ORIGINAL RESEARCH article
Front. Med.
Sec. Intensive Care Medicine and Anesthesiology
This article is part of the Research TopicComputational Model-Based Clinical Decision Support Tools for Hospitalized PatientsView all 3 articles
Efficacy and validation of a clinical model to predict acute kidney injury in severe pneumonia requiring mechanical ventilation in the elderly patients: A multi center retrospective observational analysis
Provisionally accepted- 1Intensive Care Unit, The Second People’s Hospital of Hefei, Hefei Hospital Affiliated to Anhui Medical University, Hefei, China
- 2Intensive Care Unit, First Affiliated Hospital of Anhui University of Chinese Medicine, Hefei, China
- 3The Second Clinical Medical School, Anhui University of Chinese Medicine, Hefei, China
- 4Institute of Artificial Intelligence, Hefei Comprehensive National Science Center, Hefei, China
- 5School of Medicine, Xian Jiaotong University, Xi'an, China
- 6Department of Colorectum, First Affiliated Hospital of Anhui University of Chinese Medicine, Hefei, China
Select one of your emails
You have multiple emails registered with Frontiers:
Notify me on publication
Please enter your email address:
If you already have an account, please login
You don't have a Frontiers account ? You can register here
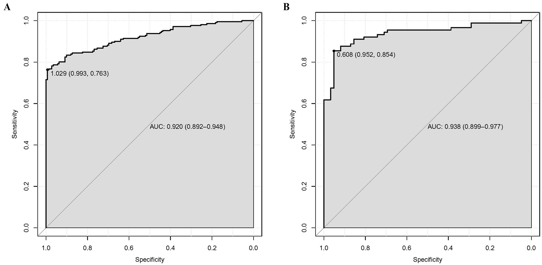
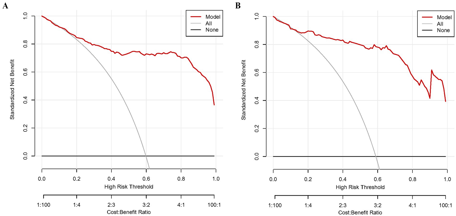
Background The objective of our retrospective multi center analysis was to identify risk factors and construct a statistical model for predicting acute kidney injury (AKI) among patients who already have severe pneumonia requiring mechanical ventilation (SPRMV) in the elderly patients with in different intensive care units (ICU). AKI SPRMV Methods We utilized a multi-center retrospective analysis, including 353 cases of SPRMV patients diagnosed and treated in the ICU of the Hefei Second People's Hospital between May 2018 and February 2025 as training dataset, and 151 participates were admitted the ICU of the First Affiliated Hospital of Anhui Medical University between June 2020 and March 2025 considered as validation dataset. Both univariate and multivariate logistic regression analysis were utilized to investigate the risk factors of SPRMV with AKI. After that, our predictive model was evaluated by nomogram, receiver operating characteristic (ROC) curve for discrimination of the predictive model, calibration curves and decision curve analysis (DCA) curves for clinical validity. Results Our multivariate logistic regression analysis indicated that CREA, SOFA, APACHE II, driving pressure, mechanical kinetic energy, CRP/ALB and MAP are independent risk factors of SPRMV in the elderly patients with AKI. A nomogram of SPRMV in the elderly patients with AKI was constructed. The ROC curve revealed that our predictive model showed the good predictive efficacy with an area under curve (AUC) of 0.920 (95% confidence intervals (CI) = 0.892-0.948) with a specificity of 0.993 and sensitivity of 0.763 in training dataset, and an AUC value of 0.938 (95%CI = 0.899-0.977) with a specificity of 0.952 and sensitivity of 0.854 in validation dataset. Moreover, calibration and DCA curves demonstrated that our predictive model had a good fit, better net benefit and predictive efficiency of SPRMV in the elderly patients with AKI. Conclusions Our predictive model demonstrated that CREA, SOFA, APACHE II, driving pressure, mechanical kinetic energy, CRP/ALB and MAP were the independent risk factors of AKI in SPRMV in the elderly patients with high accuracy and good calibration.
Keywords: severe pneumonia requiring mechanical ventilation, Acute Kidney Injury, predictive model, Risk factors, nomogram
Received: 13 Aug 2025; Accepted: 17 Nov 2025.
Copyright: © 2025 Yao, Zhao, Fang, Ma, Ding, Chen, Li, Fu, Zhan, Ling and Wang. This is an open-access article distributed under the terms of the Creative Commons Attribution License (CC BY). The use, distribution or reproduction in other forums is permitted, provided the original author(s) or licensor are credited and that the original publication in this journal is cited, in accordance with accepted academic practice. No use, distribution or reproduction is permitted which does not comply with these terms.
* Correspondence: Li Yao, ylirn189@163.com
Disclaimer: All claims expressed in this article are solely those of the authors and do not necessarily represent those of their affiliated organizations, or those of the publisher, the editors and the reviewers. Any product that may be evaluated in this article or claim that may be made by its manufacturer is not guaranteed or endorsed by the publisher.
