Abstract
Sarcopenia is usually an age-related disease in the elderly, which also affects patients with end-stage lung disease (ELD), such as chronic obstructive pulmonary disease, interstitial lung disease, and pulmonary hypertension, significantly affects disease progression and clinical outcomes. Currently, there are various methods for quantifying sarcopenia through muscle mass assessment. This study aimed to evaluate the prevalence of sarcopenia in patients with end-stage lung diseases using meta-analysis and to explore its influencing factors and clinical implications. A systematic search was conducted in English databases, including PubMed, Web of Science (WOS), Embase, Cochrane Library, CINAHL, and Scopus. Two researchers independently assessed study quality using the JBI Critical Appraisal Checklist for Analytical Cross Sectional Studies. Data analysis was performed using Stata 18.0 and R 4.4.3 software. The pooled prevalence of sarcopenia in ELD patients was calculated using a random-effects model, with subgroup analyses to identify sources of heterogeneity. Twenty-four cross-sectional studies involving 6,800 patients were included. The pooled prevalence of sarcopenia in ELD patients was 31.6% (95% CI: 26.5–36.8%). Subgroup analyses revealed higher sarcopenia prevalence in patients aged ≥70 years (vs. <70 years), males (vs. Females), those diagnosed using AWGS2019 criteria (vs.other criteria), dual-energy X-ray absorptiometry (DXA; vs. bioelectrical impedance analysis [BIA]), Asian populations (vs. European/North American populations), and COPD patients (vs. IPF/ILD patients). Sarcopenia is prevalent among patients with ELD, with its prevalence varying across different populations due to multiple influencing factors, resulting in distinct clinical outcomes. It is recommended to implement targeted intervention strategies based on these factors to reduce the incidence of sarcopenia and enhance the quality of life.
Systematic review registration:
Identifier, CRD420251028682 (PROSPERO).
Highlights
-
Demonstrated a pooled prevalence for sarcopenia in end-stage lung disease patients
-
The reasons for the high prevalence of sarcopenia were explained.
-
The influencing factors and clinical outcomes associated with sarcopenia in end-stage lung diseases were explored.
-
Sarcopenia prevalence varies across populations, necessitating targeted interventions to improve quality of life.
1 Introduction
End-stage lung disease (ELD) is a clinical syndrome characterized by progressive, irreversible impairment of pulmonary function and systemic multiorgan pathophysiological disturbances (1, 2). It encompasses life-threatening respiratory conditions such as chronic obstructive pulmonary disease (COPD), pulmonary interstitial fibrosis, and pulmonary arterial hypertension (3). Notably, disease progression is accompanied by complex interacting factors, including chronic hypoxemia, systemic inflammatory cascades, disruption of metabolic homeostasis, and long-term pharmacotherapy (e.g., glucocorticoid use) (4–6), which synergistically drive the progressive depletion of skeletal muscle mass and function—a condition termed secondary sarcopenia. This complication has emerged as a critical, independent risk factor influencing clinical outcomes in ELD patients, profoundly impacting prognosis and therapeutic decision-making (7, 8).
Epidemiological investigations have revealed significant heterogeneity in the prevalence of sarcopenia among patients with ELD, ranging from 7.9 to 89% (8, 9), which is substantially higher than in age-matched healthy populations (7). Sarcopenia exacerbates the progression of primary diseases through multiple pathological mechanisms: it not only directly impairs respiratory muscle efficiency, leading to deterioration in ventilatory function (10), but also induces peripheral muscle atrophy, resulting in a precipitous decline in exercise capacity (11), while significantly increasing the risk of fall-related fractures (12). Clinical cohort studies confirm that ELD patients with comorbid sarcopenia exhibit an elevated risk of hospitalization due to acute exacerbations (13), a prolonged duration of mechanical ventilation dependence (14), and a markedly elevated all-cause mortality rate (15, 16). Given its profound impact on patients’ quality of life and prognosis, early identification and comprehensive intervention for sarcopenia have become critical priorities in multidisciplinary management frameworks for individuals with ELD, underscoring its significant clinical relevance in this field (7, 8, 10).
The diagnostic framework for sarcopenia lacks global consensus, with current diagnostic parameters primarily encompassing skeletal muscle mass quantification (assessed via dual-energy X-ray absorptiometry[DXA] or bioelectrical impedance analysis [BIA]) (17, 18), grip strength measurement, and physical performance evaluation (e.g., gait speed) (17). Recent observational studies have yielded extensive and inconsistent findings (19–21). Notably, the prevalence of sarcopenia appears to be higher in Asian populations compared to those in other regions (22). However, patients with ELD exhibit unique characteristics due to respiratory limitations, frequent acute exacerbations, and complex comorbidities. They may present with distinct phenotypic patterns (e.g., predominant proximal muscle involvement) and pathological mechanisms (e.g., systemic inflammation and hypoxia) that differ from those of other chronic disease cohorts (4, 5, 23). The heterogeneity of ELD etiology, the complexity of disease progression, and the diversity in sarcopenia diagnostic criteria contribute to significant variability in research outcomes. This, in turn, results in fragmented clinical protocols for sarcopenia identification, assessment, and management. Despite the growing body of research on sarcopenia in COPD, idiopathic pulmonary fibrosis, and pulmonary hypertension, critical clinical questions remain unanswered. This knowledge gap severely hampers the development of evidence-based practice guidelines, highlighting the urgent need to establish a multidimensional ELD-specific sarcopenia assessment framework.
Thus, this study utilizes systematic review and meta-analysis methodologies to comprehensively assess the prevalence of sarcopenia among patients with ELD and to ascertain its variability within distinct ELD subgroups. Through the synthesis of existing evidence, our goal is to establish an evidence-based framework for sarcopenia management in ELD, offering clinicians actionable insights to enhance therapeutic strategies.
2 Methods
2.1 Study registration
The protocol for this systematic review has been registered with the International Prospective Register of Systematic Reviews (PROSPERO; Registration ID: CRD420251028682).
2.2 Data source and search strategy
The study was conducted by two graduate students (LS and MJD) who had received evidence-based practice training. They independently performed systematic searches through English-language databases.
The searches covered PubMed, Web of Science (WOS), Embase, Cochrane Library, CINAHL, and Scopus, with the time range spanning from the inception of each database to March 2025. Database-specific search strategies were collaboratively developed and pre-tested for optimization by the research team in conjunction with experienced librarians. The core search terms included Medical Subject Headings (MeSH) and keywords such as: “COPD (chronic obstructive pulmonary disease OR chronic obstructive lung disease OR COAD),” “ILD/IPF (Idiopathic Pulmonary Fibrosis, interstitial lung disease, idiopathic lung disease),” “CF (cystic fibrosis, fibrosis cystic, mucoviscidosis, pulmonary cystic fibrosis, cystic fibrosis pulmonary),” and “PAH (Hypertension, Pulmonary, Pulmonary Hypertension, lung arterial hypertension),” as well as terms related to sarcopenia: “sarcopenias” OR “sarcopenic” OR “muscle loss” OR “muscle mass” OR “muscle waste” OR “muscle wasting” OR “skeletal muscle reduction” OR “muscle weakness” OR “muscular atrophy.” The complete search strategies are detailed in the Supplementary materials.
In addition, manual screening of the reference lists of all retrieved relevant systematic reviews was conducted to identify additional studies for inclusion. The search was restricted to include only peer-reviewed literature written in English (due to the unavailability of translation support). All search results were consolidated and deduplicated using EndNote reference management software (Thomson Reuters, New York, United States), followed by subsequent processing.
2.3 Selection criteria
Inclusion Criteria: ① The study population comprises patients with end-stage lung disease aged ≥18 years; ② The study type is a cross-sectional study; ③ The language of the publication is English; ④ The observed indicators include the incidence of sarcopenia in end-stage lung disease, among others; ⑤ When the research content of a journal article overlaps with that of a dissertation, the journal article is adopted. To ensure the methodological rigor of the included literature, gray literature was not included in this study. Exclusion Criteria: ① The study population consists of individuals aged <18 years; ② The incidence of sarcopenia is not mentioned; ③ The study is an intervention study or a review article; ④ The full text of the study is unavailable, or the study is a duplicate publication.
2.4 Quality assessment
The quality assessment of the literature was conducted by two reviewers (LS, Peipei Gu) using the JBI Critical Appraisal Checklist for Analytical Cross-Sectional Studies, a tool specifically designed for evaluating the quality of cross-sectional studies. In cases where there were doubts regarding the quality, a third reviewer was consulted for a reassessment. The JBI quality assessment criteria for cross-sectional studies consist of 8 items, with each item being evaluated as “Yes,” “No,” “Unclear,” or “Not applicable” (24, 25). ① Were the criteria for inclusion in the sample clearly defined? ② Were the study subjects and the setting described in detail? ③ Was the exposure measured in a valid and reliable way? ④ Were objective, standard criteria used for measurement of the condition? ⑤ Were confounding factors identified? ⑥ Were strategies to deal with confounding factors stated? ⑦ Were the outcomes measured in a valid and reliable way? ⑧ Was appropriate statistical analysis used? Supplementary Table 1 quality assessment of the included studies.
2.5 Statistical analysis
This study utilized Stata 18 and R 4.4.3 software for statistical analysis to ascertain the prevalence of sarcopenia among ELD patients. Heterogeneity across studies was assessed using the I2 statistic, which quantifies the proportion of between-study variance in effect sizes (26). When p ≥ 0.1 and I2 ≤ 50%, indicating negligible heterogeneity, a fixed-effects model was applied; conversely, when p < 0.1 and I2 > 50%, suggesting significant heterogeneity (27), a random-effects model was utilized for meta-analysis. Subgroup analyses were conducted based on age, gender, diagnosis, geographic region, and disease type. To evaluate the robustness and reliability of the meta-analysis results, sensitivity analysis was performed by sequentially excluding individual studies to examine their impact on overall heterogeneity. Since single-group rate meta-analysis provides descriptive outcomes rather than comparative difference testing, traditional “positive result” determination or statistical significance thresholds (and associated publication bias assessment) are not applicable (28).
3 Results
3.1 Study selection process
The systematic search across the aforementioned databases initially identified 9,125 relevant articles. After removing duplicates using EndNote 20 software, 3,706 articles remained. Following title and abstract screening, 98 articles were selected for full-text review. After excluding studies with non-conforming study populations, irrelevant topics, and low-quality research, 24 articles were ultimately included in the final selection. Quality assessment demonstrated that all 24 articles were of medium to high quality and were therefore incorporated into the analysis. Given that IPF has distinct pathophysiology, clinical presentation, prognostic implications, and treatment regimen (1), it is routinely classified and studied as a separate entity despite being technically a form of ILD. See Figure 1 and Supplementary Table 1.
Figure 1

Flowchart of the literature search and selection.
3.2 Descriptions of the included studies
Among the 24 included studies, 19 studies primarily centered on COPD (10, 22, 25, 29–44), 3 studies focused on IPF (45–47), and 2 studies on ILD (48, 49). Geographically, 17 studies were carried out in Asia (22, 25, 29–31, 34, 35, 37–39, 42, 43, 45–49), 6 studies in Europe (10, 32, 33, 36, 41, 44), and only 1 study in North America (40). Five studies each utilized the EWGSOP2010 (10, 25, 29, 33, 36), EWGSOP2 (35, 40, 41, 43, 44), and AWGS2019 (34, 42, 45, 46, 48) diagnostic criteria, while 3 studies employed the AWGS2014 criteria (22, 37, 39). The diagnostic criteria were not explicitly stated in the remaining studies. In terms of assessment methods, 13 studies used BIA (10, 25, 29, 33, 34, 42–49), and 11 studies used DXA (22, 30–32, 35–41). A summary of the quality scores is provided in Supplementary Table 1, and detailed characteristics of the selected studies are presented in Table 1.
Table 1
| First author | Year | Country | Disease type | Sample size | Age (mean ± SD) | Male, n (%) | Consensus group | Prevalence | Components of sarcopenia | |||||
|---|---|---|---|---|---|---|---|---|---|---|---|---|---|---|
| Lean muscle mass | Muscle strength | Physical performance | ||||||||||||
| Method | Cut-off (kg/m2) | Method | Cut-off (kg) | Method | Cut-off (m·s−1)/m | |||||||||
| Jamie R Chua (25) | 2019 | Philippines | COPD | 41 | 69.2 ± 6.8 | 37 (90.2) | EWGSOP2010 | 46.3% | BIA | M: <8.87F: <6.42 | HGS | M: <24.54F: <16.10 | 6MWD | - |
| Min Kwang Byun (29) | 2017 | South Korea | COPD | 80 | 68.4 ± 8.9 | 67 (83.8) | EWGSOP2010 | 25% | BIA | M:<8.87F:<6.42 | HGS | M:≤30F:≤20 | 6MWD | - |
| Jamie R Chua (30) | 2020 | Philippines | COPD | 41 | 69.2 ± 6.8 | - | - | 46.3% | DXA | M:<12.50F:<8.33 | HGS | M: <24.54F: <16.10 | 6MWD | - |
| Jae Ho Chung (31) | 2015 | South Korea | COPD | 1,039 | Man: 64.5 ± 9.4 Woman: 64.5 ± 10.2 |
- | - | 27.2% | DXA | M:<6.95F:<4.94 | - | - | - | - |
| Tatiana Munhoz (32) | 2015 | Basil | COPD | 91 | 67.4 ± 8.7 | - | - | 39.6% | DXA | M:<7.26F:<5.45 | - | - | 6MWD | |
| Francesca de Blasio (33) | 2018 | Italy | COPD | 263 | 68.0 ± 9.0 | - | EWGSOP2010 | 24.0% | BIA | M:≤8.50F:≤5.75 | HGS | M:<30F:<20 | 4MGS | <0.8 m/s |
| Havva (10) | 2020 | Turkey | COPD | 219 | 66.9 ± 10.1 | - | EWGSOP2010 | 14.6% | BIA | M:<10.37F:<9.84 | HGS | M:<28.75F:<14.25 | 6MWD | <0.8 m/s |
| Mingming Deng (34) | 2022 | China | COPD | 235 | 64.4 ± 10.7 | - | AWGS2019 | 35.3% | BIA | M:<7.0F: <5.7 | HGS | M: <28F: <18 | 6MWD | |
| Qi Jiang (35) | 2024 | China | COPD | 1,429 | - | 543 (35.69) | EWGSOP2 | 17.2% | DXA (ALM/ BMI) |
M:<0.789F: <0.512 | - | - | 400 m walk test |
|
| Sarah E Jones (36) | 2025 | UK | COPD | 622 | - | - | EWGSOP2010 | 14.5% | BIA | M:≤8.50F:≤5.75 | HGS | M:<30F:<20 | 4MGS | <0.8 m/s |
| Dong-Won Lee (37) | 2016 | Korea | COPD | 858 | - | 226 (79.0) | AWGS2014 | 33.3% | DXA | M:<7.0F: <5.4 | - | - | - | - |
| Dong-Won Lee (38) | 2022 | Korea | COPD | 704 | - | - | - | 13.9% | DXA | M/F: 0.774 | - | - | - | - |
| Panita Limpawattana (22) | 2017 | Thailand | COPD | 121 | 70 ± 9.0 | 112 (92.6) | AWGS2014 | 24.0% | DXA | M:<7.0F: <5.4 | HGS | M:<26F:<18 | - | - |
| Baiyang Lin (39) | 2021 | China | COPD | 73 | 73.2 ± 9.5 | 59(80.8) | AWGS2014 | 38.4% | DXA | M:<7.0F: <5.4 | HGS | M:<26F:<18 | 4MGS | <0.8 m/s |
| Nathalie (40) | 2022 | Mexico | COPD | 185 | 72.2 ± 8.4 | 102(55.1) | EWGSOP2 | 42.2% | DXA | M:<7F: <6 | HGS | M:<27F:<16 | 6MWD | - |
| Vitalii Poberezhets (41) | 2021 | Ukraine | COPD | 190 | 66.1 ± 10.5 | 46(95.8) | EWGSOP2 | 25.3% | DXA | M:<7.0F: <5.5 | HGS | M:<27F:<16 | 4MGS | ≤0.8 m/s |
| Yogesh M (42) | 2023 | India | COPD | 111 | - | - | AWGS2019 | 52.3% | BIA | M:<7.0F: <5.5 | HGS | M:<27F:<20 | - | - |
| Yogesh M (43) | 2024 | India | COPD | 160 | 48.0 ± 5.0 | - | EWGSOP2 | 61.9% | BIA | M:<7.0F: <5.5 | HGS | M:<27F:<20 | - | - |
| Maria Tsekoura (44) | 2020 | Greece | COPD | 69 | - | - | EWGSOP2 | 24.6% | BIA | M:≤7F: ≤5.5 | HGS | M:<27F:<16 | 4MGS | <0.8 m/s |
| Kohei Fujita, MD (45) | 2022 | Japan | IPF | 56 | 73.1 ± 7.7 | 49(87.5) | AWGS 2019 | 39.3% | BIA | M:<7.0F: <5.7 | HGS | M:<28F:<18 | 10-m corridor | <1.0 m/s |
| Kohei Fujita, MD (46) | 2022 | Japan | IPF | 49 | 73.0 ± 7.7 | 44(89.8) | AWGS 2019 | 36.7% | BIA | M:<7.0F: <5.7 | HGS | M:<28F:<18 | 10-m corridor | <1.0 m/s |
| Masatoshi Hanada (48) | 2022 | Japan | ILD | 78 | 71(67–77) | - | AWGS 2019 | 32.1% | BIA | M:<7.0F: <5.7 | HGS | M:<28F:<18 | 6MWD | <1.0 m/s |
| Jeeshitha M (49) | 2024 | India | ILD | 32 | 48.0 ± 14.8 | 8(25) | - | 21.9% | BIA | M:<7.0F: <5.7 | - | - | 4MGS | <0.8 m/s |
| Hirotsugu Ohkubo (47) | 2022 | Japan | IPF | 54 | 73.6 ± 7.9 | - | - | 38.9% | BIA | M:<7.0F: <5.7 | HGS | M:<28F:<18 | 10-m corridor | <1.0 m/s |
Characteristics of included studies.
3.3 Assessment methods for sarcopenia in end-stage lung disease patients
The included studies were evaluated based on sarcopenia-specific diagnostic criteria (Table 1). The diagnoses were established through the measurement of low lean muscle mass (LMM) and low muscle strength (LMS). Among these studies, three used only LMM as the diagnostic criterion, while 21 studies combined it with low physical performance (LPP) and/or LMS. LMM, LMS, and LPP were assessed using various methods and cutoff values across these studies. Muscle mass was quantified using dual-energy X-ray absorptiometry (DXA) and bioelectrical impedance analysis (BIA). Muscle strength was evaluated through handgrip strength (HGS) measurement. Physical performance was assessed using either the 6-min walk test (6MWT) or the 4-meter gait speed test (4MGS). The studies primarily relied on the thresholds for muscle mass, strength, and physical performance recommended by the Asian Working Group for Sarcopenia (AWGS) (17, 50) and the European Working Group on Sarcopenia in Older People (EWGSOP) (18, 51).
3.4 Prevalence of sarcopenia in end-stage lung disease patients
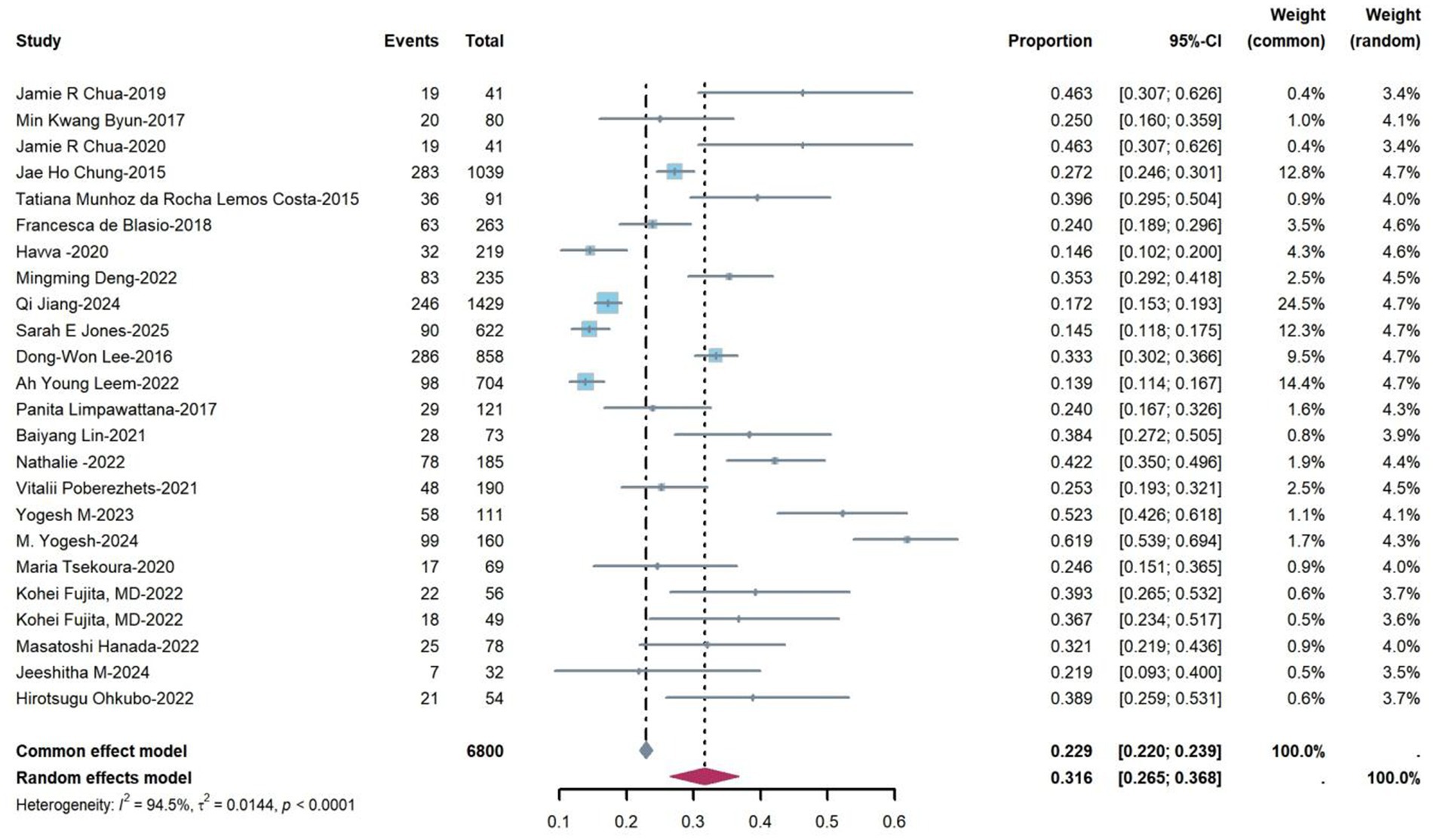
Twenty-four studies reported the prevalence of sarcopenia among patients with end-stage lung disease (range from 13.9 to 61.9%). Heterogeneity testing revealed an I2 statistic of 94.5% (p < 0.001), prompting the use of a random-effects model for the meta-analysis. The forest plot in Figure 2 illustrates the prevalence rates and their corresponding confidence intervals. The meta-analysis yielded a pooled prevalence of 31.6% (95% CI: 26.5–36.8%).
Figure 2

Prevalence of sarcopenia in end-stage pulmonary disease patients based on a random efforts model.
3.4.1 Subgroup analysis
This systematic review conducted subgroup analyses stratified by age, sex, diagnostic criteria, measurement tools, geographic region, and disease type. The results demonstrated a higher prevalence in individuals aged ≥70 years (36%) compared to those < 70 (33%). Male patients have a higher incidence rate (33%) than female patients (11%). When assessed by diagnostic criteria, the AWGS2019 criteria yielded a higher prevalence rate (34%) than the EWGSOP2 (31%), AWGS2014 (31%), and EWGSOP2010 (22%) criteria. The use of bioelectrical impedance analysis (BIA) as a measurement tool was associated with a higher prevalence (34%) compared to dual-energy X-ray absorptiometry (DXA; 28%). Geographically, North America exhibited the highest prevalence (42%), followed by Asia (34%) and Europe (23%). Among disease subtypes, idiopathic pulmonary fibrosis (IPF) showed a greater prevalence (38%) than chronic obstructive pulmonary disease (COPD; 31%) and interstitial lung disease (ILD; 28%). All the aforementioned differences were statistically significant (p < 0.01; see Table 2).
Table 2
| Subgroup | Numbers of studies | Heterogeneity | Model | Rate (95% CI) | Test for subgroup difference | |
|---|---|---|---|---|---|---|
| I2 (%) | p | |||||
| Age | ||||||
| <70 | 11 | 92.6 | < 0.001 | Random | 0.33 (0.25, 0.40) | χ2 = 4.559, df = 1 (p<0.05) |
| ≥70 | 7 | 55.4 | 0.036 | Random | 0.36 (0.30, 0.41) | |
| Sex | ||||||
| Male | 13 | 97.3 | < 0.001 | Random | 0.33 (0.17, 0.49) | χ2 = 619, df = 1 (p<0.01) |
| Female | 13 | 61.5 | 0.002 | Random | 0.11 (0.06, 0.17) | |
| Criteria | ||||||
| EWGSOP2010 | 5 | 85.8 | < 0.001 | Random | 0.22 (0.15, 0.29) | χ2 = 63.96, df = 3 (p<0.01) |
| EWGSOP2 | 5 | 97.6 | < 0.001 | Random | 0.34 (0.18, 0.50) | |
| AWGS2014 | 3 | 67.2 | 0.047 | Random | 0.31 (0.24, 0.38) | |
| AWGS2019 | 5 | 63.9 | 0.026 | Random | 0.39 (0.32, 0.47) | |
| Assessment method | ||||||
| BIA | 13 | 92.6 | < 0.001 | Random | 0.34 (0.25, 0.43) | χ2 = 36.09, df = 1 (p<0.01) |
| DXA | 11 | 95.3 | < 0.001 | Random | 0.28 (0.22, 0.33) | |
| Region | ||||||
| Asia | 17 | 95.2 | < 0.001 | Random | 0.34 (0.28, 0.40) | χ2 = 27.75, df = 2 (p<0.01) |
| Europe | 6 | 86.8 | < 0.001 | Random | 0.23 (0.17, 0.29) | |
| North America | 1 | NAa | NAa | Random | 0.42 (0.35, 0.49) | |
| Disease | ||||||
| COPD | 19 | 95.5 | < 0.001 | Random | 0.31 (0.26, 0.36) | χ2 = 43.16, df = 2 (p<0.01) |
| IPF | 3 | 0.0 | 0.958 | Random | 0.38 (0.31, 0.46) | |
| ILD | 2 | 21.8 | 0.258 | Random | 0.28 (0.19, 0.38) | |
Meta-analysis of the prevalence in different subgroups.
I2, I-square heterogeneity statistic; P, p value; χ2, χ2 statistic; CI, confidence interval; NA, not applicable; a, Due to the extreme values [Rate (95% CI) <0], we use the metaprop method for analysis. Heterogeneity test results in this method were not shown when the number of subgroup studies is 3 or less.
3.4.2 Sensitivity analysis
Sensitivity analysis was conducted using the leave-one-out method, and the results demonstrated robust data stability. As illustrated in Figure 3, the pooled effect size exhibited only minimal variations upon the exclusion of any individual dataset.
Figure 3

Sensitivity analysis of the studies reporting the prevalence. CI, confidence interval.
3.5 Factors correlated with sarcopenia
The main factors associated with sarcopenia in end-stage lung disease patients include age (22, 29, 34, 39, 41), particularly in the elderly population over 75 years old (22), low BMI (22, 29, 32, 34, 39, 44), and elevated systemic inflammatory markers such as hsTNF-α and IL-6 (39). De Blasio et al. (33) reported that 58.7% of COPD patients with sarcopenia also suffered from malnutrition (33). Qi et al. (35) found that the Dietary Inflammatory Index (DII) was associated with sarcopenia (OR: 2.37 [1.26, 4.48]). In the study by Jones et al. (36), ELD patients with sarcopenia exhibited more significant airflow limitation (manifested as reduced forced expiratory volume in 1 s[FEV1]), along with varying degrees of decline in physical activity levels, bodily function, and exercise endurance. Hirotsugu et al. (47) also observed poorer physical activity levels (r = −0.62) and fewer daily steps (r = −0.37) in patients with sarcopenia. A study (47) indicated that sarcopenia is negatively correlated with forced vital capacity (FVC; r = −0.51).
Whether considered independently [including both high BMI (22) and low BMI (29)] or as part of the BODE index (BMI, airflow obstruction, dyspnea, and exercise capacity) (10, 32), it is associated with sarcopenia. When analyzing psychological factors, Hirotsugu et al. (47) found that sarcopenia was positively correlated with anxiety and depression (r = 0.31 and r = 0.28, respectively). Additionally, in terms of muscle-related factors, sarcopenia in end-stage lung disease patients is also linked to the rectus femoris cross-sectional area (RFCSA), rectus femoris thickness (RFthick) (34), and skeletal muscle mass index (SMMI) (44). Relevant information can be found in the Supplementary Table 2.
3.6 Sarcopenia’s impact on clinical outcomes
Sarcopenia is associated with adverse clinical outcomes in patients with end-stage lung disease. Studies by Tatiana et al. (32), Havva (10), and Qi Jiang (35) demonstrated that patients with sarcopenia had poorer prognoses and higher all-cause mortality. Four studies (22, 34, 45, 47) found that sarcopenia exacerbated dyspnea severity and disease progression (22). Two studies (38, 42) indicated that sarcopenia increased the risk of cardiovascular and renal comorbidities. Additionally, one study (43) reported that sarcopenia was linked to prolonged hospitalization (>10 days) and higher 6-month readmission rates. Furthermore, two studies (10, 34) revealed that sarcopenia significantly impaired patients’ quality of life. Relevant information can be found in the Supplementary Table 2.
4 Discussion
ELD encompasses a range of critically debilitating conditions marked by severely impaired pulmonary function, diminished quality of life, and a poor prognosis. The presence of sarcopenia in these patients can further exacerbate their health status. However, owing to heterogeneity in study designs and patient populations, the reported prevalence of sarcopenia in patients with end-stage lung disease varied across studies included in this systematic review. To provide clinicians with robust evidence, we performed a meta-analysis of 24 studies reporting sarcopenia prevalence in this population. The pooled estimate revealed that 31.6% (95% CI: 26.5–36.8%) of end-stage lung disease patients were affected by sarcopenia, a finding that remained robust in sensitivity analyses. The pooled analysis showed a sarcopenia prevalence of 31.6% (95% CI: 26.5–36.8%) among ELD patients, with sensitivity analysis confirming the robustness of these findings. Numerous studies have reported a notably higher prevalence of sarcopenia (ranging from 10 to 39%) in patients with end-stage lung diseases, such as COPD, ILD and IPF (19–21, 45, 52). This evidence underscores the critical need to recognize and manage sarcopenia as a core comorbidity in this vulnerable population.
Subgroup analyses have revealed significant variability in the prevalence of sarcopenia across various age groups, genders, diagnostic criteria, measurement tools, geographic regions, and disease categories. Consistent with previous findings (53), the incidence of sarcopenia increases with age, reflecting the interplay of multiple physiological and disease-specific mechanisms. Chronic hypoxia and systemic inflammation in ELD patients activate the ubiquitin-proteasome system (UPS), accelerating muscle protein degradation and inducing an “accelerated aging” phenotype (54, 55). Studies indicate (19) that ELD patients, especially those with COPD, experience a shift in muscle fiber composition from type I to type II fibers (56), which likely contributes to dyspnea symptoms and impaired exercise performance (e.g., reduced endurance and exercise capacity) (57). Further clarification of the molecular and cellular mechanisms underlying sarcopenia pathogenesis in ELD populations will aid in the development of optimized assessment tools, allowing for more precise diagnosis, severity stratification, and personalized intervention strategies for this condition.
A significant sex difference in the prevalence of sarcopenia among ELD patients was observed in the overall population, with males exhibiting a higher rate than females (33% vs. 11%, p < 0.05). Research indicates (58) that ELD predominantly affects males due to factors such as smoking and occupational/environmental exposures. Previous studies (59) similarly report notable heterogeneity in sarcopenia incidence between genders across ELD populations. However, investigations by Awano (60) and Li (21) demonstrate that while male patients constitute the majority of ELD cohorts, no statistically significant difference in sarcopenia prevalence exists between male and female ELD patients. These findings underscore the need for further research to comprehensively characterize gender-specific epidemiological patterns and elucidate potential mechanistic pathways underlying observed sex-related disparities.
Assessment of sarcopenia prevalence in ELD populations is significantly influenced by variations in diagnostic criteria and musculoskeletal measurement tools. All included studies in this review adhered to existing sarcopenia consensus definitions, including EWGSOP 2010, EWGSOP2, AWGS 2014, and AWGS 2019. Firstly, discrepancies exist in the selection of definitions and core indicators, particularly regarding muscle mass assessment, where various criteria employ different measurement methodologies and thresholds. Inconsistencies may arise between measurements obtained via DXA and BIA, as BIA results are susceptible to fluctuations in hydration status, whereas DXA offers greater precision albeit at a higher cost. Regarding threshold settings: The Asian criteria (AWGS) (17) may establish stricter muscle mass thresholds (e.g., <7.0 kg/m2 for males, <5.7 kg/m2 for females), whereas European criteria (18) (EWGSOP) adopt slightly more lenient thresholds. Regarding muscle strength: Handgrip strength thresholds vary across different criteria. For example, AWGS defines abnormal handgrip strength as <28 kg for males and <18 kg for females, while EWGSOP may employ sex-stratified thresholds. Regarding physical performance: The inclusion or exclusion of gait speed tests (e.g., 6-meter walk) or balance assessments directly impacts diagnostic outcomes. Secondly, diagnostic algorithm complexity varies: EWGSOP requires concurrent abnormalities in muscle mass reduction plus either strength or functional decline for confirmation, whereas AWGS categorizes sarcopenia into “probable,” “confirmed,” and “severe” stages. Finally, heterogeneity exists in measurement tools and methodologies. While DXA measures total-body muscle mass, it cannot differentiate intramuscular fat infiltration. Variations in dynamometer models and testing protocols (e.g., seated vs. standing posture) may introduce measurement biases. For instance, Yogesh et al.’s study (42) (AWGS 2019) reported a 52.3% sarcopenia prevalence in ELD patients using BIA, whereas Jiang et al.’s research (35) (EWGSOP2) found a 17.2% prevalence using DXA. The lack of uniformity in diagnostic criteria and musculoskeletal assessment tools contributes to significant variability in sarcopenia prevalence estimates. Future efforts should prioritize the development of standardized definitions (e.g., disease-specific consensus guidelines) and more precise evaluation tools (e.g., AI-assisted muscle imaging analytics) to enhance interstudy comparability and diagnostic accuracy.
Our analysis revealed regional disparities in the prevalence of eldery sarcopenia, with the highest rate reported in North America (42%), followed by Asia (34%) and Europe (23%). These estimates contrast with those from two prior studies conducted in North America (61) and Europe (62), which reported rates of 7 and 48%, respectively. The heterogeneity in prevalence may be attributed to several factors. In North America, the high prevalence might be linked to the high burden of metabolic disorders—such as obesity, diabetes, and cardiovascular disease—where the co-occurrence of low physical activity and obesity (sarcopenic obesity) may exacerbate muscle loss and metabolic dysfunction (63). Conversely, several European countries (e.g., the Netherlands, Sweden, Belgium) have implemented early screening and intervention systems targeting geriatric health, including community-based programs combining nutrition and exercise, which may help mitigate sarcopenia progression (64). Although Asian countries (e.g., China, Japan) are experiencing the most rapid population aging globally, systematic screening and prevention strategies for sarcopenia remain underdeveloped in the region (65). Notably, the geographic distribution of included studies was highly uneven, with most evidence originating from Asian and European populations. The body of evidence for North America derives solely from a single study conducted in Mexico (40), constituting a significant gap in geographic representation. Given the considerable heterogeneity in ethnic background, lifestyle, and dietary habits among North American countries (e.g., Mexico, the United States, and Canada), findings from one study cannot be generalized to the entire region. This imbalance may introduce selection bias and limits the external validity of our geographic comparisons. Therefore, further high-quality studies from diverse geographic settings are needed to validate the observed regional differences in sarcopenia prevalence and clarify their underlying causes. Such efforts will be crucial for developing targeted prevention and management strategies globally.
This study also demonstrated significant differences in the prevalence of sarcopenia across various types of ELD. IPF had the highest prevalence rate at 38%, followed by COPD at 31%, both figures exceeding previously reported rates of 26 and 27%, respectively (21, 53). ILD exhibited the lowest prevalence at 28%. Potential reasons for these disparities include the following: IPF is characterized by the persistent overexpression of pro-inflammatory cytokines, such as IL-6, TNF-α, and TGF-β. These not only promote pulmonary fibrosis but also accelerate muscle protein degradation by activating the ubiquitin-proteasome system (UPS) and inhibiting the mTOR signaling pathway, thereby suppressing protein synthesis (66). On the other hand, inflammation associated with COPD predominantly involves neutrophilic infiltration (67), whereas ILD presents with heterogeneous inflammatory profiles depending on the subtype (e.g., sarcoidosis, hypersensitivity pneumonitis) (68), generally with lower systemic inflammatory intensity compared to IPF. Patients with IPF experience earlier and more prolonged hypoxemia, especially during exertion (69), whereas COPD patients typically show intermittent hypoxia (4). Chronic hypoxia suppresses mitochondrial oxidative phosphorylation, leading to muscle lactate accumulation, insufficient ATP synthesis, and accelerated muscle fiber atrophy (70).
Beyond the factors analyzed in subgroup analyses, this systematic review revealed that body mass index (BMI), systemic inflammatory markers, the dietary inflammatory index (DII), physical activity levels, and related psychological factors are all associated with sarcopenia in patients with ELD. The relationship between BMI and the prevalence of sarcopenia presents conflicting research findings, indicating a “dual effect” of BMI. A low BMI, associated with malnutrition, is directly linked to sarcopenia (29), reflecting muscle wasting due to insufficient energy-protein intake. On the other hand, a high BMI, related to obesity, also elevates the risk (22), possibly due to pro-inflammatory cytokines derived from adipocytes (e.g., IL-6) that induce muscle insulin resistance and contribute to a “sarcopenic obesity” phenotype. Elevated DII scores correlate with increased levels of pro-inflammatory cytokines (e.g., IL-6, TNF-α, CRP) and elevated hsTNF-α (29, 35), suggesting that chronic inflammation may accelerate muscle protein degradation through the activation of the (Ubiquitin-Proteasome System, UPS) and inhibit muscle stem cell proliferation.
A study (36) included in this analysis revealed that patients with sarcopenia exhibited significantly lower levels of physical activity compared to those without sarcopenia (p < 0.01). One potential mechanism underlying this association may be that physical activity reduces levels of pro-inflammatory cytokines such as IL-6 and TNF-α, while elevating anti-inflammatory factors like IL-10, thereby attenuating inflammation-mediated muscle proteolysis (4, 71). Consequently, increasing physical activity is essential for ameliorating sarcopenia. In support of this, Constantin et al. (72) demonstrated that an 8-week resistance training program led to improvements in both muscle mass and strength. Additionally, patients with anxiety and depression often exhibit hyperactivity of the hypothalamic–pituitary–adrenal (HPA) axis, resulting in chronically elevated cortisol levels (73). Elevated cortisol may contribute directly to muscle loss by suppressing insulin-like growth factor-1 (IGF-1) signaling and activating proteolytic pathways in skeletal muscle (74).
It must be acknowledged that this study did not include smoking—a critical exposure factor for ELD. Despite the fact that smoking is a major risk factor for ELD, research findings regarding its association with sarcopenia are inconsistent. One study confirmed a significant correlation between smoking and sarcopenia (32), whereas two other studies found no statistically significant association (22, 75). Jone et al. (36) further reported that there were no significant differences in smoking status (current, former, or never smokers) between COPD patients with and without sarcopenia, suggesting that smoking may indirectly affect muscle function through alternative mechanisms, such as exacerbating pulmonary dysfunction (19).
Sarcopenia significantly contributes to adverse clinical outcomes in patients with end-stage lung disease, increasing mortality, reducing quality of life, and accelerating respiratory functional decline. Corticosteroids, frequently prescribed during acute exacerbations of COPD, ILD, and IPF, can aggravate muscle atrophy (62, 76–78). Studies demonstrate that even brief glucocorticoid exposure enhances proteolytic pathways via activation of the UPS and suppression of the mTOR signaling axis, while concurrently impairing protein synthesis—collectively hastening the progression of sarcopenia (54, 79). This effect is particularly detrimental in patients with pre-existing malnutrition, systemic inflammation, and physical inactivity, further compromising muscle function and long-term prognosis (6). The pathophysiological interplay between sarcopenia and ELD is characterized by a self-perpetuating systemic-organ vicious cycle. Consequently, early screening and multimodal intervention for sarcopenia represent a pivotal therapeutic target to attenuate disease progression in ELD.
This review has several potential limitations. Firstly, all the included studies were cross-sectional in design, which precludes causal inferences and results in less rigorous exploration of influencing factors. Secondly, due to variations in measurement tools, diagnostic criteria, sampling methods, and sample sources across studies, significant heterogeneity persisted despite subgroup analyses. This may compromise the accuracy of the findings and warrants further investigation. Additionally, in this review, the diagnostic criteria adopted by each included study were independently defined by the respective authors, potentially referencing different guidelines without considering cultural and population-specific adaptations, further contributing to heterogeneity. Finally, due to resource constraints, we were unable to include unpublished literature or data. Therefore, more in-depth research is needed to investigate sarcopenia in patients with ELD.
5 Conclusion
Sarcopenia is highly prevalent in patients with end-stage lung disease (ELD), with a pooled prevalence of 31.6% (95% CI: 26.5–36.8), underscoring its considerable burden in this population and calling for heightened clinical attention. Our analysis reveals marked heterogeneity in sarcopenia manifestations among ELD patients, influenced by multiple factors including divergent assessment methods, lack of diagnostic standardization, and age-related physiological decline.
This systematic review synthesizes current evidence to inform screening and management strategies for sarcopenia in ELD, while highlighting the critical challenge posed by inconsistent diagnostic criteria. To address this issue, we propose the development of structured and standardized disease-specific diagnostic algorithms that integrate functional and morphological measures to improve accuracy in identification and targeting of interventions. Furthermore, we emphasize the urgent need for harmonized definitions and evaluation frameworks to enhance comparability across studies. Moving forward, priority should be given to prospective clinical trials designed to evaluate integrated care pathways that concurrently target sarcopenia and respiratory function. Such studies will be essential for generating robust evidence to guide future clinical practice recommendations.
Statements
Data availability statement
The original contributions presented in the study are included in the article/Supplementary material, further inquiries can be directed to the corresponding author.
Author contributions
LS: Software, Formal analysis, Writing – original draft, Data curation. PG: Methodology, Data curation, Software, Writing – review & editing. LC: Data curation, Software, Writing – review & editing. YZ: Methodology, Formal analysis, Software, Writing – review & editing. MD: Methodology, Data curation, Writing – review & editing. FZ: Visualization, Writing – review & editing, Resources, Conceptualization.
Funding
The author(s) declare that no financial support was received for the research and/or publication of this article.
Acknowledgments
We thank the original authors of the included studies for their excellent work. We thank the editor and reviewers for their thoughtful comments, which greatly improved the clarity and rigor of this manuscript.
Conflict of interest
The authors declare that the research was conducted in the absence of any commercial or financial relationships that could be construed as a potential conflict of interest.
Generative AI statement
The author(s) declare that no Gen AI was used in the creation of this manuscript.
Any alternative text (alt text) provided alongside figures in this article has been generated by Frontiers with the support of artificial intelligence and reasonable efforts have been made to ensure accuracy, including review by the authors wherever possible. If you identify any issues, please contact us.
Publisher’s note
All claims expressed in this article are solely those of the authors and do not necessarily represent those of their affiliated organizations, or those of the publisher, the editors and the reviewers. Any product that may be evaluated in this article, or claim that may be made by its manufacturer, is not guaranteed or endorsed by the publisher.
Supplementary material
The Supplementary material for this article can be found online at: https://www.frontiersin.org/articles/10.3389/fmed.2025.1640027/full#supplementary-material
References
1.
Maher TM . Interstitial lung disease: a review. JAMA. (2024) 331:1655–65. doi: 10.1001/jama.2024.3669
2.
Briganti DF D'Ovidio F . Long-term management of patients with end-stage lung diseases. Best Pract Res Clin Anaesthesiol. (2017) 31:167–78. doi: 10.1016/j.bpa.2017.07.007
3.
Nagata H Kanou T Fukui E Kimura T Ose N Funaki S et al . Native lung surgery after single lung transplantation: clinical characteristics and outcomes. Surg Today. (2024) 54:1131–7. doi: 10.1007/s00595-024-02828-8
4.
van Bakel SIJ Gosker HR Langen RC Schols A . Towards personalized management of sarcopenia in COPD. Int J Chron Obstruct Pulmon Dis. (2021) 16:25–40. doi: 10.2147/COPD.S280540
5.
Ma K Huang F Qiao R Miao L . Pathogenesis of sarcopenia in chronic obstructive pulmonary disease. Front Physiol. (2022) 13:850964. doi: 10.3389/fphys.2022.850964
6.
Cruz-Jentoft AJ Sayer AA . Sarcopenia. Lancet. (2019) 393:2636–46. doi: 10.1016/S0140-6736(19)31138-9
7.
Karim A Muhammad T Ustrana S Qaisar R . Intestinal permeability marker zonulin as a predictor of sarcopenia in chronic obstructive pulmonary disease. Respir Med. (2021) 189:106662. doi: 10.1016/j.rmed.2021.106662
8.
Pothirat C Chaiwong W Phetsuk N Liwsrisakun C Bumroongkit C Deesomchok A et al . The relationship between body composition and clinical parameters in chronic obstructive pulmonary disease. J Med Assoc Thail. (2016) 99:386–93.
9.
Trajanoska K Schoufour JD Darweesh SK Benz E Medina-Gomez C Alferink LJ et al . Sarcopenia and its clinical correlates in the general population: the Rotterdam study. J Bone Miner Res. (2018) 33:1209–18. doi: 10.1002/jbmr.3416
10.
Demircioğlu H Cihan FG Kutlu R Yosunkaya Ş Zamani A . Frequency of sarcopenia and associated outcomes in patients with chronic obstructive pulmonary disease. Turk J Med Sci. (2020) 50:1270–9. doi: 10.3906/sag-1909-36
11.
Nakayama M Konishi M Sugano T Okamura M Gohbara M Iwata K et al . Association between sarcopenia and exercise capacity in patients with pulmonary hypertension without left heart disease. Int J Cardiol. (2023) 387:131115. doi: 10.1016/j.ijcard.2023.06.006
12.
Lim SK Kong S . Prevalence, physical characteristics, and fall risk in older adults with and without possible sarcopenia. Aging Clin Exp Res. (2022) 34:1365–71. doi: 10.1007/s40520-022-02078-z
13.
Zhang X Zhang W Wang C Tao W Dou Q Yang Y . Sarcopenia as a predictor of hospitalization among older people: a systematic review and meta-analysis. BMC Geriatr. (2018) 18:188. doi: 10.1186/s12877-018-0878-0
14.
Jiang T Lin T Shu X Song Q Dai M Zhao Y et al . Prevalence and prognostic value of preexisting sarcopenia in patients with mechanical ventilation: a systematic review and meta-analysis. Crit Care. (2022) 26:140. doi: 10.1186/s13054-022-04015-y
15.
Attaway AH Lopez R Welch N Bellar A Hatipoğlu U Zein J et al . Muscle loss phenotype in COPD is associated with adverse outcomes in the UK biobank. BMC Pulm Med. (2024) 24:186. doi: 10.1186/s12890-024-02999-7
16.
Benz E Wijnant SRA Trajanoska K Arinze JT de Roos EW de Ridder M et al . Sarcopenia, systemic immune-inflammation index and all-cause mortality in middle-aged and older people with COPD and asthma: a population-based study. ERJ open. Research. (2022) 8:00628–2021. doi: 10.1183/23120541.00628-2021
17.
Chen LK Woo J Assantachai P Auyeung TW Chou MY Iijima K et al . Asian working Group for Sarcopenia: 2019 consensus update on sarcopenia diagnosis and treatment. J Am Med Dir Assoc. (2020) 21:300–307.e2. doi: 10.1016/j.jamda.2019.12.012
18.
Cruz-Jentoft AJ Bahat G Bauer J Boirie Y Bruyère O Cederholm T et al . Sarcopenia: revised European consensus on definition and diagnosis. Age Ageing. (2019) 48:16–31. doi: 10.1093/ageing/afy169
19.
Benz E Trajanoska K Lahousse L Schoufour JD Terzikhan N De Roos E et al . Sarcopenia in COPD: a systematic review and meta-analysis. Eur Respir Rev. (2019) 28:190049. doi: 10.1183/16000617.0049-2019
20.
Sepúlveda-Loyola W Osadnik C Phu S Morita AA Duque G Probst VS . Diagnosis, prevalence, and clinical impact of sarcopenia in COPD: a systematic review and meta-analysis. J Cachexia Sarcopenia Muscle. (2020) 11:1164–76. doi: 10.1002/jcsm.12600
21.
Li J Lu Y Deng M Tong R Zhang Q Bian Y et al . Prevalence and risk factors of sarcopenia in idiopathic pulmonary fibrosis: a systematic review and meta-analysis. Front Med (Lausanne). (2023) 10:1187760. doi: 10.3389/fmed.2023.1187760
22.
Limpawattana P Inthasuwan P Putraveephong S Boonsawat W Theerakulpisut D Sawanyawisuth K . Sarcopenia in chronic obstructive pulmonary disease: a study of prevalence and associated factors in the southeast Asian population. Chron Respir Dis. (2018) 15:250–7. doi: 10.1177/1479972317743759
23.
Damluji AA Alfaraidhy M AlHajri N Rohant NN Kumar M Al Malouf C et al . Sarcopenia and cardiovascular diseases. Circulation. (2023) 147:1534–53. doi: 10.1161/CIRCULATIONAHA.123.064071
24.
Foreman J Salim AT Praveen A Fonseka D Ting DSW Guang He M et al . Association between digital smart device use and myopia: a systematic review and meta-analysis. Lancet Digit Health. (2021) 3:e806–18. doi: 10.1016/S2589-7500(21)00135-7
25.
Chua JR Albay AB Jr Tee ML . Body composition of Filipino chronic obstructive pulmonary disease (COPD) patients in relation to their lung function, exercise capacity and quality of life. Int J Chron Obstruct Pulmon Dis. (2019) 14:2759–65. doi: 10.2147/COPD.S222809
26.
Higgins JP Thompson SG Deeks JJ Altman DG . Measuring inconsistency in meta-analyses. BMJ. (2003) 327:557–60. doi: 10.1136/bmj.327.7414.557
27.
Borenstein M . Research note: in a meta-analysis, the I(2) index does not tell us how much the effect size varies across studies. J Phys. (2020) 66:135–9. doi: 10.1016/j.jphys.2020.02.011
28.
Borenstein M . Avoiding common mistakes in meta-analysis: understanding the distinct roles of Q, I-squared, tau-squared, and the prediction interval in reporting heterogeneity. Res Synth Methods. (2024) 15:354–68. doi: 10.1002/jrsm.1678
29.
Byun MK Cho EN Chang J Ahn CM Kim HJ . Sarcopenia correlates with systemic inflammation in COPD. Int J Chron Obstruct Pulmon Dis. (2017) 12:669–75. doi: 10.2147/COPD.S130790
30.
Chua JR Tee ML . Association of sarcopenia with osteoporosis in patients with chronic obstructive pulmonary disease. Osteoporos Sarcopenia. (2020) 6:129–32. doi: 10.1016/j.afos.2020.07.004
31.
Chung JH Hwang HJ Han CH Son BS Kim DH Park MS . Association between sarcopenia and metabolic syndrome in chronic obstructive pulmonary disease: the Korea National Health and nutrition examination survey (KNHANES) from 2008 to 2011. COPD. (2015) 12:82–9. doi: 10.3109/15412555.2014.908835
32.
Costa TM Costa FM Moreira CA Rabelo LM Boguszewski CL Borba VZ . Sarcopenia in COPD: relationship with COPD severity and prognosis. J Bras Pneumol. (2015) 41:415–21. doi: 10.1590/S1806-37132015000000040
33.
de Blasio F Di Gregorio A de Blasio F Bianco A Bellofiore B Scalfi L . Malnutrition and sarcopenia assessment in patients with chronic obstructive pulmonary disease according to international diagnostic criteria, and evaluation of raw BIA variables. Respir Med. (2018) 134:1–5. doi: 10.1016/j.rmed.2017.11.006
34.
Deng M Yan L Tong R Zhao J Li Y Yin Y et al . Ultrasound assessment of the rectus Femoris in patients with chronic obstructive pulmonary disease predicts sarcopenia. Int J Chron Obstruct Pulmon Dis. (2022) 17:2801–10. doi: 10.2147/COPD.S386278
35.
Jiang Q Ma Z Sun J Li Y . Association of dietary inflammatory indices with sarcopenia and all-cause mortality in COPD patients. Front Nutr. (2024) 11:1395170. doi: 10.3389/fnut.2024.1395170
36.
Jones SE Maddocks M Kon SSC Canavan JL Nolan CM Clark AL et al . Sarcopenia in COPD: prevalence, clinical correlates and response to pulmonary rehabilitation. Thorax. (2025) 70:213–8. doi: 10.1136/thoraxjnl-2014-206440
37.
Lee D-W Choi E-Y . Sarcopenia as an independent risk factor for decreased BMD in COPD patients: Korean national health and nutrition examination surveys IV and V (2008-2011). PLoS One. (2016) 11:1395170. doi: 10.1371/journal.pone.0164303
38.
Leem AY Kim YS Chung KS Park MS Kang YA Park YM et al . Sarcopenia is associated with cardiovascular risk in men with COPD, independent of adiposity. Respir Res. (2022) 23:185. doi: 10.1186/s12931-022-02109-3
39.
Lin B Bai L Wang S Lin H . The Association of Systemic Interleukin 6 and interleukin 10 levels with sarcopenia in elderly patients with chronic obstructive pulmonary disease. Int J Gen Med. (2021) 14:5893–902. doi: 10.2147/IJGM.S321229
40.
Martínez-Luna N Orea-Tejeda A González-Islas D Flores-Cisneros L Keirns-Davis C Sánchez-Santillán R et al . Association between body composition, sarcopenia and pulmonary function in chronic obstructive pulmonary disease. BMC Pulm Med. (2022) 22:106. doi: 10.1186/s12890-022-01907-1
41.
Poberezhets V Skoczyński S Demchuk A Oraczewska A Tobiczyk E Mostovoy Y et al . Sarcopenia in COPD patients: prevalence, patients’ characteristics and predictive factors. Pneumon. (2021) 34:6. doi: 10.18332/pne/135711
42.
Yogesh M Dave AK Patel SS Parbat R Shah V Gandhi R . Association between sarcopenia and chronic renal failure (overt and concealed) in chronic obstructive pulmonary disease (COPD) patients: a cross-sectional study. Cureus J Med Sci. (2023) 15:e46870. doi: 10.7759/cureus.46870
43.
Yogesh M Patel J Makwana N Mody M . The triad of physiological challenges: investigating the intersection of sarcopenia, malnutrition, and malnutrition-sarcopenia syndrome in patients with COPD - a cross-sectional study. BMC Pulm Med. (2024) 24:71. doi: 10.1186/s12890-024-02884-3
44.
Tsekoura M Tsepis E Billis E Gliatis J . Sarcopenia in patients with chronic obstructive pulmonary disease: a study of prevalence and associated factors in Western Greek population. Lung India. (2020) 37:479–84. doi: 10.4103/lungindia.lungindia_143_20
45.
Fujita K Ohkubo H Nakano A Mori Y Fukumitsu K Fukuda S et al . Frequency and impact on clinical outcomes of sarcopenia in patients with idiopathic pulmonary fibrosis. Chron Respir Dis. (2022) 19:1–10. doi: 10.1177/14799731221117298
46.
Fujita K Ohkubo H Nakano A Takeda N Fukumitsu K Fukuda S et al . Serum creatinine/cystatin C ratio is a surrogate marker for sarcopenia in patients with idiopathic pulmonary fibrosis. BMC Pulm Med. (2022) 22:203. doi: 10.1186/s12890-022-02000-3
47.
Ohkubo H Fujita K Nakano A Amakusa Y Mori Y Fukumitsu K et al . SARC-F scores can predict health status and daily activity in patients with idiopathic pulmonary fibrosis. J Thorac Dis. (2022) 14:4309–18. doi: 10.21037/jtd-22-813
48.
Hanada M Sakamoto N Ishimoto H Kido T Miyamura T Oikawa M et al . A comparative study of the sarcopenia screening in older patients with interstitial lung disease. BMC Pulm Med. (2022) 22:45. doi: 10.1186/s12890-022-01840-3
49.
Jeeshitha M Maikap D Padhan P Mishra J Singh P . Prevalence of sarcopenia in connective tissue disease associated interstitial lung diseases: a single-Centre study from India. Mediterr J Rheumatol. (2024) 35:617–22. doi: 10.31138/mjr.260423.pof
50.
Chen LK Liu LK Woo J Assantachai P Auyeung TW Bahyah KS et al . Sarcopenia in Asia: consensus report of the Asian working Group for Sarcopenia. J Am Med Dir Assoc. (2014) 15:95–101. doi: 10.1016/j.jamda.2013.11.025
51.
Cruz-Jentoft AJ Baeyens JP Bauer JM Boirie Y Cederholm T Landi F et al . Sarcopenia: European consensus on definition and diagnosis: report of the European working group on sarcopenia in older people. Age Ageing. (2010) 39:412–23. doi: 10.1093/ageing/afq034
52.
Sheehy R McCormack S Fermoyle C Corte T . Sarcopenia in interstitial lung disease. Eur Respir Rev. (2024) 33:240126. doi: 10.1183/16000617.0126-2024
53.
He J Li H Yao J Wang Y . Prevalence of sarcopenia in patients with COPD through different musculature measurements: an updated meta-analysis and meta-regression. Front Nutr. (2023) 10:1137371. doi: 10.3389/fnut.2023.1137371
54.
Yang JC Liu M Huang RH Zhao L Niu QJ Xu ZJ et al . Loss of SELENOW aggravates muscle loss with regulation of protein synthesis and the ubiquitin-proteasome system. Sci Adv. (2024) 10:1–15. doi: 10.1126/sciadv.adj4122
55.
Picca A Calvani R . Molecular mechanism and pathogenesis of sarcopenia: an overview. Int J Mol Sci. (2021) 22:3032. doi: 10.3390/ijms22063032
56.
Maltais F Decramer M Casaburi R Barreiro E Burelle Y Debigaré R et al . An official American Thoracic Society/European Respiratory Society statement: update on limb muscle dysfunction in chronic obstructive pulmonary disease. Am J Respir Crit Care Med. (2014) 189:e15–62. doi: 10.1164/rccm.201402-0373ST
57.
Chiles JW 3rd Wilson AC Tindal R Lavin K Windham S Rossiter HB et al . Differentially co-expressed myofibre transcripts associated with abnormal myofibre proportion in chronic obstructive pulmonary disease. J Cachexia Sarcopenia Muscle. (2024) 15:1016–29. doi: 10.1002/jcsm.13473
58.
Duckworth A Gibbons MA Allen RJ Almond H Beaumont RN Wood AR et al . Telomere length and risk of idiopathic pulmonary fibrosis and chronic obstructive pulmonary disease: a mendelian randomisation study. Lancet Respir Med. (2021) 9:285–94. doi: 10.1016/S2213-2600(20)30364-7
59.
Fernández-Jiménez R Cabrera-Cesar E Sanmartín-Sánchez A Sánchez-Garcia A Espildora-Hernandez F Vegas-Aguilar I et al . Rectus femoris cross sectional area and timed up and go test potential useful of as a predictor of sarcopenia and mortality in idiopathic pulmonary fibrosis. Front Nutr. (2024) 11:1440402. doi: 10.3389/fnut.2024.1440402
60.
Awano N Inomata M Kuse N Tone M Yoshimura H Jo T et al . Quantitative computed tomography measures of skeletal muscle mass in patients with idiopathic pulmonary fibrosis according to a multidisciplinary discussion diagnosis: a retrospective nationwide study in Japan. Respir Investig. (2020) 58:91–101. doi: 10.1016/j.resinv.2019.11.002
61.
Attaway AH Welch N Hatipoğlu U Zein JG Dasarathy S . Muscle loss contributes to higher morbidity and mortality in COPD: an analysis of national trends. Respirology. (2021) 26:62–71. doi: 10.1111/resp.13877
62.
Perrot L Greil A Boirie Y Farigon N Mulliez A Costes F et al . Prevalence of sarcopenia and malnutrition during acute exacerbation of COPD and after 6 months recovery. Eur J Clin Nutr. (2020) 74:1556–64. doi: 10.1038/s41430-020-0623-6
63.
Batsis JA Villareal DT . Sarcopenic obesity in older adults: aetiology, epidemiology and treatment strategies. Nat Rev Endocrinol. (2018) 14:513–37. doi: 10.1038/s41574-018-0062-9
64.
Beaudart C McCloskey E Bruyère O Cesari M Rolland Y Rizzoli R et al . Sarcopenia in daily practice: assessment and management. BMC Geriatr. (2016) 16:170. doi: 10.1186/s12877-016-0349-4
65.
Sakamoto R . Aging in Southeast Asia and Japan: challenges and opportunities. Geriatr Gerontol Int. (2025) 25:837–54. doi: 10.1111/ggi.70062
66.
Pan L Cheng Y Yang W Wu X Zhu H Hu M et al . Nintedanib ameliorates bleomycin-induced pulmonary fibrosis, inflammation, apoptosis, and oxidative stress by modulating PI3K/Akt/mTOR pathway in mice. Inflammation. (2023) 46:1531–42. doi: 10.1007/s10753-023-01825-2
67.
Huang Y Niu Y Wang X Li X He Y Liu X . Identification of novel biomarkers related to neutrophilic inflammation in COPD. Front Immunol. (2024) 15:1410158. doi: 10.3389/fimmu.2024.1410158
68.
Guler S Sarbu AC Stalder O Allanore Y Bernardino V Distler J et al . Phenotyping by persistent inflammation in systemic sclerosis associated interstitial lung disease: a EUSTAR database analysis. Thorax. (2023) 78:1188–96. doi: 10.1136/thorax-2023-220541
69.
Khor YH Gutman L Abu Hussein N Johannson KA Glaspole IN Guler SA et al . Incidence and prognostic significance of hypoxemia in fibrotic interstitial lung disease: an international cohort study. Chest. (2021) 160:994–1005. doi: 10.1016/j.chest.2021.04.037
70.
Della Latta V Cabiati M Rocchiccioli S Del Ry S Morales MA . The role of the adenosinergic system in lung fibrosis. Pharmacol Res. (2013) 76:182–9. doi: 10.1016/j.phrs.2013.08.004
71.
Abbasi A Wang D Stringer WW Casaburi R Rossiter HB . Immune system benefits of pulmonary rehabilitation in chronic obstructive pulmonary disease. Exp Physiol. (2024). 1–18. doi: 10.1113/EP091678
72.
Constantin D Menon MK Houchen-Wolloff L Morgan MD Singh SJ Greenhaff P et al . Skeletal muscle molecular responses to resistance training and dietary supplementation in COPD. Thorax. (2013) 68:625–33. doi: 10.1136/thoraxjnl-2012-202764
73.
Fiksdal A Hanlin L Kuras Y Gianferante D Chen X Thoma MV et al . Associations between symptoms of depression and anxiety and cortisol responses to and recovery from acute stress. Psychoneuroendocrinology. (2019) 102:44–52. doi: 10.1016/j.psyneuen.2018.11.035
74.
Peeters GM Schoor NM van Rossum EF Visser M Lips P The relationship between cortisol, muscle mass and muscle strength in older persons and the role of genetic variations in the glucocorticoid receptor Clin Endocrinol (2008). 69673–682 doi: 10.1111/j.1365-2265.2008.03212.x PMID:
75.
da Rocha M Lemos Costa T Costa FM Jonasson TH Moreira CA Boguszewski CL et al . Body composition and sarcopenia in patients with chronic obstructive pulmonary disease. Endocrine. (2018) 60:95–102. doi: 10.1007/s12020-018-1533-4
76.
Ko FW Chan KP Hui DS Goddard JR Shaw JG Reid DW et al . Acute exacerbation of COPD. Respirology. (2016) 21:1152–65. doi: 10.1111/resp.12780
77.
Luo X Xiang F . Acute exacerbation of idiopathic pulmonary fibrosis a narrative review primary focus on treatments. J Thorac Dis. (2024) 16:4727–41. doi: 10.21037/jtd-23-1565
78.
Suzuki A Kondoh Y Brown KK Johkoh T Kataoka K Fukuoka J et al . Acute exacerbations of fibrotic interstitial lung diseases. Respirology. (2020) 25:525–34. doi: 10.1111/resp.13682
79.
Kim KM Oh HT Do Y Yoo GD Heo W Park J et al . Transcriptional co-activator with PDZ binding motif (TAZ) inhibits dexamethasone-induced muscle atrophy via mTOR Signalling. J Cachexia Sarcopenia Muscle. (2025) 16:e13790. doi: 10.1002/jcsm.13790
Summary
Keywords
sarcopenia, end-stage lung disease, prevalence, systematic review, meta-analysis
Citation
Sheng L, Gu P, Cai L, Zhu Y, Dong M and Zeng F (2025) Sarcopenia in end-stage lung disease patients: a systematic review and meta-analysis. Front. Med. 12:1640027. doi: 10.3389/fmed.2025.1640027
Received
12 June 2025
Accepted
18 September 2025
Published
03 October 2025
Volume
12 - 2025
Edited by
Francisco Epelde, Parc Taulí Foundation, Spain
Reviewed by
Georgios Spyropoulos, 424 General Military Hospital, Greece
Giuseppe Enea, Mediterranean Institute for Transplantation and Highly Specialized Therapies (ISMETT), Italy
Updates
Copyright
© 2025 Sheng, Gu, Cai, Zhu, Dong and Zeng.
This is an open-access article distributed under the terms of the Creative Commons Attribution License (CC BY). The use, distribution or reproduction in other forums is permitted, provided the original author(s) and the copyright owner(s) are credited and that the original publication in this journal is cited, in accordance with accepted academic practice. No use, distribution or reproduction is permitted which does not comply with these terms.
*Correspondence: Fei Zeng, zengfei@zju.edu.cn
Disclaimer
All claims expressed in this article are solely those of the authors and do not necessarily represent those of their affiliated organizations, or those of the publisher, the editors and the reviewers. Any product that may be evaluated in this article or claim that may be made by its manufacturer is not guaranteed or endorsed by the publisher.