ORIGINAL RESEARCH article
Front. Med.
Sec. Gastroenterology
This article is part of the Research TopicThe link between the Western diet and Inflammatory Bowel Disease (IBD)View all 4 articles
Association Between Serum Total Cholesterol Levels and Crohn's Clinical Disease Severity: A Retrospective Cross-Sectional Study
Provisionally accepted- 1Seventh Affiliated Hospital, Sun Yat-sen University, Shenzhen, China
- 2Zhongshan Hospital Xiamen University, Xiamen, China
Select one of your emails
You have multiple emails registered with Frontiers:
Notify me on publication
Please enter your email address:
If you already have an account, please login
You don't have a Frontiers account ? You can register here
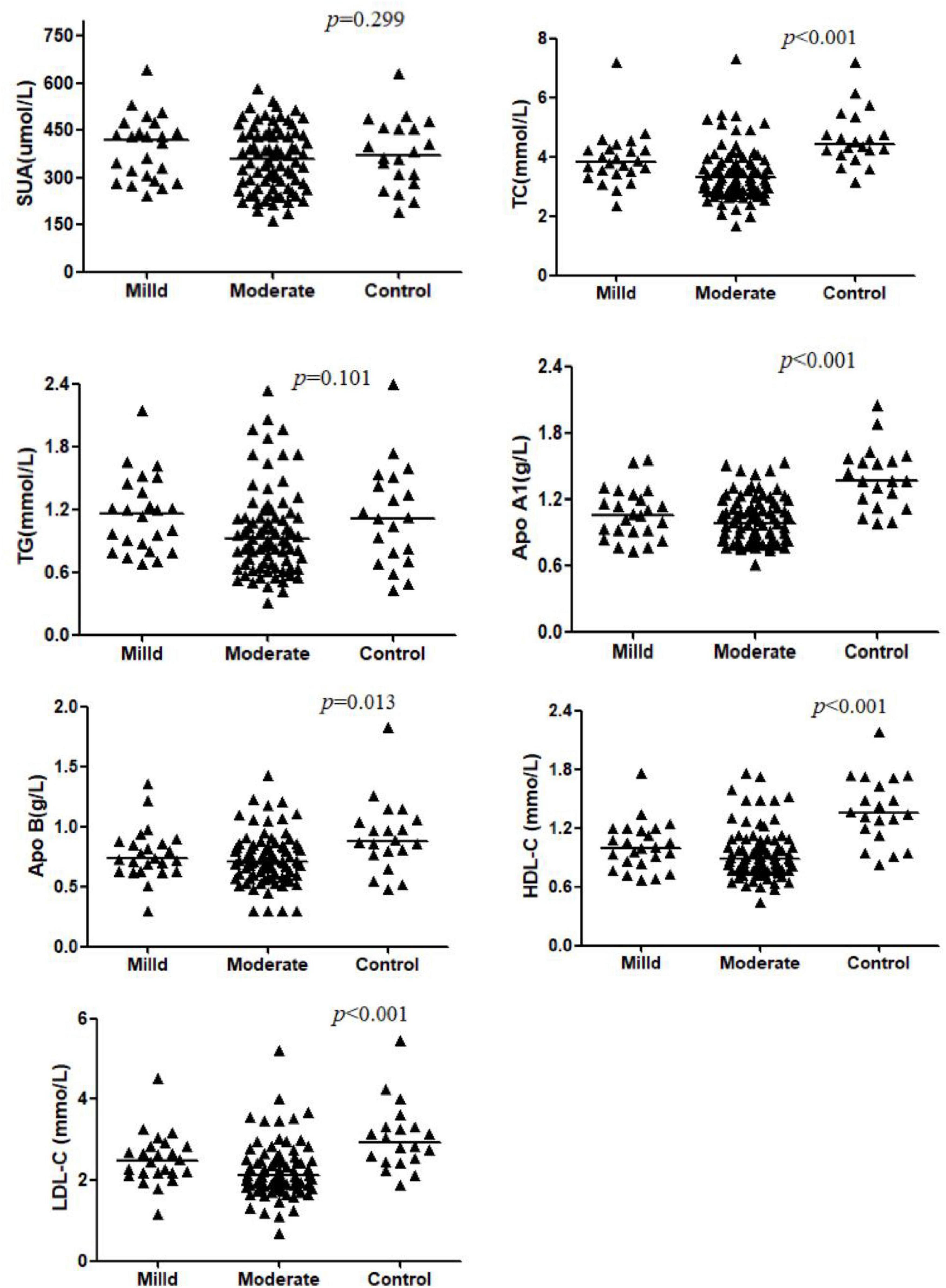
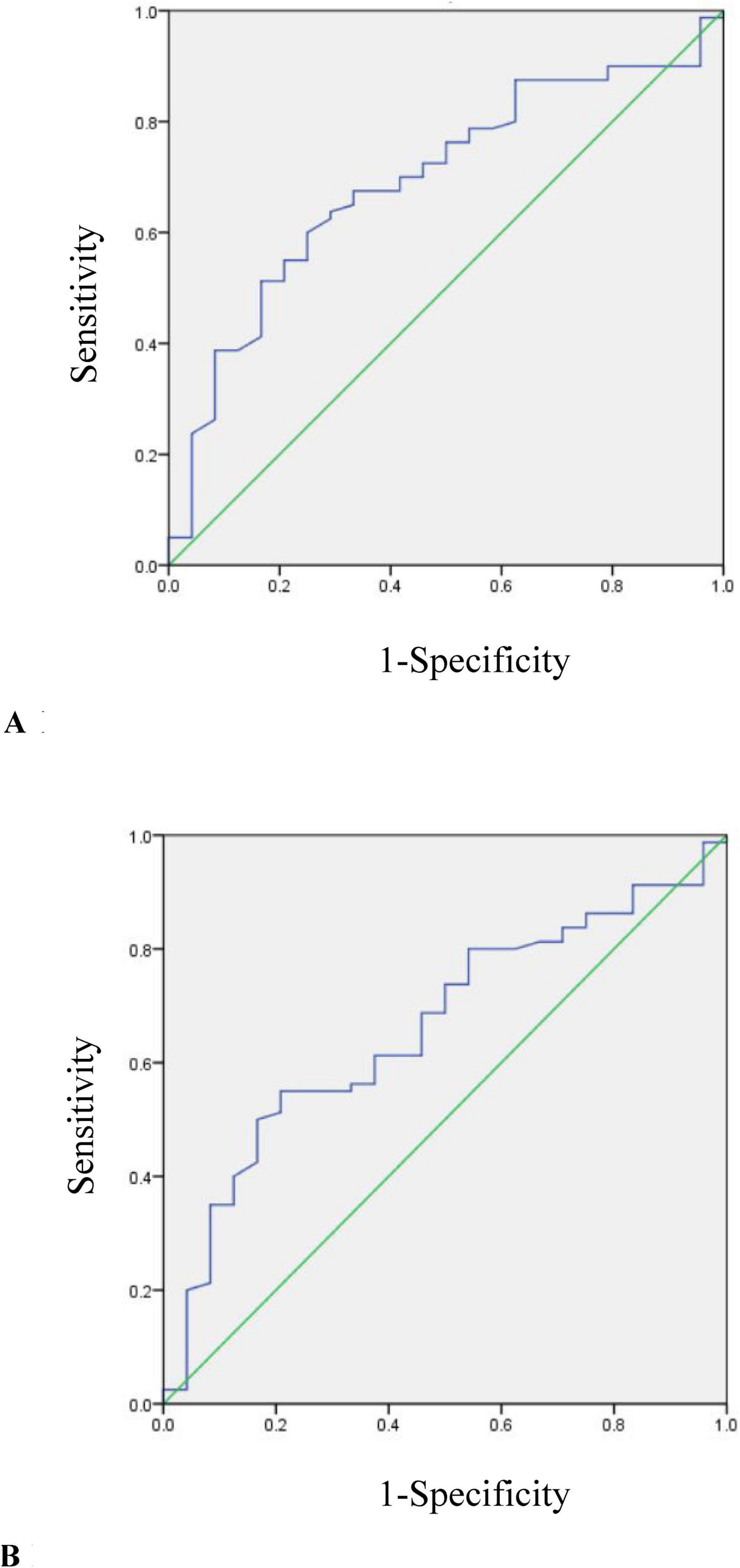
Background: This retrospective cross-sectional study aimed to investigate the relationship between serum total cholesterol (TC) levels and the clinical activity of Crohn's disease (CD). Methods: One hundred and four patients with Crohn's disease (CD) and twenty healthy volunteers were included in the analysis. Serum uric acid (SUA) levels and indicators related to lipid metabolism were measured within one week before undergoing endoscopic and CT enterography (CTE) examinations. Patients were divided into groups based on their Crohn's Disease Activity Index (CDAI) scores. Results: Patients were categorized into mild and moderate groups, with no patients meeting the criteria for severe CD. The serum uric acid (SUA) and triglyceride (TG) levels were similar between CD patients and the control group (p>0.05). However, the levels of total cholesterol (TC), apolipoprotein A1 (apo A1), apolipoprotein B (apo B), high-density lipoprotein cholesterol (HDL-C), and low-density lipoprotein cholesterol (LDL-C) were higher in the control group (p<0.05). The TC and LDL-C levels were lower in the moderate patients compared to those in mild group(p<0.05). TC≤3.5 mmol/L was identified as an independent risk factor for more severe disease (OR=4.50, 95%CI 1.612-12.561, p=0.004). TC levels were correlated to both CRP and CDAI scores negatively (p<0.05). Conclusions: TC may serve as a potential supplementary marker for clinical disease activity in CD, but further research, including longitudinal studies, is needed to confirm its reliability.
Keywords: Crohn's disease, CDAI scores, Serum total cholesterol, Clinical disease activity, supplementary marker
Received: 19 Sep 2025; Accepted: 06 Nov 2025.
Copyright: © 2025 Huang, Ni, Tang, Zhou, Hu, Liu, Ouyang and Xie. This is an open-access article distributed under the terms of the Creative Commons Attribution License (CC BY). The use, distribution or reproduction in other forums is permitted, provided the original author(s) or licensor are credited and that the original publication in this journal is cited, in accordance with accepted academic practice. No use, distribution or reproduction is permitted which does not comply with these terms.
* Correspondence: Mingcheng Huang, huangmch6@mail.sysu.edu.cn
Disclaimer: All claims expressed in this article are solely those of the authors and do not necessarily represent those of their affiliated organizations, or those of the publisher, the editors and the reviewers. Any product that may be evaluated in this article or claim that may be made by its manufacturer is not guaranteed or endorsed by the publisher.
