ORIGINAL RESEARCH article
Front. Med.
Sec. Obstetrics and Gynecology
Investigating the Prognostic Significance of Examined Lymph Node Count in Elderly Women with Cervical Carcinoma: A SEER Population-Based Study
Provisionally accepted- 1Hebei General Hospital, Shijiazhuang, China
- 2Second Hospital of Hebei Medical University, Shijiazhuang, Hebei Province, China
Select one of your emails
You have multiple emails registered with Frontiers:
Notify me on publication
Please enter your email address:
If you already have an account, please login
You don't have a Frontiers account ? You can register here
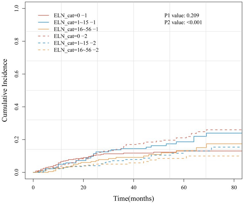
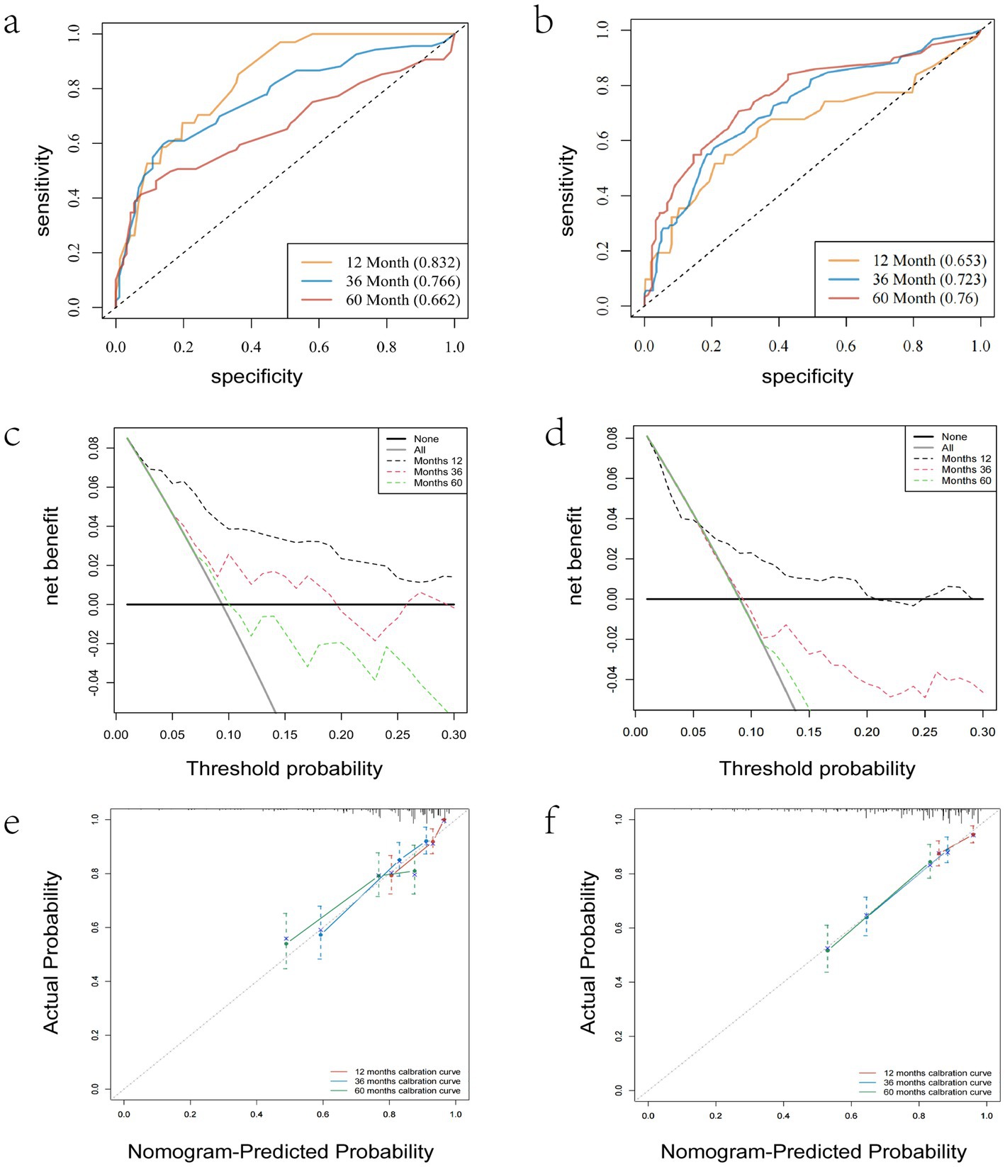
Objective:This study aims to explore the prognostic factors including the number of examined lymph nodes (ELNs) for elderly cervical cancer patients who have undergone surgery, and to develop and validate a novel model to predict survival prognosis in this patient population. Methods: A database comprising patients aged 65 years or older diagnosed with stage I-IVA cervical cancer who subsequently underwent surgery was retrieved from the Surveillance, Epidemiology, and End Results Program (SEER). Cox regression analyses were conducted to examine the relationship between the number of ELNs and overall survival (OS). Propensity score matching(PSM) was conducted to control the influence of confounding factors and competitive risk analyses were used to evaluate the relationship between ELN and cervical cancer-specific mortality. A nomogram was constructed based on the training set and validated using the testing set. Results: 807 participants were included totally. Kaplan-Meier survival analysis demonstrated that patients with a higher number of ELNs had significantly prolonged OS. Cox regression analysis confirmed that the number of ELNs was an independent prognostic factor for OS. After PSM, the competitive risk analysis revealed no significant association between the number of ELNs and the risk of cervical cancer specific mortality.A predictive model incorporating variables including the ELNs count, age , FIGO staging, and radiotherapy status was developed, evaluated, and validated to predict survival rate. The model demonstrated high predictive accuracy for survival outcomes. Conclusions: The ELN count is a prognostic factor worth considering in elderly patients with cervical cancer and our survival rate prediction model integrating ELN count has good predictive ability and universality.
Keywords: cervical cancer, Examined lymph nodes (ELNs), elderly patients, Surgery, nomogram, Overall survival (OS), prognosis
Received: 27 Apr 2025; Accepted: 11 Nov 2025.
Copyright: © 2025 Liu, Qin, Su, Duan, Jiang, Zhao, Qi and Dai. This is an open-access article distributed under the terms of the Creative Commons Attribution License (CC BY). The use, distribution or reproduction in other forums is permitted, provided the original author(s) or licensor are credited and that the original publication in this journal is cited, in accordance with accepted academic practice. No use, distribution or reproduction is permitted which does not comply with these terms.
* Correspondence: Congwei Dai, dcw8031@126.com
Disclaimer: All claims expressed in this article are solely those of the authors and do not necessarily represent those of their affiliated organizations, or those of the publisher, the editors and the reviewers. Any product that may be evaluated in this article or claim that may be made by its manufacturer is not guaranteed or endorsed by the publisher.
