ORIGINAL RESEARCH article
Front. Med.
Sec. Obstetrics and Gynecology
Building a predictive model for pregnancy outcomes in ART patients based on AMH, FORT, HCG day EMT, and clinical characteristics
Provisionally accepted- People's Liberation Army Air Force Special Medical Center, Beijing, China
Select one of your emails
You have multiple emails registered with Frontiers:
Notify me on publication
Please enter your email address:
If you already have an account, please login
You don't have a Frontiers account ? You can register here
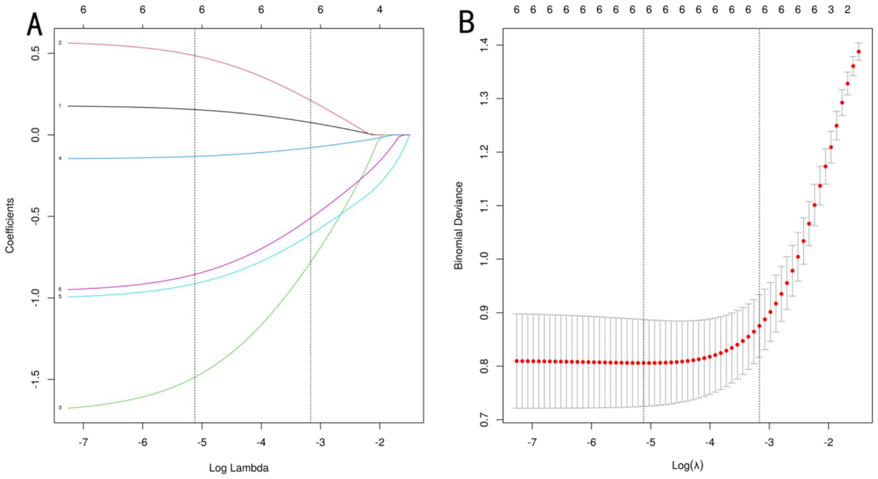
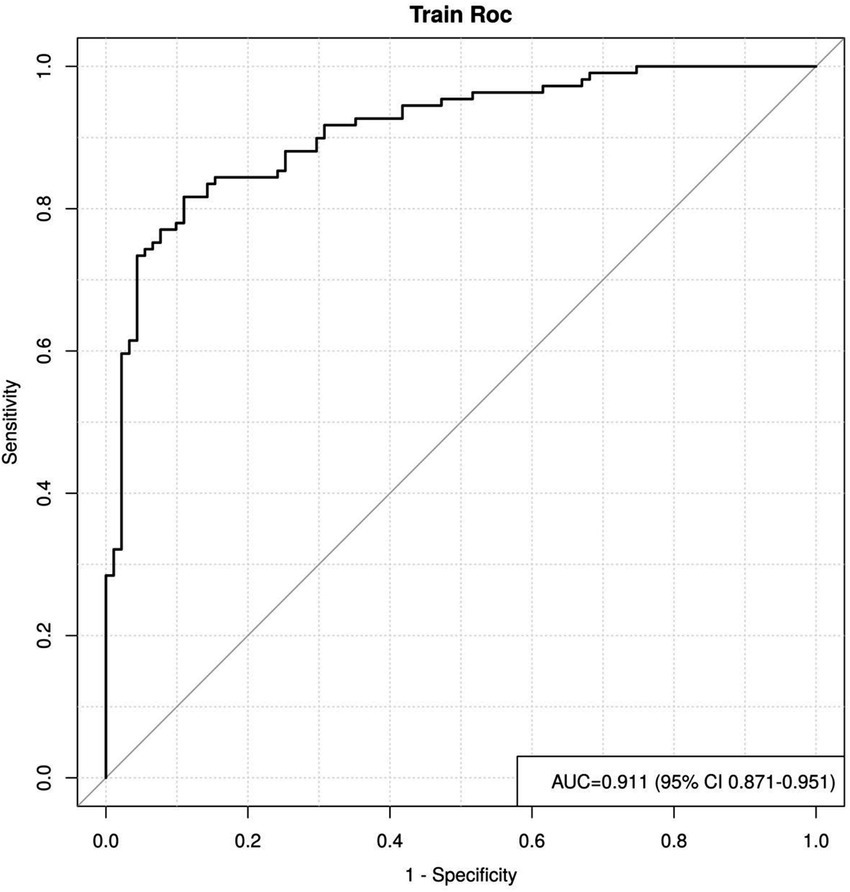
Objective: Develop a model predicting ART pregnancy outcomes using HCG-day endometrial thickness (EMT), follicle output rate (FORT), anti-Müllerian hormone (AMH), and clinical features. Methods: Retrospective study of 200 ART patients (Aug 2019-Aug 2024). Patients were grouped by clinical pregnancy outcome (91 pregnant, 109 non-pregnant). LASSO regression and XGBoost (max_depth=6, learning_rate=0.3, n_estimators=100) identified predictors via "overlap coverage." Significant factors underwent multivariate logistic regression to build a predictive nomogram model. Results: Age (OR=1.196, p<0.05) and BMI (OR=1.777, p<0.05) were risk factors for non-pregnancy. Protective factors included retrieved oocytes (OR=0.366), HCG-day EMT (OR=0.382), AMH (OR=0.182), and FORT (OR=0.862) (all p<0.05). The nomogram model demonstrated strong discrimination (AUC=0.911, 95% CI: 0.871–0.951). Bootstrap validation (1,000 reps) confirmed good fit (Cox-Snell R²=0.629; Nagelkerke R²=0.471; Brier=0.117; p=0.240). Decision curve analysis indicated significant clinical net benefit. Conclusion: Key predictors of ART pregnancy outcomes are age, BMI, retrieved oocytes, HCG-day EMT, AMH, and FORT. The validated nomogram model aids in early identification of high-risk patients and optimizing treatment strategies.
Keywords: Assisted Reproductive Technology, pregnancy outcomes, Human Chorionic Gonadotropin, Endometrial thickness, Serum anti-Müllerian hormone, follicle output rate
Received: 05 Sep 2025; Accepted: 28 Oct 2025.
Copyright: © 2025 Zhang, Liu, Bai and Wang. This is an open-access article distributed under the terms of the Creative Commons Attribution License (CC BY). The use, distribution or reproduction in other forums is permitted, provided the original author(s) or licensor are credited and that the original publication in this journal is cited, in accordance with accepted academic practice. No use, distribution or reproduction is permitted which does not comply with these terms.
* Correspondence: Lei Zhang, dongrl1023@163.com
Disclaimer: All claims expressed in this article are solely those of the authors and do not necessarily represent those of their affiliated organizations, or those of the publisher, the editors and the reviewers. Any product that may be evaluated in this article or claim that may be made by its manufacturer is not guaranteed or endorsed by the publisher.
