Caprini-combined prediction model was higher than that of the Caprini score (p < 0.001), with sensitivity decreasing from 94.76 to 87.77% and specificity increasing from 40.69 to 95.17%. These results indicate that the Caprini combined prediction model outperformed the Caprini score in predicting VTE in gynecological inpatients.
We also present the VTE probability of the statistical prediction model in a graphical manner by drawing a column chart (Figure 3), which can intuitively and vividly evaluate the risk of VTE in women’s patients, providing clues for VTE prevention and precision medical treatment. It is a clinical tool that is easy for patients to understand. There are still areas for improvement in this study. Firstly, the included indicators cannot fully cover all risk factors of VTE, resulting in limited predictive ability of the model. Secondly, the study sample is the gynecological patients in the hospital, and no female patients in other departments were collected, thus the incidence rate of VTE was underestimated; This study did not use an external population for validation, and the extrapolation ability of the VTE risk prediction model was evaluated to be poor. Further research can be supplemented by the above questions to improve the predictive ability of the VTE risk prediction model.
5 Conclusion
Our study constructed a nomogram for predicting the risk of VTE based on age, BMI, Caprini scale score, respiratory/heart failure, length of hospital stay, PLT, serum albumin, and D-dimer levels. This model has good discrimination and prediction effects, and has certain clinical value.
Statements
Data availability statement
The raw data supporting the conclusions of this article will be made available by the authors, without undue reservation.
Ethics statement
The studies involving humans were approved by Ethics Committee of Xinjiang Uygur Autonomous Region People’s Hospital. The studies were conducted in accordance with the local legislation and institutional requirements. Written informed consent for participation in this study was provided by the participants’ legal guardians/next of kin.
Author contributions
LiM: Conceptualization, Formal analysis, Investigation, Methodology. Writing – original draft, Writing – review & editing. LeM: Data curation, Formal analysis, Investigation, Methodology, Software, Writing – original draft, Writing – review & editing. PJ: Data curation, Investigation, Writing – original draft. LW: Conceptualization, Data curation, Investigation, Methodology, Project administration, Supervision, Writing – review & editing. LH: Conceptualization, Data curation, Investigation, Project administration, Writing – original draft. XZ: Data curation, Conceptualization, Project administration, Investigation, Writing – original draft. MH: Data curation, Investigation, Writing – original draft. HR: Investigation, Writing – review & editing. CY: Investigation, Writing – review & editing. QT: Data curation, Investigation, Writing – review & editing. TH: Conceptualization, Data curation, Formal analysis, Investigation, Methodology, Writing – original draft, Writing – review & editing. KY: Writing – original draft, Writing – review & editing, Funding acquisition.
Funding
The author(s) declare that financial support was received for the research and/or publication of this article. This study was supported by the Xinjiang Uyghur Autonomous Region Natural Science Foundation Project (No.2021D01C194).
Acknowledgments
We would like to thank Kereman Yakufu for her contribution to this article. At the same time, we sincerely thank those who participated in the research.
Conflict of interest
The authors declare that the research was conducted in the absence of any commercial or financial relationships that could be construed as a potential conflict of interest.
Generative AI statement
The authors declare that no Generative AI was used in the creation of this manuscript.
Any alternative text (alt text) provided alongside figures in this article has been generated by Frontiers with the support of artificial intelligence and reasonable efforts have been made to ensure accuracy, including review by the authors wherever possible. If you identify any issues, please contact us.
Publisher’s note
All claims expressed in this article are solely those of the authors and do not necessarily represent those of their affiliated organizations, or those of the publisher, the editors and the reviewers. Any product that may be evaluated in this article, or claim that may be made by its manufacturer, is not guaranteed or endorsed by the publisher.
References
1.
Writing Group of Chinese Experts’ Suggestions on the Prevention of Venous Thromboembolism in Internal Medicine Inpatients, Respiratory Branch of the Chinese Medical Association, Geriatrsic Branch of the Chinese Medical Association et al. Suggestions from Chinese experts on the prevention of venous thromboembolism in hospitalized internal medicine patients. Chinese J Tuberculosis Respiratory Dis. (2015) 38:484–91. 10.3760/cma.j.issn.1001-0939.2015.07.002
2.
Liu L Zhang T . Guidelines for perioperative thrombosis prevention and management in general surgery in China.J Digestive Oncol. (2016) 8: 57–62.
3.
Lu Q Wang J Han W Zhang W Wang X Niu T et al Guidelines for the prevention of intrahospital venous thromboembolism at Shanghai Changhai Hospital. J Hospital Manag People’s Liberation Army. (2018) 25:1032–37. 10.16770/J.cnki.1008-9985.2018.11.010
4.
Liu X Xue M Bao Y . Informationization construction and implementation of hospital VTE prevention and control management system.Chinese J Health Information Manag. (2019) 16: 327–31.
5.
He Z Zhou H Zhang J Liu Z Yang Z . Analysis of risk factors for postoperative venous thromboembolism in ICU patients.J Guangzhou Med Univers. (2018) 46:47–50.
6.
Cantrell L Garcia C Maitland H . Thrombosis and thromboprophylaxis in gynecology surgery.Clin Obstet Gynecol. (2018) 61:269–77. 10.1097/GRF.0000000000000355
7.
Jiang J Li X Caio G . Risk assessment and nursing strategies for lower limb deep vein thrombosis in patients after gynecological surgery.Clin Med Eng. (2020) 27:673–4.
8.
Cervantes J Rojas G . Virchow’s legacy: deep vein thrombosis and pulmonary embolism.World J Surg. (2005) 29:S30–4. 10.1007/s00268-004-2056-0
9.
Zhang X Gion P Liu J . Comparison of the evaluation effects of two risk models, Autar and Padua, in predicting venous thromboembolism in cancer patients.Chinese J Oncol Surg. (2018) 10:237–40. 10.3969/j.issn.1674-4136.2018.04.008
10.
Luo X Lu G . Research progress on risk assessment tools for venous thromboembolism abroad.J Nurs. (2014) 29:94–6. 10.3870/hlxzz.2014.12.094
11.
Luo X Zhang F . [Validation of the Caprini risk assessment model for venous thromboembolism in Chinese hospitalized patients in a general hospital].Zhonghua Yi Xue Za Zhi. (2017) 97:1875–7. 10.3760/cma.j.issn.0376-2491.2017.24.007
12.
Cronin M Dengler N Krauss E Segal A Wei N Daly M et al Completion of the updated caprini risk assessment model (2013 Version). Clin Appl Thromb Hemost. (2019) 25:1076029619838052. 10.1177/1076029619838052
13.
Shi J Ye J Zhuang X Cheng X Fu R Zhao A . Application value of Caprini risk assessment model and elevated tumor-specific D-dimer level in predicting postoperative venous thromboembolism for patients undergoing surgery of gynecologic malignancies.J Obstet Gynaecol Res. (2019) 45:657–64. 10.1111/jog.13832
14.
Peng Q Chen X Han Y Tang G Liu J Liu Y et al Applicability of the Padua scale for Chinese rheumatic in-patients with venous thromboembolism. PLoS One. (2022) 17:e0278157. 10.1371/journal.pone.0278157
15.
Mao L Zhang X Hu Y Wang X Song Y He J et al Nomogram based on cytokines for cardiovascular diseases in Xinjiang Kazakhs. Mediators Inflamm. (2019) 2019:4756295. 10.1155/2019/4756295
16.
Heit J . The epidemiology of venous thromboembolism in the community.Arterioscler Thromb Vasc Biol. (2008) 28:370–72. 10.1161/ATVBAHA.108.162545
17.
Lee L Gallus A Jindal R Wang C Wu C . Incidence of venous thromboembolism in Asian populations: a systematic review.Thromb Haemost. (2017) 117:2243–60. 10.1160/TH17-02-0134
18.
Zhang Z Lei J Shao X Dong F Wang J Wang D et al Trends in hospitalization and In-hospital mortality from VTE, 2007 to 2016, in China. Chest. (2019) 155:342–53. 10.1016/j.chest.2018.10.040
19.
Huang D Chan P She H Wong C Ho C Cheng Y et al Secular trends and etiologies of venous thromboembolism in Chinese from 2004 to 2016. Thromb Res. (2018) 166:80–5. 10.1016/j.thromres.2018.04.021
20.
Tang Q Wang P . Clinical analysis of venous thromboembolism after gynecological surgery.J Pract Obstetr Gynecol. (2020) 36:67–71.
21.
Expert Committee on Gynecological Oncology of Shandong Clinical Oncology Society, Gynecological Oncology Group of Minimally Invasive Medicine Professional Committee of Chinese Medical Doctor Association. Expert consensus on perioperative prevention of venous thromboembolism in gynecological tumor patients (2022 Edition). Chinese J Cancer Prevent Treatment. (2022) 29:687–94. 10.16073/j.cnki.cjcpt.2022.10.01
22.
Walker A Card T West J Crooks C Grainge M . Incidence of venous thromboembolism in patients with cancer - a cohort study using linked United Kingdom databases.Eur J Cancer. (2013) 49:1404–13. 10.1016/j.ejca.2012.10.021
23.
Ohashi Y Ikeda M Kunitoh H Sasako M Okusaka T Mukai H et al Venous thromboembolism in cancer patients: report of baseline data from the multicentre, prospective Cancer-VTE Registry. Jpn J Clin Oncol. (2020) 50:1246–53. 10.1093/jjco/hyaa112
24.
Whitworth J Schneider K Frederick P Finan M Reed E Fauci J et al Double prophylaxis for deep venous thrombosis in patients with gynecologic oncology who are undergoing laparotomy: does preoperative anticoagulation matter? Int J Gynecol Cancer. (2011) 21:1131–4. 10.1097/IGC.0b013e31821dc9f0
25.
Anderson F Spencer F . Risk factors for venous thromboembolism.Circulation. (2003) 107:I9–16. 10.1161/01.CIR.0000078469.07362.E6
26.
Sugimachi K Tajiri H Kinjo N Ikebe M Wang H Tanaka K et al Incidence and predictors of deep venous thrombosis after abdominal oncologic surgery: prospective Doppler ultrasound screening. J Surg Res. (2012) 178:657–61. 10.1016/j.jss.2012.06.002
27.
Peedicayil A Weaver A Li X Carey E Cliby W Mariani A . Incidence and timing of venous thromboembolism after surgery for gynecological cancer.Gynecol Oncol. (2011) 121:64–9. 10.1016/j.ygyno.2010.11.038
28.
Qin X Tian L Li H Hu Y Cao F Zhang Y . Meta analysis of risk factors for venous thromboembolism in hospitalized internal medicine patients.Modern Prevent Med. (2018) 45:753–6.
29.
Wang Z Yu Z Zhao J Yao D . Clinical analysis of venous thromboembolism after gynecological tumor surgery.Tibet Med J. (2023) 44:58–61.
30.
Wang Y Yang K Zhang M Liu B Li J Ma F . Comparison of different risk assessment models for predicting venous thromboembolism in elderly patients with lung cancer.Chinese J Geriatr. (2020) 39:430–4. 10.3760/cma.j.issn.0254-9026.2020.04.014
31.
Zu Q Zhu J . New progress in the treatment of venous thromboembolism.Clin Med Progr. (2023) 13:10081–7. 10.12677/ACM.2023.1361410
32.
Liu C. Clinical Characteristics and Establishment of a Risk Assessment Model for Venous Thromboembolism in Gynecological Malignant Tumors. Shanghai: Naval Medical University of the People’s Liberation Army of China (2022).
33.
Righini M Perrier A De Moerloose P Bounameaux H . D-Dimer for venous thromboembolism diagnosis: 20 years later.J Thromb Haemost. (2008) 6:1059–71. 10.1111/j.1538-7836.2008.02981.x
34.
Stein P Fowler S Goodman L Gottschalk A Hales C Hull R et al Multidetector computed tomography for acute pulmonary embolism. N Engl J Med. (2006) 354:2317–27. 10.1056/NEJMoa052367
35.
Liu Y Zhang Z Guo S et al Clinical study on lower limb deep vein thrombosis after gynecological pelvic surgery. Chinese J Obstetr Gynecol. (2006) 41:107–10.
36.
Folsom A Lutsey P Heckbert S Cushman M . Serum albumin and risk of venous thromboembolism.Thromb Haemost. (2010) 104:100–4. 10.1160/TH09-12-0856
37.
Khorana A Francis C Culakova E Lyman G . Risk factors for chemotherapy-associated venous thromboembolism in a prospective observational study.Cancer. (2005) 104:2822–29. 10.1002/cncr.21496
38.
Kadlec B Skrickova J Merta Z Dusek L Jarkovsky J . The incidence and predictors of thromboembolic events in patients with lung cancer.ScientificWorldJournal. (2014) 2014:125706–15. 10.1155/2014/125706
39.
Ferroni P Riondino S Formica V Cereda V Tosetto L La Farina F et al Venous thromboembolism risk prediction in ambulatory cancer patients: clinical significance of neutrophil/lymphocyte ratio and platelet/lymphocyte ratio. Int J Cancer. (2015) 136:1234–40. 10.1002/ijc.29076
40.
Yang W Liu Y . Platelet-lymphocyte ratio is a predictor of venous thromboembolism in cancer patients.Thromb Res. (2015) 136:212–5. 10.1016/j.thromres.2014.11.025
41.
Hachey K Hewes P Porter L Ridyard D Rosenkranz P McAneny D et al Caprini venous thromboembolism risk assessment permits selection for postdischarge prophylactic anticoagulation in patients with resectable lung cancer. J Thorac Cardiovasc Surg. (2016) 151:37–44.e1. 10.1016/j.jtcvs.2015.08.039
42.
Lou Y Shen Y . Effectiveness of Caprini thrombus risk assessment model in predicting DVT risk in gynecological malignant tumor patients undergoing surgery.J Southeast Univer Med Ed. (2017) 36:333–7. 10.3969/j.issn.1671-6264.2017.03.005
43.
Huang W Wang H Zhang X Zhang Y Xie F Peng Y et al The application value of the 2005 Caprini thrombus risk assessment model in patients undergoing gynecological pelvic surgery. Chinese Med Sci. (2019) 9:117–20.
44.
Tan K Liu D Shu T . Risk prediction of venous thrombosis related to gynecological malignant tumors based on the Caprini thrombus risk assessment model.Cancer Pharm. (2022) 12:126–31. 10.3969/j.issn.2095-1264.2022.01.20
45.
Caprini J Arcelus J Hasty J Tamhane A Fabrega F . Clinical assessment of venous thromboembolic risk in surgical patients.Semin Thromb Hemost. (1991) 17:304–1210.1055/s-2007-1002590
46.
Autar R . Nursing assessment of clients at risk of deep vein thrombosis (DVT): the Autar DVT scale.J Adv Nurs. (1996) 23:763–70. 10.1111/j.1365-2648.1996.tb00049.x
47.
Barbar S Noventa F Rossetto V Ferrari A Brandolin B Perlati M et al A risk assessment model for the identification of hospitalized medical patients at risk for venous thromboembolism: the Padua Prediction Score. J Thromb Haemost. (2010) 8:2450–7. 10.1111/j.1538-7836.2010.04044.x
48.
Khorana A Kuderer N Culakova E Lyman G Francis C . Development and validation of a predictive model for chemotherapy-associated thrombosis.Blood. (2008) 111:4902–07. 10.1182/blood-2007-10-116327
Summary
Keywords
venous thromboembolism, Caprini scale, prediction model, gynecological patients, nomogram
Citation
Ma L, Mao L, Jia P, Wang L, Han L, Zhang X, Hou M, Ren H, Yan C, Tang Q, Han T and Yakufu K (2025) Utility of a Caprini-combined prediction model in patients with gynecological venous thromboembolism in China. Front. Med. 12:1618023. doi: 10.3389/fmed.2025.1618023
Received
17 June 2025
Accepted
17 October 2025
Published
31 October 2025
Volume
12 - 2025
Edited by
Carmen Rubio, National Institute of Neurology and Neurosurgery, Mexico
Reviewed by
Xin Tang, Wu Yunshan Hospital of Hangzhou, China
Lifan Zhang, Beijing Jishuitan Hospital, China
Updates
Copyright
© 2025 Ma, Mao, Jia, Wang, Han, Zhang, Hou, Ren, Yan, Tang, Han and Yakufu.
This is an open-access article distributed under the terms of the Creative Commons Attribution License (CC BY). The use, distribution or reproduction in other forums is permitted, provided the original author(s) and the copyright owner(s) are credited and that the original publication in this journal is cited, in accordance with accepted academic practice. No use, distribution or reproduction is permitted which does not comply with these terms.
*Correspondence: Kereman Yakufu, xjrmyysci@yeah.netTao Han, 67960959@qq.com
†These authors have contributed equally to this work
Disclaimer
All claims expressed in this article are solely those of the authors and do not necessarily represent those of their affiliated organizations, or those of the publisher, the editors and the reviewers. Any product that may be evaluated in this article or claim that may be made by its manufacturer is not guaranteed or endorsed by the publisher.