ORIGINAL RESEARCH article
Front. Med.
Sec. Intensive Care Medicine and Anesthesiology
A Nomogram for Predicting Intra-operative Conversion to Endotracheal Intubation During Non-intubated Spontaneous Ventilation Anaesthesia in Pulmonary Resection: Development of a Risk Prediction Model in Hypoxic and High-risk Patients
Provisionally accepted- 1Dali University, Dali, China
- 2Yunnan Cancer Hospital, Kunming, China
Select one of your emails
You have multiple emails registered with Frontiers:
Notify me on publication
Please enter your email address:
If you already have an account, please login
You don't have a Frontiers account ? You can register here
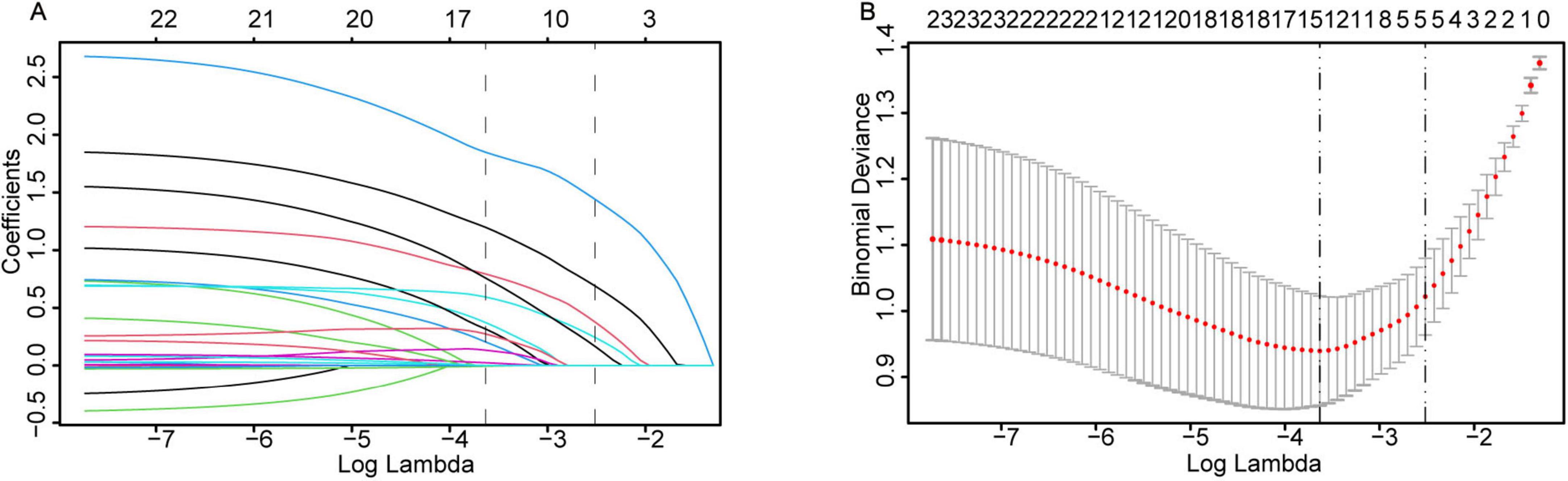
Background: Non-intubated spontaneous ventilation anaesthesia (NISVA) avoids complications associated with endotracheal intubation in pulmonary resection. However, intraoperative conversion to endotracheal intubation (IETI) occurs in significant numbers of patients. This study aimed to develop and validate a predictive model for IETI risk during NISVA -based pulmonary resection. Methods: This retrospective cohort study included 244 patients undergoing pulmonary resection under NISVA from January 2019 to December 2024. Patients were randomly divided into training (n=170) and validation (n=74) sets. Independent risk factors for IETI were identified using LASSO regression and multivariate logistic regression. A nomogram prediction model was constructed and validated using receiver operating characteristic (ROC) analysis, calibration curves, and decision curve analysis (DCA). Results: The IETI incidence was 45.49% (111/244). Five independent risk factors were identified: preoperative hypoxemia (OR=2.973, 95% CI: 1.249-7.340), surgical site (lower lobe) (OR=2.462, 95% CI: 1.055-5.827), Type of surgery (lobectomy) (OR=3.600, 95% CI: 1.575-8.559), difficult airway (OR=4.708, 95% CI: 1.984-11.87), and surgical duration ≥3 hours (OR=11.81, 95% CI: 4.617-33.96). The nomogram demonstrated excellent discrimination with AUCs of 0.889 (training) and 0.880 (validation). Calibration curves showed good agreement between predicted and observed probabilities. DCA indicated clinical utility across threshold probabilities of 5%-85%. Conclusions: This novel nomogram accurately predicts IETI risk during NISVA -based pulmonary resection, enabling individualized preoperative assessment and optimization of anesthesia strategies. The model shows potential for improving surgical safety and patient outcomes in non-intubated thoracic surgery.
Keywords: Non-intubated Spontaneous Ventilation Anaesthesia, Pulmonary resection, Intraoperative EndotrachealIntubation, Prediction model, nomogram, Risk Assessment, Non-intubated thoracic surgery
Received: 19 Sep 2025; Accepted: 13 Nov 2025.
Copyright: © 2025 Lin, Zhang, Chen, Mei, Zhu, Gao, Dong, Bao and Li. This is an open-access article distributed under the terms of the Creative Commons Attribution License (CC BY). The use, distribution or reproduction in other forums is permitted, provided the original author(s) or licensor are credited and that the original publication in this journal is cited, in accordance with accepted academic practice. No use, distribution or reproduction is permitted which does not comply with these terms.
* Correspondence: Bing Zhang, doctorbingzhang@126.com
Disclaimer: All claims expressed in this article are solely those of the authors and do not necessarily represent those of their affiliated organizations, or those of the publisher, the editors and the reviewers. Any product that may be evaluated in this article or claim that may be made by its manufacturer is not guaranteed or endorsed by the publisher.
