Abstract
Background:
To develop a risk assessment scale for infections caused by multidrug-resistant organisms (MDROs) in patients with critical illness and to evaluate its reliability and validity.
Methods:
An initial risk assessment scale for MDRO infections in patients with critical illness was developed by using a systematic literature review, the Delphi method, and the analytic hierarchy process. Data from 750 critically ill patients admitted to the intensive care unit (ICU) of a Grade A tertiary hospital in China between January 2019 and June 2025 were analyzed. The scale’s reliability and validity were assessed through exploratory factor analysis (n = 450) and confirmatory factor analysis (n = 300).
Results:
The risk assessment scale for MDRO infection in patients with critical illness comprised five dimensions and 20 items. The Cronbach’s alpha for the total scale was 0.873. The scale-level content validity index was 0.925, with the content validity indices for individual scale items ranging 0.875–1.000. Exploratory factor analysis enabled the extraction of five common factors, which accounted for 67.861% of the cumulative variance. Confirmatory factor analysis yielded χ2/DF = 1.912, RMSEA = 0.055, CFI = 0.945, TLI = 0.935, and GFI = 0.906. The predictive efficacy of the scale for MDRO infections was validated via ROC curve analysis, yielding an area under the curve (AUC) of 0.788, sensitivity of 0.741, and specificity of 0.707, indicating a robust overall discriminative capability.
Conclusion:
The risk assessment scale for MDRO infection in patients with critical illness demonstrated good reliability and validity, enabling the scientific and reliable assessment of patient infection risk.
1 Introduction
Infections caused by multidrug-resistant organisms (MDROs) pose a significant challenge for patients with critical illness. MDRO infections have become a major global public health concern owing to their high incidence, high mortality rate, and treatment complexity (1). Based on the research findings, patients with critical illness exhibit reduced resistance to pathogenic bacteria because of impairment of the bodily functions, placing them at a high risk for hospital-acquired infections (2). The acquisition rate of MDRO infections in intensive care units (ICUs) is 41%, and the attributable mortality rate among patients with MDRO infections is considerably higher than that in patients with other types of infections. This high mortality rate not only seriously endangers patients’ lives and health but also imposes a heavy burden on the healthcare system (3).
Despite providing valuable insights into the prevention and control of MDRO infections, the reviewed studies have some limitations, for example, the lack of department-specific and patient-specific focus, as well as the difficulty in translating the results to the frontline clinical setting. This gap between research and practical application ultimately hinders the applicability of the cumulative findings toward guiding clinical interventions. For instance, Liu’s (4) predictive model incorporated only nine risk factors, many of which are difficult to modify through nursing interventions. Furthermore, the model lacks a clear demonstration of the temporal relationship between these factors and the outcome, undermining its predictive validity and clinical applicability. Some research evaluation processes are highly subjective, which makes it difficult to accurately identify high-risk individuals (5, 6). In addition, some MDRO infection risk assessment scales designed for general hospitalized patients do not fully consider the complex and variable characteristics of those with critical illness and hence cannot be effectively applied to this special patient population (7, 8). The National Action Plan for Containment of Microbial Resistance (2022–2025) (9) emphasizes precise prevention and control; however, rapid assessment tools that are quantifiable, provide early warning, and can be used in ICUs are lacking. Therefore, we integrated the Delphi expert consensus with the analytic hierarchy process (AHP) in this study to develop and validate a set of tools for predicting MDRO infection risk stratification, specifically for patients with critical illness. This scale provides a basis for the rapid clinical identification of patients at high risk, scientifically predicts the infection risk levels, and facilitates the timely implementation of the targeted prevention and control measures.
2 Materials and methods
2.1 Study setting
This study was conducted at a Grade III, Level A tertiary hospital in Urumqi, China, which has a capacity of approximately 800 inpatient beds and is equipped with multiple ICUs, including a general ICU (GICU) and a neurological ICU (NICU).
2.2 Participants
This study employed a retrospective design by utilizing clinical data from all patients admitted to the ICUs of the hospital between January 2019 and June 2025. The inclusion criteria were as follows: (1) age ≥18 years; (2) Hospitalization duration ≥48 h, with infections occurring ≥48 h after admission were defined as hospital-acquired infections for pathogens without a defined incubation period (10). Exclusion criteria were as follows: (1) patients with ≥10% missing medical record data; (2) patients who never submitted specimens during hospitalization or showed erroneous test results; (3) pregnant women and women in the puerperium period. The primary outcome event was the development of drug-resistant bacterial infection in ICU patients 48 h after admission.
2.3 Pathogen culture and antimicrobial susceptibility testing
Pathogen specimens (e.g., sputum, blood, urine, ascites, drainage fluid, pus, bronchoalveolar lavage fluid, and secretions) were collected and transported as per the standard clinical microbiology procedures (11). Laboratory analysis followed the National Clinical Laboratory Operating Procedures (12). Strain identification was performed using the bioMérieux VITEK-2 compact system. Antimicrobial susceptibility testing was performed by using the minimum inhibitory concentration (MIC) method, interpreted as per the 2021 CLSI guidelines (13) (categorized as susceptible, intermediate, or resistant). MDROs were defined as bacteria resistant to ≥3 antimicrobial classes, including carbapenem-resistant Enterobacteriaceae (CRE), Klebsiella pneumoniae (CRKP), Pseudomonas aeruginosa (CRPA), methicillin-resistant Staphylococcus aureus (MRSA), and carbapenem-resistant Acinetobacter baumannii (CRAB). MDRO infection diagnosis adhered to the established technical guidelines (14), requiring clinical assessment and confirmation by the hospital infection control department so as to exclude community-acquired cases, colonization, or contamination.
2.4 Methods
The scale development was informed by a systematic literature review and subsequently refined by using the Delphi method and AHP, as outlined in Figure 1.
Figure 1

The number of items at each stage of measurement development.
2.4.1 Construction of the indicator system
The Chinese search terms “危重患者/重症监护室”, “多重耐药菌”, “感染”, and “影响因素” were searched across databases such as China National Knowledge Infrastructure (CNKI), Wanfang Database, and VIP Database. The English search terms “Critically ill patients/Intensive care unit,” “multi-drug resistant organisms,” “Infection,” and “influencing factors” were searched across English databases such as PubMed, Cochrane Library, and Embase. The search period spanned from the inception of each database to September 2024. After summarizing, concluding, and organizing the existing literature and data, a preliminary version of the MDRO Infection Risk Assessment Form for Critically Ill Patients was drafted. Following the item-by-item discussion and analysis, 5 first-level indicators, which included “patient-related factors,” “disease-related factors,” “biochemical-related factors,” “treatment-related factors,” and “medication-related factors,” as well as 39 s-level indicators, were finally confirmed.
2.4.2 Delphi method
Expert Eligibility Criteria: (1) clinical work experience of at least 10 years; (2) having an intermediate-level professional title or above; (3) possessing a bachelor’s degree or higher; (4) professional expertise covering intensive care, nursing management, and healthcare-associated infection control; (5) voluntary participation with a commitment to complete all rounds of the survey. Questionnaires were distributed and collected by using the following three methods: on-site distribution, WeChat, and email, with a time limit of 2 weeks for each round of consultation. Two rounds of expert consultation were conducted in this study. A total of 20 experts from six distinct regions of China (i.e., Shanxi, Guangxi, Hunan, Beijing, Shanghai, and Xinjiang Uygur Autonomous Region) were invited to participate in the Delphi study. The expert engagement was assessed based on the effective questionnaire response rate. Expert authority was quantified by the authority coefficient (Cr), calculated as (Cs + Ca)/2, where Cs denotes familiarity with the subject and Ca represents the basis of their judgments. The concentration of expert opinions was evaluated by mean importance scores, whereas the degree of consensus was measured by the coefficient of variation (CV) and Kendall’s W. The screening criteria included the mean score of item importance of ≥3.5 and the coefficient of variation of <0.25.
2.4.3 Data collection
Clinical data were extracted from the Hospital Information System (HIS). The initial scale developed in the earlier phase was administered to ICU patients, with assessments performed at multiple time points: admission, the perioperative period, and during significant clinical or therapeutic changes. Considering that the same patient underwent multiple assessments, subsequent analyses were based on the highest score recorded before the infection.
According to the requirements of factor analysis, the sample size should be at least 5 to 20 times the total number of items in the scale (15). The initial scale in this study comprised 34 secondary items, necessitating a minimum sample size of 170 to 680 cases. To ensure sufficient statistical power for both exploratory and confirmatory analyses, a total of 750 patients were enrolled: 450 for exploratory factor analysis and 300 for confirmatory factor analysis. A comparison of the baseline characteristics between the infected and non-infected groups is presented in Table 1.
Table 1
| Factor | Category | Non-Infected Group (n = 469) | Infected Group (n = 281) | χ 2 Value | p value |
|---|---|---|---|---|---|
| Sex | Male | 275 (58.64%) | 152 (54.09%) | 1.479 | 0.224 |
| Female | 194 (41.36%) | 129 (45.91%) | |||
| Age | < 65 | 187 (39.87%) | 97 (34.52%) | 0.061 | 0.805 |
| ≥ 65 | 282 (60.13%) | 184 (65.48%) | |||
| Employment | Unemployed | 186 (39.66%) | 114 (40.57%) | 2.140 | 0.144 |
| Employed | 283 (60.34%) | 167 (59.43%) | |||
| Marital Status | Single | 12 (2.56%) | 11 (3.91%) | 3.013 | 0.394 |
| Married | 434 (92.54%) | 250 (88.97%) | |||
| Widowed | 18 (3.84%) | 16 (5.69%) | |||
| Divorced | 5 (1.07%) | 4 (1.42%) | |||
| Number of Hospitalizations | > 1 | 208 (44.35%) | 143 (50.89%) | 3.019 | 0.082 |
| 1 | 261 (55.65%) | 138 (49.11%) | |||
| Route of Admission | Emergency | 160 (34.12%) | 93 (33.10%) | 0.082 | 0.960 |
| Outpatient | 110 (23.45%) | 67 (23.84%) | |||
| Transfer from other hospital | 199 (42.43%) | 121 (43.06%) | |||
| Discharge Disposition | Discharge | 311 (66.31%) | 181 (64.41%) | 0.281 | 0.596 |
| Death | 158 (33.69%) | 100 (35.59%) | |||
| APACHE II Score | < 15 | 269 (57.36%) | 141 (50.18%) | 3.653 | 0.056 |
| ≥ 15 | 200 (42.64%) | 140 (49.82%) |
Comparison of baseline characteristics between non-infected and infected groups.
2.4.4 Weight assignment
The AHP was employed to scientifically determine the relative weights of the scale items. For each pairwise comparison matrix, the maximum eigenvalue (λ < sub > max</sub>) was calculated. The consistency index (CI) was then derived as CI = (λ < sub > max</sub > − n) / (n - 1). Finally, the consistency ratio (CR = CI / RI) was computed against Saaty’s random index (RI). Only matrices with a CR value of <0.10 were retained, ensuring acceptable consistency in the expert judgments (16).
2.4.5 Statistical analysis
Statistical analyses were performed using SPSS (version 26.0) and AMOS (version 23.0). (1) Project analysis: ① Critical Ratio (CR) Method: The total scale scores were ranked in descending order. Participants in the top 27% and bottom 27% were assigned to the high-score and low-score groups, respectively. An independent samples t-test was conducted to compare the mean scores of each item between the two groups. Items with a critical ratio (CR) value of <3.0 were considered for removal. ② Corrected Item-Total Correlation (CITC) Method: Items exhibiting a corrected item-total correlation coefficient of <0.40 were flagged for potential deletion. ③ Homogeneity Test: The internal consistency was assessed by calculating Cronbach’s alpha for the total scale. Items whose deletion increased the overall Cronbach’s alpha coefficient were removed to enhance scale homogeneity. (2) Validity test: ① Structural validity: The structural validity of the scale was examined using both Exploratory Factor Analysis (EFA) and Confirmatory Factor Analysis (CFA). ②Content Validity: Content validity was evaluated by calculating the Content Validity Index at both the item level (I-CVI) and the scale level (S-CVI) (15). (3) Reliability test: Cronbach α-coefficient and split-half reliability were selected. (4) AHP: The AHP was conducted using Yaahp V10 and SPSSPRO 1.1.1 software to determine the relative weights of indicators at different levels within the scale framework. (5) Predictive Validity: The predictive validity of the scale for MDRO infection was assessed by using receiver operating characteristic (ROC) curve analysis. The optimal diagnostic cut-off value was determined, and its capability in identifying true-positive cases was evaluated. Continuous data were expressed as the mean and standard deviation ( ± s) and based on the enumeration data as numbers and percentages (%).
3 Results
3.1 Delphi expert consultation
A total of 20 questionnaires were distributed across two rounds of consultation, all of which were returned and found to be valid, yielding a 100% response rate and a high level of expert engagement. The Kendall’s coefficient of concordance ranged from 0.380 to 0.449 (p < 0.05), indicating good consistency among the consultation opinions of experts. The active, authority, and concordance coefficients of the experts in the expert consultation were 0.88, 0.885, and 0.8825, respectively. These figures signify that the experts demonstrated a high level of authority and that the study results were generally reliable. After two rounds of expert correspondence, nine entries were eliminated, two were modified, four were merged into two, six were added, and finally, 34 were retained.
3.2 Project analysis results
No items were identified for removal based on the Critical Ratio (CR) method, as all CR values exceeded the threshold of 3.0. The Corrected Item-Total Correlation (CITC) analysis revealed that 16 items (i.e., T2, T6, T9, T10, T11, T16, T17, T18, T20, T21, T22, T23, T24, T25, T30, and T31) exhibited correlations <0.40 criterion. Homogeneity testing indicated that the deletion of 12 specific items (i.e., T2, T6, T9, T10, T11, T17, T21, T23, T24, T25, T30, and T31) would result in a significant increase in the scale’s overall Cronbach’s alpha coefficient. Following some deliberations, items T16 and T20 were retained despite their CITC values being slightly <0.40, as they were very close to this threshold and demonstrated satisfactory performance in both the CR method and homogeneity test. Based on pre-established criteria, a total of 14 items were ultimately eliminated. The final scale retained 20 items. The detailed results are presented in Table 2.
Table 2
| Item | CR | r | Cronbach α value after item deletion | Screening results |
|---|---|---|---|---|
| T1 Age | – | 0.509 | 0.833 | Retain |
| T2 Length of hospital stay | – | 0.139 | 0.844 | Eliminate |
| T3 APACHE II score | – | 0.520 | 0.833 | Retain |
| T4 NRS-2002 score | −27.338 | 0.475 | 0.835 | Retain |
| T5 Length of ICU stay | – | 0.540 | 0.832 | Retain |
| T6 GCS score | – | 0.186 | 0.843 | Eliminate |
| T7 Pneumonia | – | 0.484 | 0.834 | Retain |
| T8 Chronic Obstructive Pulmonary Disease | – | 0.465 | 0.835 | Retain |
| T9 Malignant tumor | −20.155 | 0.133 | 0.843 | Eliminate |
| T10 Hypertension | −18.847 | 0.171 | 0.843 | Eliminate |
| T11 Diabetes mellitus | – | 0.136 | 0.844 | Eliminate |
| T12 Coronary Artery Disease | – | 0.528 | 0.832 | Retain |
| T13 Cerebrovascular disease | – | 0.444 | 0.835 | Retain |
| T14 Hepatic and renal insufficiency | – | 0.487 | 0.834 | Retain |
| T15 Hypoproteinemia | – | 0.443 | 0.835 | Retain |
| T16 Albumin content | −44.585 | 0.380 | 0.837 | Retain |
| T17 White blood cell count | – | 0.097 | 0.845 | Eliminate |
| T18 Interleukin-6 | −6.143 | 0.209 | 0.841 | Eliminate |
| T19 C-reactive protein | −17.002 | 0.407 | 0.837 | Retain |
| T20 Procalcitonin | −10.645 | 0.373 | 0.838 | Retain |
| T21 D-dimer | −4.871 | 0.149 | 0.842 | Eliminate |
| T22 Surgery | −36.813 | 0.233 | 0.841 | Eliminate |
| T23 Hemodialysis | −24.124 | 0.166 | 0.842 | Eliminate |
| T24 drainage tube | −19.699 | 0.100 | 0.844 | Eliminate |
| T25 Endoscopy | – | 0.161 | 0.843 | Eliminate |
| T26 Tracheotomy/Tracheal Intubation | – | 0.458 | 0.834 | Retain |
| T27 Duration of mechanical ventilation | – | 0.434 | 0.835 | Retain |
| T28 Duration of central venous catheterization | −28.313 | 0.426 | 0.836 | Retain |
| T29 Duration of urinary catheterization | −14.91 | 0.436 | 0.836 | Retain |
| T30 Invasive blood pressure monitoring duration | – | 0.134 | 0.844 | Eliminate |
| T31 Duration of Antimicrobial Use | – | 0.150 | 0.844 | Eliminate |
| T32 Combination Use of Antimicrobial Agents | −54.547 | 0.555 | 0.831 | Retain |
| T33 Duration of Concurrent Antimicrobial Therapy | – | 0.470 | 0.834 | Retain |
| T34 Use of special antimicrobial drugs | – | 0.492 | 0.833 | Retain |
A summary of the scale item analysis results.
Some entries exhibited a standard deviation of zero, rendering t-tests inapplicable. After verifying the data, no errors were found. A standard deviation of zero itself constitutes a significant analytical finding. It indicates that the item possesses extreme discriminative power but lacks variability. Therefore, it is deemed to pass the critical ratio test. This section is denoted by a hyphen (−). Values in bold are statistical values under consideration for exclusion.
3.3 Content validity
I-CVI ranged from 0.875 to 1.000, whereas S-CVI/AVE was 0.925, demonstrating good content validity.
3.4 Construct validity
3.4.1 Exploratory factor analysis
The Kaiser–Meyer–Olkin statistic was 0.838 > 0.7, and Bartlett’s sphericity test revealed significant differences (p < 0.001), confirming suitability for factor analysis.
Exploratory factor analysis yielded five factors with eigenvalues >1, which collectively accounted for 67.861% of the total variance.
The five factors comprised 20 items, with factor loadings for each item ranging from 0.669 to 0.862. Most of the items included in each factor exhibited a clustered distribution consistent with the theoretical hypotheses, and the dimension division generally agreed with the theoretical assumptions. Based on these findings, the condition and hospitalization status of patients with MDRO infections, and joint discussion with experts, the following five factors were selected: “patient-related factors,” “disease-related factors,” “biochemical-related factors,” “treatment-related factors,” and “medication-related factors.”
3.4.2 Confirmatory factor analysis
χ2/DF = 1.912 < 3, RMSEA = 0.055 < 0.08, CFI = 0.945, TLI = 0.935, and GFI = 0.906, all of which exceeded 0.9. The five-factor scale demonstrated good construct validity. All dimensions’ standardized factor loadings exceed 0.6, and each dimension’s CR and AVE meet the standards, as listed in Table 3.
Table 3
| Dimension | Item | Standardized factor loading | AVE | CR |
|---|---|---|---|---|
| F1 Patient-related factors | T5 | 0.643 | 0.839 | 0.569 |
| T4 | 0.751 | |||
| T3 | 0.856 | |||
| T1 | 0.752 | |||
| F2 Disease-related factors | T12 | 0.746 | 0.869 | 0.527 |
| T8 | 0.629 | |||
| T7 | 0.687 | |||
| T13 | 0.781 | |||
| T14 | 0.809 | |||
| T15 | 0.686 | |||
| F3 Biochemical factors | T20 | 0.67 | 0.818 | 0.602 |
| T19 | 0.809 | |||
| T16 | 0.838 | |||
| F4 Treatment-related factors | T28 | 0.8 | 0.844 | 0.575 |
| T27 | 0.77 | |||
| T26 | 0.692 | |||
| T29 | 0.767 | |||
| F5 Drug-related factors | T34 | 0.767 | 0.828 | 0.617 |
| T33 | 0.754 | |||
| T32 | 0.833 |
Results of confirmatory factor analysis.
The correlations among the five factors ranged from 0.295 to 0.459. As shown in Table 4, all inter-factor correlations were lower than the square roots of the respective average variance extracted (AVE) values, demonstrating adequate discriminant validity.
Table 4
| Dimension | F1 | F2 | F3 | F4 | F5 |
|---|---|---|---|---|---|
| F1 | 0.754 | ||||
| F2 | 0.387* | 0.726 | |||
| F3 | 0.323* | 0.305* | 0.776 | ||
| F4 | 0.354* | 0.353* | 0.295* | 0.758 | |
| F5 | 0.357* | 0.459* | 0.347* | 0.458* | 0.785 |
Discriminant validity assessment: square roots of AVEs and factor correlations.
*p < 0.05; diagonal values represent the square root of AVE.
3.5 AHP
This study selected 13 experts from the pool of consultants who completed the Delphi consultation to form the AHP expert panel, based on their expert authority coefficient (Cr >0.7) and participation enthusiasm (100% valid response rate for both rounds of Delphi questionnaires). Before formal scoring, all experts received standardized training on the principles of the AHP method and the “1–9 scale method” to ensure consistent understanding of the judgment criteria. Experts conducted pairwise comparisons and scoring for the 20 selected items, and the weights were calculated based on these comparisons. The specific results are shown in Table 5.
Table 5
| Dimension | Relative Weight (W1) | Item | Relative Weight (W2) | Comprehensive Weight (W1*W2) |
|---|---|---|---|---|
| F1 | 0.0685 | T1 | 0.1973 | 0.0135 |
| T3 | 0.2407 | 0.0165 | ||
| T4 | 0.0696 | 0.0048 | ||
| T5 | 0.4924 | 0.0337 | ||
| F2 | 0.2417 | T7 | 0.1635 | 0.0395 |
| T8 | 0.0916 | 0.0221 | ||
| T12 | 0.3824 | 0.0924 | ||
| T13 | 0.0715 | 0.0173 | ||
| T14 | 0.2517 | 0.0608 | ||
| T15 | 0.0394 | 0.0095 | ||
| F3 | 0.0662 | T16 | 0.2128 | 0.0141 |
| T19 | 0.0948 | 0.0063 | ||
| T20 | 0.6925 | 0.0458 | ||
| F4 | 0.2754 | T26 | 0.1117 | 0.0308 |
| T27 | 0.2204 | 0.0607 | ||
| T28 | 0.1602 | 0.0441 | ||
| T29 | 0.5078 | 0.1398 | ||
| F5 | 0.3483 | T32 | 0.3432 | 0.1195 |
| T33 | 0.3846 | 0.1340 | ||
| T34 | 0.2722 | 0.0948 |
Table of comprehensive weights derived from the AHP method.
3.6 Predictive validity
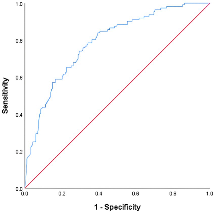
To evaluate the predictive efficacy of the constructed scale for MDRO infections in critically ill patients, this study employed ROC curve analysis. The state variable was defined as “whether the patient has an MDRO infection,” while the test variable was the “total scale score.” The area under the curve (AUC) for predicting MDRO infection based on the total scale score was 0.788 (p < 0.001). This AUC value was statistically significantly superior to the random classification line (AUC = 0.5), indicating that the scale possesses acceptable discriminatory capability. By calculating the maximum Youden index, the optimal diagnostic cutoff for the total scale score was determined to be 0.843. At this cutoff point, the sensitivity for predicting infection was 0.741, while the specificity was 0.707 (Youden’s index = 0.448). This value indicated that the scale correctly identified 74.1% of MDRO-infected patients while accurately excluding 70.7% of the uninfected patients, demonstrating a good overall discriminatory performance (Figure 2).
Figure 2

ROC curve of the scale for predicting MDRO infection in patients with critical illness.
3.7 Reliability test
The scale demonstrated good reliability. The overall Cronbach’s alpha was 0.873. For the individual factors, Cronbach’s alpha coefficients ranged from 0.779 to 0.865, and split-half reliability coefficients ranged from 0.731 to 0.869.
4 Discussion
4.1 The MDRO infection risk assessment scale for patients with critical illness demonstrates sound scientific validity
The item pool in this study was constructed through a systematic literature retrieval and quality evaluation process, which is more rigorous than a simple literature review and brainstorming. The research team analyzed, integrated, and rescreened the risk factors from the literature to form the scale item pool (17). The scientific validity and effectiveness of the results from the Delphi method expert consultation were comprehensively evaluated by assessing the experts’ representativeness, participation enthusiasm, authority coefficient, and Kendall’s concordance coefficient (18). Strict selection criteria were applied during the expert consultation phase, and experts from multiple provinces, cities, and regions were invited to participate in the consultation. These experts encompassed multiple fields and disciplines, including infectious diseases, critical care medicine, and the Centers for Disease Control and Prevention. Owing to their extensive theoretical research and practical experience, the experts could provide professional guidance and suggestions. The Kendall’s concordance coefficients for the two rounds of consultation were 0.380 and 0.449 (both p < 0.001). This result demonstrated that the experts’ opinions were relatively consistent and concentrated, suggesting a high reliability of the constructed indicator system (19).
AHP was applied in this study to construct hierarchical models and judgment matrices and to calculate the weights of primary and secondary indicators. Using Saaty’s scaling method, the weights were assigned rationally and scientifically to each item and scored. All matrices in the scale passed consistency tests, which enabled quantitative and objective item analysis (20). Of the five primary indicators, drug-related factors carried the highest weight (0.3483), followed by treatment-related factors (0.2754). These results indicated that strictly controlling the duration and type of antimicrobial use is the most critical measure for preventing infections, which agrees with findings from previous studies (21, 22). The evaluation system constructed in this study featured a well-defined hierarchy, a scientifically structured framework, substantial content, and reasonably set weightings, exhibiting a high degree of scientific rigor.
4.2 The MDRO infection risk assessment scale for patients with critical illness demonstrates good reliability and validity
Five common factors were identified in this study via multiple rounds of exploratory factor analysis and scree plot assessment. These factors collectively explained 67.861% of the variance. Each item exhibited factor loadings of >0.5 on its assigned common factor without multiple loadings, confirming the robust structural stability of the scale. All fit indices of the confirmatory factor analysis were found to be within the acceptable range, verifying the good construct stability of the scale. The content validity index at the scale level was 0.925, and that for each item ranged from 0.875 to 1.000, indicating that the scale had good content validity (23). The Cronbach’s alpha for the total scale was 0.873, indicating a good internal consistency reliability for both the total scale and all of its dimensions. In conclusion, the development and validation process of the scale was rigorous and standardized, establishing that the scale possessed good reliability.
4.3 The MDRO infection risk assessment scale for patients with critical illness exhibits significant clinical utility
In empirical studies, the MDRO infection risk assessment scale for patients with critical illness demonstrated a high clinical utility. This scale featured clear evaluation criteria, a reasonable number of items, straightforward language, and a simple assessment method. Healthcare professionals can quickly grasp and master it, facilitating efficient application in clinical practice. In terms of the dimensions and item settings of the scale, it comprised five dimensions (“patient-related factors,” “disease-related factors,” “biochemical-related factors,” “treatment-related factors,” and “medication-related factors”) with 20 items, comprehensively and systematically covering various factors likely involved in the occurrence of MDRO infections in patients with critical illness. Unlike certain existing scales, this scale not only focuses on patients’ underlying diseases and physical function indicators but also incorporates key information such as the duration of specific antimicrobial use and invasive blood pressure monitoring. This scale systematically and practically considers the specific risk factors for the special population of patients with critical illness, aligning with clinical realities (24, 25). The use of special antimicrobials is an independent risk factor for MDRO infections in patients with critical illness. To rapidly control infections and prevent disease progression, special antimicrobials are commonly used in these patients, and the combination use of such antimicrobials may even be adopted (26). The risk assessment scale for MDRO infections in patients with critical illness developed in this study exhibited high specificity as it fully considered the characteristics of patients with critical illness and infection-related factors. Furthermore, ROC curve analysis confirmed the scale’s predictive utility for MDRO infection. At the optimal cut-off value of 0.843, the scale demonstrated a balanced sensitivity of 0.741 and specificity of 0.707, indicating that, in clinical practice, the tool can correctly identify 74.1% of infected patients while accurately ruling out 70.7% of non-infected patients. This balance is crucial, as the high sensitivity enables effective screening and early warning, whereas the specificity of >70% helps control false positives, preventing unnecessary interventions and optimizing resource allocation.
4.4 Limitations
This study is a single-center retrospective study, and the sample source has certain limitations. Therefore, multicenter prospective studies must be conducted in the future to ascertain its validity. The next step is to develop this scale into an electronic risk assessment system, embed it within the hospital information system, and integrate the clinical decision support system function. These measures will enable the development of early warning systems for real-time and dynamic risk, providing an intelligent tool for precise prevention and control.
5 Conclusion
This study focused on the construction and validation of a risk assessment scale for MDRO infections in patients with critical illness and analyzed its clinical application value. The results showed that the finally developed scale comprised five dimensions, namely “patient-related factors,” “disease-related factors,” “biochemical-related factors,” “treatment-related factors,” and “medication-related factors,” with a total of 20 items. The total scale demonstrated good reliability and validity, with a Cronbach’s α coefficient of 0.873. Furthermore, the scale exhibited strong clinical utility, as evidenced by an area under the ROC curve of 0.788 and an optimal cutoff value of 0.843 points, enabling effective differentiation between infected and noninfected populations. Of the various dimensions, “medication-related factors” was the key influencing dimension.
Therefore, healthcare professionals can use this scale for the routine assessment of MDRO infection risk in patients with critical illness, with particular attention to those on prolonged antimicrobial therapy and those with complex underlying diseases. In clinical interventions, targeted prevention and control measures can be implemented based on the risk stratification results of the scale. For instance, the monitoring of antimicrobial agents for patients at high risk can be strengthened, and antimicrobial management can be optimized for those at low-to-moderate risk. Such strategies can facilitate the precise identification of high-risk populations for MDRO infections, reduce infection rates among patients with critical illness, alleviate the burden on healthcare systems, and provide practical support for implementing the National Action Plan for Combating Microbial Resistance (2022–2025).
Statements
Data availability statement
The data analyzed in this study is subject to the following licenses/restrictions: with the consent of the corresponding author and not for commercial use. Requests to access these datasets should be directed to PL, 894088343@qq.com.
Ethics statement
The studies involving humans were approved by The Second Affiliated Hospital of Xinjiang Medical University. The studies were conducted in accordance with the local legislation and institutional requirements. Observational studies were reviewed and approved by the hospital ethics committee (KY2023112111) in adherence to the guidelines outlined in the “Strengthening the Reporting of Observational Studies in Epidemiology (STROBE)” statement. Written informed consent for participation was not required from the participants or the participants’ legal guardians/next of kin in accordance with the national legislation and institutional requirements.
Author contributions
JZ: Data curation, Writing – original draft, Writing – review & editing. LY: Writing – original draft, Writing – review & editing. YW: Writing – original draft, Writing – review & editing. BL: Methodology, Writing – original draft, Writing – review & editing. XW: Methodology, Writing – original draft, Writing – review & editing. XM: Writing – original draft, Writing – review & editing. PL: Supervision, Writing – original draft, Writing – review & editing.
Funding
The author(s) declare that financial support was received for the research and/or publication of this article. This work was supported by the Natural Science Foundation of Xinjiang Uygur Autonomous Region (Grant No. 2023D01C121).
Conflict of interest
The authors declare that the research was conducted in the absence of any commercial or financial relationships that could be construed as a potential conflict of interest.
Generative AI statement
The authors declare that no Gen AI was used in the creation of this manuscript.
Any alternative text (alt text) provided alongside figures in this article has been generated by Frontiers with the support of artificial intelligence and reasonable efforts have been made to ensure accuracy, including review by the authors wherever possible. If you identify any issues, please contact us.
Publisher’s note
All claims expressed in this article are solely those of the authors and do not necessarily represent those of their affiliated organizations, or those of the publisher, the editors and the reviewers. Any product that may be evaluated in this article, or claim that may be made by its manufacturer, is not guaranteed or endorsed by the publisher.
Supplementary material
The Supplementary material for this article can be found online at: https://www.frontiersin.org/articles/10.3389/fmed.2025.1711440/full#supplementary-material
References
1.
Zou N Zhu D Wang D Shu W Wang L Li Q . Clinical practice of infection prevention and control and antimicrobial management to reduce the level of bacterial resistance. Chin J Infect Control. (2024) 23:860–7. doi: 10.12138/j.issn.1671-9638.20245028
2.
Zhu W Shen M Weng C . Nosocomial infection surveillance and influencing factors analysis in intensive care unit of a level two class a general hospital. Chin J Disinf. (2023) 40:441–4. doi: 10.11726/j.issn.1001-7658.2023.06.012
3.
Zahlane K Ouafi AT Barakate M . The clinical and epidemiological risk factors of infections due to multi-drug resistant bacteria in an adult intensive care unit of University Hospital Center in Marrakesh-Morocco. J Infect Public Health. (2020) 13:637–43. doi: 10.1016/j.jiph.2019.08.012
4.
Liu Y . The current situation of multi-drug resistant bacterial infections in intensive care units and the construction of early warning models [master's thesis]. Lanzhou: Lanzhou University (2022).
5.
Zhu BW Xiao YY . Application of risk assessment indicators in the early prevention and control of multi-drug resistant bacterial infection. Chongqing Med. (2024) 53:1179–82. doi: 10.3969/j.issn.1671-8348.2024.08.011
6.
Wang J Shang LP . Risk management of multidrug-resistant organism healthcare-associated infection based on COSO-ERM framework. Chin J Infect Control. (2022) 21:499–504. doi: 10.12138/j.issn.1671-9638.20221439
7.
Wang BZ Liang YX Zhao YJ Wang QQ . Research and design of risk assessment scale for multi-drug resistant organism infection control and management in hospitalized patients. Chin Nurs Res. (2022) 36:2978–82. doi: 10.12102/j.issn.1009-6493.2022.16.030
8.
Wang Y Ye Q . Establishment of risk assessment scale of nosocomial infection for patients with multidrug-resistant organisms infections. Chin J Nosocomiol. (2023) 33:3486–90. doi: 10.11816/cn.ni.2023-238292
9.
Xiao GR Zong ZY . Antimicrobial stewardship and prevention and control of antimicrobial resistance in healthcare institutions: a discussion based on the National Action Plan to combat antimicrobial resistance (2022-2025). West China Med J. (2023) 38:321–5. doi: 10.7507/1002-0179.202302037
10.
National Health Commission of the People's Republic of china . Notice on issuing the diagnostic criteria for hospital infections (trial) (2001). Available online at: https://www.nhc.gov.cn/wjw/gfxwj/200111/5d9cffd69efa495f9b340da3a50c7818.shtml (Accessed October 20, 2025).
11.
National Health Commission of the People's Republic of China . Specimen collection and transport in clinical microbiology: WS/T640-2018. Beijing: China Standards Press (2022).
12.
Shang H Wang YS Shen ZY . National Operating Procedures for clinical laboratory tests. Beijing: People's Medical Publishing House (2015).
13.
Humphries R Bobenchik AM Hindler JA Schuetz AN . Overview of changes to the clinical and laboratory standards institute performance standards for antimicrobial susceptibility testing, M100, 31st edition. J Clin Microbiol. (2021) 59:e0021321. doi: 10.1128/JCM.00213-21
14.
Ministry of Health of the People's Republic of China . Technical guidelines for the prevention and control of hospital infections caused by multi-drug resistant bacteria (trial). Chin Crit Care Med. (2011) 23:65.
15.
Wu S . SPSS practical application and statistical thinking. Chongqing: Chongqing University Press (2019).
16.
Li X Peng Q Su JP Wang J Li XF Wang HH et al . Construction of the evaluation index system of the core competence of palliative care nurse. Chin Med Herald. (2019) 16:161–4.
17.
Wang CQ Hu Y . JBI evidence pre-classification and level of recommendation system (2014 edition). J Nurs Train. (2015) 30:964–7. doi: 10.16821/j.cnki.hsjx.2015.11.002
18.
Li M Li Y Zhang YM Ma JQ Li G . Development of an indicator system for infectious disease surveillance and early warning based on Delphi method. Chin J Infect Control. (2025) 24:890–7. doi: 10.12138/j.issn.1671-9638.20257188
19.
Zhang J Deng X Ni P Wang D . Evaluation of the effectiveness of hospital infection prevention and control based on the SMART principle. J Cent South Univ Med Sci. (2023) 48:1059–65. doi: 10.11817/j.issn.1672-7347.2023.220328
20.
Yan M Xiang L Luo Y Cao M Cheng L Zhao P et al . Constructing a nursing programme to manage intra-abdominal pressure in neurocritical care patients: a modified Delphi study. J Clin Nurs. (2025) 34:4415–32. doi: 10.1111/jocn.17703
21.
Hu JN Hu SQ Li ZL Bao C Liu Q Liu C et al . Risk factors of multidrug-resistant bacteria infection in patients with ventilator-associated pneumonia: a systematic review and meta-analysis. J Infect Chemother. (2023) 29:942–7. doi: 10.1016/j.jiac.2023.06.008
22.
Mezzadri L Chang YT Paterson DL . Management of MDR/XDR severe infections in the critically ill. Curr Opin Crit Care. (2025) 31:488–96. doi: 10.1097/MCC.0000000000001307
23.
Sun XY . Health questionnaire: design principle and practice. Beijing: Peking University Medical Press (2020).
24.
Ding MY . Construction of nosocomial infection risk scale for multi-drug resistant bacteria in comprehensive ICU patients[Master's Thesis]. Shanghai: Shanghai Jiao Tong University (2020).
25.
Zou Q Geng MM Zhu YH . Development of risk prediction model for multi-drug resistant bacteria infection in intensive care unit patients based on evidence-based theory and external validation study. Chin J Gen Pract Med. (2022) 25:1441–8. doi: 10.12114/j.issn.1007-9572.2021.02.137
26.
Paramythiotou E Routsi C . Association between infections caused by multidrug-resistant gram-negative bacteria and mortality in critically ill patients. World J Crit Care Med. (2016) 5:111–20. doi: 10.5492/wjccm.v5.i2.111
Summary
Keywords
multi-drug resistant bacteria, Delphi method, scale, reliability, validity
Citation
Zhao J, Yuan L, Wang Y, Liu B, Wang X, Ma X and Li P (2025) Construction and validation of a risk assessment scale for multidrug-resistant bacteria infections in critically ill patients. Front. Med. 12:1711440. doi: 10.3389/fmed.2025.1711440
Received
25 September 2025
Accepted
30 October 2025
Published
14 November 2025
Volume
12 - 2025
Edited by
Mojtaba Akbari, Isfahan University of Medical Sciences, Iran
Reviewed by
Hamid Solgi, Isfahan University of Medical Sciences, Iran
Farid Rajaee Rizi, Isfahan University of Medical Sciences, Iran
Jaime Briseno-Ramirez, Civil Hospital of Guadalajara, Mexico
Updates
Copyright
© 2025 Zhao, Yuan, Wang, Liu, Wang, Ma and Li.
This is an open-access article distributed under the terms of the Creative Commons Attribution License (CC BY). The use, distribution or reproduction in other forums is permitted, provided the original author(s) and the copyright owner(s) are credited and that the original publication in this journal is cited, in accordance with accepted academic practice. No use, distribution or reproduction is permitted which does not comply with these terms.
*Correspondence: Ping Li, 894088343@qq.com
Disclaimer
All claims expressed in this article are solely those of the authors and do not necessarily represent those of their affiliated organizations, or those of the publisher, the editors and the reviewers. Any product that may be evaluated in this article or claim that may be made by its manufacturer is not guaranteed or endorsed by the publisher.