ORIGINAL RESEARCH article
Front. Med.
Sec. Ophthalmology
This article is part of the Research TopicMyopia in Childhood and AdolescenceView all 16 articles
Prediction of Myopia Onset and Shift in Premyopic School-Aged Children: A Machine Learning-Based Algorithm
Provisionally accepted- Second Affiliated Hospital of Dalian Medical University, Dalian, China
Select one of your emails
You have multiple emails registered with Frontiers:
Notify me on publication
Please enter your email address:
If you already have an account, please login
You don't have a Frontiers account ? You can register here
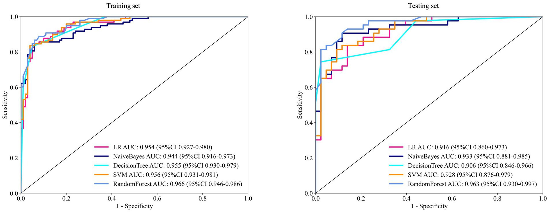
Purpose: To investigate longitudinal changes in ocular parameters and develop a machine learning-based model for predicting myopia onset and shift within one year in school-aged premyopic children. Methods: This prospective cohort study enrolled 320 premyopic children aged 6–12 years from the Ophthalmology Clinic of The Second Affiliated Hospital of Dalian Medical University. Uncorrected visual acuity (logMAR), cycloplegic spherical equivalent (SE), axial length (AL), average corneal curvature (CC) and subfoveal choroidal thickness (SFCT) were measured at baseline and 6-month intervals for 12 months. Premyopia was defined as - 0.50 D < SE ≤+ 0.75 D. Multivariable analysis evaluated predictive factors including age, gender, parental myopia, baseline SE, AL, CC, axial length/corneal radius (AL/CR), and SFCT. Machine learning algorithms were employed to predict 1-year myopia onset and myopia shift, along with Shapley Additive exPlanations (SHAP) interpretation. Results: Among 284 participants (88.8% retention rate), 141 children (49.3%) developed myopia. The cohort exhibited an annual SE progression of -0.695 ± 0.222 D and AL elongation of 0.356 ± 0.122 mm. The AL/CR increased from 2.986 ± 0.061 to 3.029 ± 0.072 (p < 0.001), while SFCT demonstrated a significant reduction of 21.535 ± 9.731 μm (p < 0.001). The optimal model achieved an AUC-ROC of 0.963 (95% CI: 0.930-0.997) for myopia onset prediction, with baseline SE emerging as the most significant predictor, followed by parental myopia, SFCT, and age. Meanwhile, our algorithm also achieved clinically acceptable one-year predictions of SE. Conclusion: Premyopic children exhibited accelerated myopic progression. Our machine learning-based predictive models showed promising performance for myopia onset and myopia shift, providing clinically valuable risk stratification for targeted prevention strategies.
Keywords: premyopia, Myopic progression, Subfoveal choroidal thickness, machine learning, Prediction model
Received: 13 Jun 2025; Accepted: 24 Oct 2025.
Copyright: © 2025 Gao, Hou, lu, Shi and Zhao. This is an open-access article distributed under the terms of the Creative Commons Attribution License (CC BY). The use, distribution or reproduction in other forums is permitted, provided the original author(s) or licensor are credited and that the original publication in this journal is cited, in accordance with accepted academic practice. No use, distribution or reproduction is permitted which does not comply with these terms.
* Correspondence: Qi Zhao, zhaoqidmu@126.com
Disclaimer: All claims expressed in this article are solely those of the authors and do not necessarily represent those of their affiliated organizations, or those of the publisher, the editors and the reviewers. Any product that may be evaluated in this article or claim that may be made by its manufacturer is not guaranteed or endorsed by the publisher.
