ORIGINAL RESEARCH article
Front. Med.
Sec. Pathology
Establishing a nomogram on the risk of pathological escalation of intestinal intraepithelial neoplasia in patients with colorectal intraepithelial neoplasia: a retrospective study
Provisionally accepted- 1The Fourth Affiliated Hospital of Anhui Medical University,, Hefei, China
- 2The First Affiliated Hospital of Anhui Medical University, Hefei, China
Select one of your emails
You have multiple emails registered with Frontiers:
Notify me on publication
Please enter your email address:
If you already have an account, please login
You don't have a Frontiers account ? You can register here
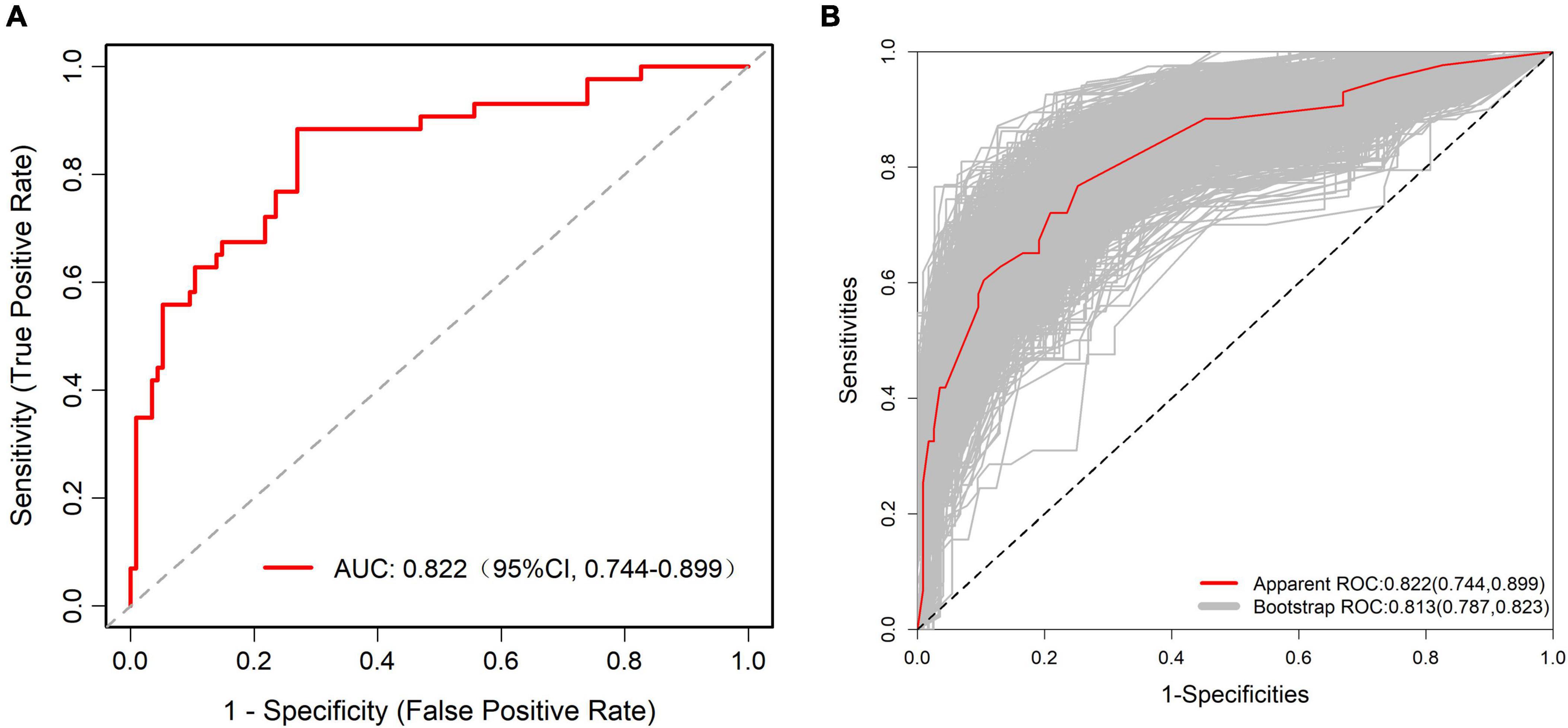
Objectives To develop and validate a predictive model estimating the likelihood of pathological upgrading in patients with colorectal intraepithelial neoplasia (IN). Methods Using data from 158 patients with colorectal IN confirmed by endoscopic biopsy, we employed Least Absolute Shrinkage and Selection Operator (LASSO) regression followed by multivariate logistic regression to identify key predictive factors. A nomogram was constructed based on the selected variables.The performance of these models was assessed using calibration curves, the area under the receiver operating characteristic curve (AUC), and the Hosmer-Lemeshow goodness-of-fit test. Furthermore, decision curve analysis (DCA) was utilized to evaluate the practical utility of the models, thereby exploring their potential clinical applications. Results Four variables—rectal location, surface erosion, lesion size ≥30 mm, and villous histology—were incorporated into the nomogram. The model demonstrated strong discrimination (AUC = 0.822; 95% CI: 0.744–0.899) and good calibration (Hosmer–Lemeshow χ² = 1.731, p = 0.973). Internal validation yielded a consistent AUC of 0.813. DCA confirmed the model's broad clinical utility. Conclusion This nomogram accurately predicts pathological upgrading in colorectal IN, allowing clinicians to identify high-risk patients early and tailor management accordingly.
Keywords: Predictive mode1, Nomogram 2, Colorectal intraepithelial neoplasia3, Pathologicalupgrade4, Risk factor5
Received: 05 Aug 2025; Accepted: 17 Nov 2025.
Copyright: © 2025 Zhang, Lu, Wu and Jin. This is an open-access article distributed under the terms of the Creative Commons Attribution License (CC BY). The use, distribution or reproduction in other forums is permitted, provided the original author(s) or licensor are credited and that the original publication in this journal is cited, in accordance with accepted academic practice. No use, distribution or reproduction is permitted which does not comply with these terms.
* Correspondence: Liang Lu, 1986764568@qq.com
Disclaimer: All claims expressed in this article are solely those of the authors and do not necessarily represent those of their affiliated organizations, or those of the publisher, the editors and the reviewers. Any product that may be evaluated in this article or claim that may be made by its manufacturer is not guaranteed or endorsed by the publisher.
