Abstract
Objective:
To develop an auxiliary diagnostic tool for schizophrenia based on multiple test variables using different machine learning algorithms.
Methods:
This retrospective study used routinely collected peripheral blood biochemical indicators, along with demographic data, to develop a diagnostic model for first-episode schizophrenia. A total of 180 patients with first-episode schizophrenia between January and August 2024, and 214 healthy controls as a population undergoing routine medical examinations during the same period. Data on age, gender, and various blood test results were collected. The dataset was divided into a training set (70%; n = 275) and a internal validation set (30%; n = 119). First, Univariate logistic regression was used to analyze significant indicators (p < 0.1), and feature selection was subsequently performed using the Boruta and LASSO algorithms. Machine learning models were then developed using seven machine learning algorithms, and the Area Under the Curve (AUC), Sensitivity, Specificity, Positive Predictive Value (Pos Pred Value), Negative Predictive Value (Neg Pred Value), Precision, Recall, and F1 score of each model were evaluated. Finally, we constructed an easily interpretable prediction tool based on a multiple logistic regression model. After model construction, we validated the model using an external validation set and a differential diagnosis set. A nomogram of the model outcomes was constructed, and its discrimination, calibration, and clinical decision curves were evaluated.
Results:
Arg, TP, ALP, HDL, UA, and LDL were ultimately identified as significant predictors through Univariate logistic regression combined with the Boruta and LASSO algorithms. The Random Forest algorithm outperformed other machine learning models, achieving an AUC of 1.00 for the training set and 0.877 for the validation set. However, due to the risk of overfitting, we ultimately selected the multivariate logistic regression model as the final model for our study and constructed nomograms.
Conclusion:
In this study, an auxiliary diagnostic tool for schizophrenia was established using machine learning algorithms combined with routine blood indicators. The logistic regression model demonstrated good performance and can serve as a diagnostic aid for schizophrenia.
Introduction
Schizophrenia is a severe and disabling psychiatric disorder characterized by complex clinical manifestations and substantial functional decline. Despite major advances in neurobiological research, its diagnosis still relies predominantly on subjective symptom-based criteria outlined in the DSM-5 and ICD-11 (1), as no objective biomarkers have been incorporated into routine clinical workflows. This phenomenology-based diagnostic framework limits early detection, risk stratification, and individualized intervention.
Machine learning (ML) has emerged as a promising approach in psychiatric research, with numerous studies developing diagnostic models based on neuroimaging, electroencephalography, and multi-omics data. Although these models often demonstrate high accuracy in research settings, their clinical translation remains limited due to high acquisition costs, restricted accessibility, poor interpretability, and insufficient external validation, which together contribute to overfitting and limited generalizability (2–4). These limitations underscore the need for diagnostically useful models that balance predictive performance with feasibility and transparency.
Peripheral blood biomarkers provide an attractive alternative because they are minimally invasive, inexpensive, and widely collected in routine clinical practice. Accumulating evidence demonstrates that schizophrenia is associated with elevated inflammatory cytokines such as IL-6 and C-reactive protein (5), increased oxidative stress and impaired antioxidant defenses (6), as well as widespread abnormalities across metabolic pathways, including lipid and amino acid metabolism (7). However, because individual biomarkers lack sufficient diagnostic power, integrating multiple biochemical indicators into a composite model may yield more clinically meaningful predictive value.
The biochemical indicators selected for the present study were chosen based on biological plausibility and prior empirical evidence. Arginine, a precursor of nitric oxide, plays a central role in neuroimmune signaling, and alterations in arginine–NO metabolic pathways have been reported in schizophrenia (8). Changes in total serum protein content have been documented in proteomic studies of schizophrenia, supporting the involvement of immune and metabolic dysregulation (9). Tissue-nonspecific alkaline phosphatase (TNAP), an isoenzyme of alkaline phosphatase, contributes to endothelial function and the maintenance of blood–brain barrier (BBB) integrity, and TNAP dysregulation may be implicated in neuroinflammatory processes relevant to schizophrenia (10). Lipid abnormalities, including changes in HDL and LDL fractions, have been consistently observed among individuals with schizophrenia, suggesting altered membrane composition, lipid signaling, and metabolic dysfunction (11). Uric acid, a major endogenous antioxidant and pro-oxidant molecule, has been associated with oxidative stress imbalance in schizophrenia, supported by meta-analytic findings (12). Additionally, serum peptidomic studies further demonstrate broad alterations in circulating peptides associated with schizophrenia, reinforcing the potential utility of multi-marker blood-based models (13).
Based on these considerations, we hypothesized that a predictive model constructed from conventional serum biochemical indicators would accurately distinguish first-episode, drug-naïve patients with schizophrenia from healthy controls and would demonstrate robust generalizability in external validation. We further hypothesized that the selected biochemical indicators reflect underlying biological processes related to inflammation, oxidative stress, and metabolic dysregulation. Developing a clinically accessible and interpretable diagnostic tool has the potential to facilitate early screening and triage in psychiatric and general medical settings, particularly where specialized diagnostic resources are limited. Integration into electronic medical record systems may enable automated risk estimation and clinical decision support, although large-scale prospective validation will be necessary before routine implementation.
Materials and methods
This retrospective study included 180 patients with first-episode schizophrenia diagnosed at the Shanghai Mental Health Center between January and August 2024, as well as 214 healthy controls who underwent physical examinations during the same period; together, these constituted the training and internal validation cohorts. Meanwhile, 164 schizophrenia patients and 192 healthy controls from the Minhang branch of the Shanghai Mental Health Center during the same period were collected as an external validation cohort. Additionally, between September 2024 and April 2025, 165 first-episode schizophrenia patients and 165 first-episode depression patients diagnosed at the Shanghai Mental Health Center were collected to serve as a validation cohort for differential diagnosis among similar disorders. The schizophrenia patients included in this study were all newly diagnosed and had not received any antipsychotic medication. Exclusion criteria for the healthy control group were as follows: individuals with comorbid or past psychiatric disorders; individuals with a history of organic brain lesions or severe traumatic brain injury; individuals with severe cardiac, hepatic, or renal insufficiency, metabolic diseases, or other serious physical illnesses; and those with abnormal results in routine laboratory tests (such as hepatic and renal function, myocardial enzymes, etc.). The results of blood tests were extracted from the information system: Albumin (ALB), Albumin-to-Globulin Ratio (A/G), Low-Density Lipoprotein (LDL), Triglyceride (TG), High-Density Lipoprotein (HDL), γ-Glutamyl Transferase (GGT), Alanine Transaminase (ALT), Creatinine (CREA), Alkaline Phosphatase (ALP), Blood Urea Nitrogen (BUN), Uric Acid (UA), Glucose (GLU), Total Cholesterol (TC), Total Bilirubin (T-BIL), Total Protein (TP), Arginine (Arg), Serotonin (5-HT) and Tryptophan (Trp). The sample size of this study complies with the 10EPV principle. This study was approved by the Ethics Committee of Shanghai Mental Health Center under approval number 2024 KY-190. All participants provided written informed consent. All procedures were in accordance with the ethical standards of the responsible committee on human experimentation and with the Helsinki Declaration.
Statistical analyses
To ensure data quality, both outliers and missing values were systematically processed. First, outliers were identified using boxplots following the Tukey criterion, and observations below Q1–1.5 × IQR or above Q3 + 1.5 × IQR were removed to minimize potential bias in model training. Second, for missing data, samples with ≥20% missing variables were excluded. For samples with <20% missingness, multiple imputation with 10 imputations was performed. All imputed datasets were evaluated using AIC/BIC criteria, and the dataset with the best model fit was selected for subsequent analyses.
The extracted dataset was randomly divided into training and validation sets in a 7:3 ratio. Normally distributed variables were expressed as mean ± standard deviation (mean ± SD), while non-normally distributed variables were presented as medians (M) with interquartile ranges (IQR: P25–P75). Independent variables were initially screened using univariate logistic regression with a p-value threshold of <0.1. Significant variables were further selected through Lasso regression with ten-fold cross-validation (lambda 1 standard error) and the Boruta algorithm to identify the optimal combination of influencing factors. The common subset of feature variables identified by both methods was used for further analysis. Seven machine learning algorithms were developed using R, including Decision Trees, Random Forests, XGBoost, K-Nearest Neighbors, LightGBM, Naive Bayes, and logistic regression. Hyperparameter tuning was performed within the training set using repeated 10-fold cross-validation (repeated 10-fold CV × 5). A grid search over predefined hyperparameter grids was conducted, and the combination yielding the highest mean AUC across all folds and repetitions was selected as the optimal configuration. The main tuning parameters for each algorithm were as follows: Decision Trees cp, maxdepth, Random Forests: mtry, ntree, XGBoost: eta, max_depth, gamma, subsample, colsample_bytree, nrounds, KNN: number of neighbors (k), distance metric, kernel, LightGBM: num_leaves, max_depth, learning_rate, feature_fraction, bagging_fraction, Naive Bayes: usekernel, laplace, Logistic regression: no hyperparameter tuning required. All tuning procedures were conducted exclusively within the training set, while the validation and external datasets were used solely to evaluate the final model performance. The comparisons of AUCs between different models were performed using DeLong’s test. Given that logistic regression is interpretable and relatively simple, we constructed a nomogram based on the multivariable logistic regression model and evaluated its discrimination, calibration, and clinical applicability. All statistical analyses and machine learning models were implemented in R (version 4.2.1) using the following packages: Boruta, glmnet, rpart, randomForest, xgboost, kknn, lightgbm, glm, rms, and ROCR.
Result
Baseline analysis
The data from the included studies were randomly divided into training and validation sets in a 7:3 ratio. The baseline features of the training set, internal validation set, external validation set, and differential diagnosis set are shown in Table 1. All indicators were analyzed for differences with the training set.
Table 1
| Parameters | Train N = 275 | Internal validation set N = 119 | External validation set N = 356 | Differential diagnosis set N = 449 |
|---|---|---|---|---|
| Gender | ||||
| Male | 104 (37.82%) | 46 (38.66%) | 141 (39.61%) | 158 (35.19%) |
| Female | 171 (62.18%) | 73 (61.34%) | 215 (60.39%) | 291 (64.81%) |
| Age | 38.70 ± 10.79 | 38.91 ± 10.50 | 37.90 ± 8.55 | 38.82 ± 17.08 |
| ALB (g/L) | 43.80 [41.60; 45.95] | 44.40 [42.30; 46.40] | 44.00 [42.18; 45.62] | 42.50 [40.30; 45.07] *** |
| A/G | 1.57 [1.38; 1.91] | 1.55 [1.42; 1.96] | 1.55 [1.42; 2.01] | 1.64 [1.44; 2.02] |
| LDL (mmol/L) | 2.47 [1.99; 2.94] | 2.49 [2.05; 2.89] | 2.46 [2.13; 2.87] | 2.48 [2.07; 3.00] |
| TG (mmol/L) | 1.12 [0.81; 1.60] | 1.10 [0.82; 1.74] | 1.23 [0.91; 1.67] * | 1.21 [0.87; 1.75] |
| HDL (mmol/L) | 1.11 [0.92; 1.33] | 1.15 [0.94; 1.31] | 1.12 [0.97; 1.32] | 1.13 [0.94; 1.35] |
| GGT (IU/L) | 20.00 [15.00; 32.50] | 22.00 [14.50; 32.50] | 21.00 [15.00; 31.00] | 22.00 [16.00; 33.00] |
| ALT (IU/L) | 19.00 [13.00; 28.50] | 20.00 [12.50; 28.00] | 19.00 [14.00; 27.00] | 19.00 [13.00; 27.00] |
| CREA (umol/L) | 65.00 [56.00; 76.50] | 65.00 [57.50; 75.00] | 65.00 [57.00; 74.00] | 64.00 [55.00; 74.00] |
| ALP (IU/L) | 64.00 [53.50; 75.00] | 65.00 [53.00; 76.00] | 65.00 [55.75; 72.00] | 67.00 [56.00; 79.00] * |
| BUN (mmol/L) | 4.35 [3.62; 5.36] | 4.31 [3.63; 5.07] | 4.36 [3.73; 5.13] | 4.22 [3.61; 5.25] |
| UA (umol/L) | 359.00 [295.00; 429.50] | 367.00 [297.00; 444.00] | 356.00 [297.00; 428.25] | 327.00 [267.00; 417.00] ** |
| GLU (mmol/L) | 5.01 [4.68; 5.50] | 5.14 [4.70; 5.62] | 5.11 [4.76; 5.47] | 5.25 [4.63; 6.04] * |
| TC (mmol/L) | 4.75 [4.06; 5.44] | 4.73 [4.16; 5.31] | 4.78 [4.30; 5.28] | 4.68 [4.08; 5.39] |
| T-BIL (umol/L) | 11.60 [9.23; 15.14] | 11.24 [9.16; 14.82] | 11.97 [9.64; 14.75] | 11.21 [9.24; 14.63] |
| TP (g/L) | 73.20 [69.70; 76.45] | 73.60 [71.00; 77.20] | 73.90 [70.88; 76.20] | 71.90 [68.40; 75.50] * |
| Trp (μg/mL) | 8.44 [7.26; 10.32] | 8.64 [7.36; 10.17] | 8.43 [7.40; 9.99] | 9.22 [7.96; 10.96] *** |
| 5HT (ng/mL) | 138.68 [90.65; 195.62] | 131.32 [90.38; 199.45] | 132.46 [95.50; 195.44] | 47.81 [8.54; 119.40] *** |
| Arg (μg/mL) | 17.73 [14.25; 21.23] | 17.32 [14.59; 20.51] | 8.27 [6.66; 10.60] | 16.81 [14.32; 19.88] ** |
Analysis of baseline data for training and validation sets.
Comparing each validation set to the training set * p-value < 0.05; ** p-value < 0.01; *** p-value < 0.001.
Univariate logistic regression
Univariate logistic regression analysis was performed on all blood indicators within the training set, retaining variables with p-values <0.1 for further analysis.
The statistically significant indicators included Arg, TP, ALP, HDL, ALB, TC, UA, LDL, and TG, presented in Table 2.
Table 2
| Characteristics | B | SE | OR (95% CI) | P |
|---|---|---|---|---|
| Arg (μg/mL) | −0.111 | 0.02486 | 0.895 (0.85–0.937) | 0 |
| 5HT (ng/mL) | 0 | 0.00116 | 1 (0.998–1.002) | 0.985 |
| Trp (μg/mL) | −0.045 | 0.04799 | 0.956 (0.869–1.05) | 0.35 |
| TP (g/L) | −0.215 | 0.0327 | 0.807 (0.754–0.858) | 0 |
| T-BIL (umol/L) | −0.033 | 0.02234 | 0.967 (0.924–1.009) | 0.134 |
| TC (mmol/L) | −0.357 | 0.12556 | 0.7 (0.544–0.892) | 0.005 |
| GLU (mmol/L) | 0.139 | 0.08609 | 1.149 (0.981–1.383) | 0.107 |
| UA (umol/L) | 0.003 | 0.00122 | 1.003 (1.001–1.006) | 0.01 |
| BUN (mmol/L) | 0.046 | 0.08389 | 1.047 (0.888–1.236) | 0.583 |
| ALP (IU/L) | 0.03 | 0.00753 | 1.03 (1.015–1.046) | 0 |
| CREA (umol/L) | 0.005 | 0.00831 | 1.005 (0.989–1.022) | 0.51 |
| ALT (IU/L) | 0.004 | 0.00597 | 1.004 (0.992–1.016) | 0.493 |
| GGT (IU/L) | 0.006 | 0.00563 | 1.006 (0.995–1.018) | 0.279 |
| HDL (mmol/L) | −1.76 | 0.42494 | 0.172 (0.073–0.386) | 0 |
| TG (mmol/L) | 0.259 | 0.13593 | 1.296 (1.004–1.721) | 0.056 |
| LDL (mmol/L) | −0.403 | 0.17855 | 0.668 (0.468–0.944) | 0.024 |
| A/G | 0.449 | 0.61054 | 1.566 (1.12–5.268) | 0.462 |
| ALB (g/L) | −0.187 | 0.04155 | 0.829 (0.762–0.897) | 0 |
Univariate logistic regression analysis in the training set.
Bold values indicate p-values < 0.1.
Lasso regression and Boruta algorithm for feature screening
Lasso regression was performed to further analyze the statistically significant factors identified above. The non-zero coefficients at Lambda.1se, including Arg, TP, ALP, HDL, UA, and LDL, are presented in Figure 1. Boruta screening with 100 iterations was then applied to further analyze these factors. The variables identified by Boruta, including Arg, TP, ALP, HDL, UA, LDL, ALB, TC, and TG, are shown in Figure 2.
Figure 1

(A) Lasso log lambda. (B) Lasso regression with cross-validation.
Figure 2

Boruta screening.
Machine learning model evaluation
After screening by LASSO regression and Boruta, we applied seven machine learning algorithms to construct and evaluate predictive models: Decision Trees (DT), Random Forests (RF), Extreme Gradient Boosting (XGBoost), K-Nearest Neighbors (KNN), Light Gradient Boosting Machines (LightGBM), Naive Bayes (NB), and Logistic Regression (LR). A comprehensive model incorporating all selected variables was constructed. The performance of the seven models was evaluated using metrics such as AUC, sensitivity, specificity, PPV, NPV, precision-recall, and F1-score, as summarized in Table 3. The AUC values of the models are also visualized in Figure 3.
Table 3
| Model | Different classifications | AUC | Sensitivity | Specificity | Pos pred value | Neg pred value | Precision | Recall | F1 |
|---|---|---|---|---|---|---|---|---|---|
| LR | dev | 0.87 | 0.756 | 0.833 | 0.805 | 0.789 | 0.805 | 0.756 | 0.78 |
| DT | dev | 0.891 | 0.832 | 0.82 | 0.794 | 0.854 | 0.794 | 0.832 | 0.812 |
| RF | dev | 1 | 1 | 1 | 1 | 1 | 1 | 1 | 1 |
| XGB | dev | 0.921 | 0.832 | 0.896 | 0.879 | 0.854 | 0.879 | 0.832 | 0.855 |
| KNN | dev | 1 | 1 | 1 | 1 | 1 | 1 | 1 | 1 |
| LGBM | dev | 0.768 | 0.817 | 0.66 | 0.686 | 0.798 | 0.686 | 0.817 | 0.746 |
| NBM | dev | 0.854 | 0.855 | 0.694 | 0.718 | 0.84 | 0.718 | 0.855 | 0.78 |
| LR | vad | 0.87 | 0.796 | 0.743 | 0.684 | 0.839 | 0.684 | 0.796 | 0.736 |
| DT | vad | 0.768 | 0.655 | 0.797 | 0.735 | 0.729 | 0.735 | 0.655 | 0.692 |
| RF | vad | 0.877 | 0.796 | 0.8 | 0.736 | 0.848 | 0.736 | 0.796 | 0.765 |
| XGB | vad | 0.876 | 0.796 | 0.814 | 0.75 | 0.851 | 0.75 | 0.796 | 0.772 |
| KNN | vad | 0.794 | 0.694 | 0.757 | 0.667 | 0.779 | 0.667 | 0.694 | 0.68 |
| LGBM | vad | 0.804 | 0.857 | 0.643 | 0.627 | 0.865 | 0.627 | 0.857 | 0.724 |
| NBM | vad | 0.873 | 0.878 | 0.643 | 0.632 | 0.882 | 0.632 | 0.878 | 0.735 |
Predictive performance comparison of the seven types of machine learning algorithms.
Figure 3

(A) AUCs of 7 machine learning models on the training set. (B) AUCs of 7 machine learning models on the internal validation set.
Among the seven models, the Random Forest (RF) model achieved the highest AUC on the validation set. To further understand its predictions, we performed a SHAP (SHapley Additive exPlanations) analysis, as shown in Figure 4. Despite the superior AUC of the RF model (0.877) on the validation set, concerns about potential overfitting prompted further comparison with the Logistic Regression (LR) model, which achieved a similar AUC (0.870). The difference between the two models’ AUCs was not statistically significant (p = 0.877). Ultimately, we selected the Logistic Regression model as the optimal predictive model due to its simplicity and interpretability.
Figure 4

SHAP diagram.
Multivariate logistic regression and predictive model development
A multifactor logistic regression prediction model was constructed, with disease diagnosis as the dependent variable, and the results are shown in Table 4. The final multifactor logistic regression formula was derived: LogitP = 20.16–0.67*LDL-1.66*HDL + 0.031*ALP + 0.004*UA-0.236*TP-0.16*Arg. The variance inflation factors (VIF) for all variables included in the model were less than 10, indicating the absence of multicollinearity.
Table 4
| Characteristics | B | SE | OR (95%CI) | P |
|---|---|---|---|---|
| LDL | −0.666 | 0.2392 | 0.513 (0.316–0.812) | 0.005 |
| HDL | −1.661 | 0.5454 | 0.189 (0.063–0.539) | 0.002 |
| ALP | 0.031 | 0.0093 | 1.031 (1.013–1.051) | 0.001 |
| UA | 0.004 | 0.00163 | 1.003 (1.001–1.007) | 0.015 |
| TP | −0.236 | 0.03929 | 0.789 (0.727–0.849) | 0 |
| Arg | −0.16 | 0.03027 | 0.851 (0.799–0.901) | 0 |
Multivariate logistic regression analysis in the training set.
Predictive model performance evaluation
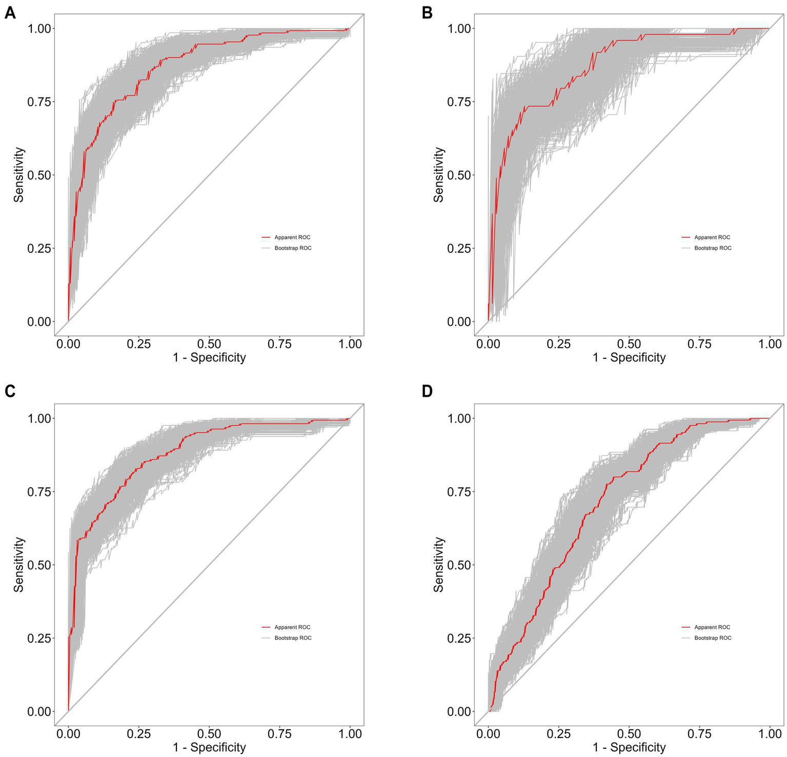
The performance of the predictive model was evaluated based on its discrimination and calibration abilities. After 500 bootstrap samples, the areas under the ROC curve (AUC) for the model in the training set, internal validation set, external validation set, and differential diagnosis set were 0.8763 (95% CI: 0.8342–0.9183), 0.9021 (95% CI: 0.8478–0.9564), 0.8753 (95% CI: 0.8404–0.9102), and 0.7071 (95% CI: 0.66–0.7542), respectively. These results indicate that the model performed well in distinguishing schizophrenia patients from healthy controls, but further improvement is needed for differentiating between schizophrenia and depressive disorder, as shown in Figure 5.
Figure 5

(A) Training set of 500 bootstrap ROC curves. (B) Internal validation set of 500 bootstrap ROC curves. (C) External validation set of 500 bootstrap ROC curves. (D) Differential diagnosis set of 500 bootstrap ROC curves.
We also assessed the predictive performance of the clinical prediction model. The Brier scores for the training set (0.146), internal validation set (0.150), external validation set (0.140), and differential diagnosis set (0.248) indicate that the model had low error and high accuracy in probability predictions. The calibration curves based on 500 bootstrap samples are shown in Figure 6. In addition, the Hosmer–Lemeshow calibration test p-values for the training set, internal validation set, external validation set, and differential diagnosis set were 0.5874, 0.162, 0.1494, and <0.05, respectively. This suggests that there was no significant difference between predicted probabilities and actual outcomes when distinguishing the schizophrenia group from healthy controls, but calibration performance was poorer when distinguishing between schizophrenia and depressive disorder.
Figure 6

(A) Training set of 500 bootstrap calibration curves. (B) Internal validation set of 500 bootstrap calibration curves. (C) External validation set of 500 bootstrap calibration curves. (D) Differential diagnosis set of 500 bootstrap calibration curves.
The performance parameters of the logistic regression model in the external validation cohort and the diagnostic cohort are detailed in Table 5.
Table 5
| Model | AUC | Sensitivity | Specificity | Pos pred value | Neg pred value | Precision | Recall | F1 |
|---|---|---|---|---|---|---|---|---|
| External validation cohort | 0.8753 | 0.713 | 0.854 | 0.807 | 0.777 | 0.807 | 0.713 | 0.757 |
| Diagnostic cohort | 0.7071 | 0.752 | 0.588 | 0.515 | 0.803 | 0.515 | 0.752 | 0.611 |
Performance metrics of logistic regression models in the external validation cohort and diagnostic cohort.
Nomogram construction and assessment of clinical efficacy
A nomogram for predicting schizophrenia was developed by incorporating six significant predictors identified through multivariate analysis. The visual representation of the predictive model is presented as a nomogram in Figure 7. The clinical utility of the model was evaluated using decision curve analysis. The results demonstrated that the range of threshold probabilities for achieving maximum net benefit was 0.05 to 100% in the training set, 0.07 to 93% in the internal validation set, 0.05 to 100% in the external validation set, and 0.08 to 52% in the differential diagnosis set, as shown in Figure 8.
Figure 7

Nomogram for predicting schizophrenia.
Figure 8

(A) DCA for the training set. (B) DCA for the internal validation. (C) DCA for the external validation. (D) DCA for the differential diagnosis set.
Discussion
In this study, an auxiliary diagnostic tool for schizophrenia was developed based on the results of seven machine learning approaches. Among these approaches, Random Forest demonstrated the best performance, with an AUC of 1.00 in the training set and 0.877 in the validation set, as visualized using SHAP analysis. The variable importance rankings of the random forest model were: TP, Arg, HDL, ALP, UA, LDL, while those of the logistic regression model based on odds ratios were: HDL, LDL, TP, Arg, ALP, UA. This difference may be primarily attributed to the fact that logistic regression is a linear model, where variable importance is determined by coefficient magnitude, reflecting the strength of linear relationships with the target variable, while random forest is a non-linear model, where variable importance is based on decision tree split effectiveness, considering the overall predictive power of the variables. Logistic regression was ultimately selected as the final model to mitigate the risk of overfitting.
In Góngora Alonso et al.’s study, the Random Forest algorithm achieved an AUC of 0.796 in predicting inpatient schizophrenia patients, demonstrating strong discriminatory ability (14). Similarly, Yupeng He et al.’s SZ classifier achieved an AUC of 0.86 in internal validation. However, in external validation, especially when differentiating patients with bipolar disorder and major depression, the misclassification rate exceeded 50%, highlighting challenges in distinguishing schizophrenia from other psychiatric disorders (15). Additionally, Carmen Soria Bretones et al. analyzed EEG recordings using a deep learning-based system, achieving an AUC of approximately 0.93 and demonstrating very high differentiation accuracy (16). When the model was used to distinguish between similar diseases, it demonstrated moderate discriminatory ability (AUC 0.7071). The model maintained relatively robust sensitivity (0.752) and negative predictive value (0.803) when distinguishing between schizophrenia and depression, indicating that it has some value in identifying true schizophrenia cases and providing reliable negative predictive results, potentially aiding in the preliminary exclusion of schizophrenia in complex cases. However, the model’s performance in the diagnostic set was somewhat lower than that in the training set, particularly in terms of specificity (0.588) and positive predictive value (0.515), which suggest room for improvement. This indicates that the model faces challenges in distinguishing between similar diseases and that its generalization performance needs to be optimized. The F1 score (0.611) also reflects the model’s potential for improvement in this complex differential diagnosis task. This result indicates that the model is currently suitable for distinguishing between healthy individuals and schizophrenia, suggesting that future research could further explore incorporating more disease-specific features or optimizing the model strategy to enhance its accuracy and robustness in distinguishing such mentally disorders with similar phenotypes.
In contrast to these studies, our model utilizes conventional blood indicators, achieving an AUC of 0.87 in both the training and validation sets. This performance is comparable to existing studies in terms of discriminatory accuracy, while offering significant advantages in data accessibility and model simplicity. By relying on non-invasive and easily collected blood data, our study simplifies clinical application while maintaining a high level of discrimination, which is critical for the early identification and intervention of schizophrenia.
The logistic regression results in this study showed that ALP and UA were positively correlated with schizophrenia, while LDL, HDL, TP, and Arg were negatively correlated. Serum uric acid (UA) levels were found to be significantly higher in patients with schizophrenia compared to normal controls, consistent with the findings of Canlı and Demir. Their study reported elevated UA levels in patients with schizophrenia, schizoaffective disorder, and bipolar disorder compared to healthy controls, which may be attributed to oxidative stress and alterations in the purinergic system (17). Ma et al. proposed that uric acid, a natural antioxidant, is influenced by various factors in patients with schizophrenia, including oxidative stress, cellular damage, drug use, metabolic disorders, nutritional status, lifestyle factors, smoking, and ethnic background (18).
The specific role of alkaline phosphatase (ALP) in the blood–brain barrier (BBB) is mainly reflected in its regulation of BBB integrity and function. Tissue-nonspecific alkaline phosphatase (TNAP) is highly expressed in brain microvascular endothelial cells (BMECs) and participates in maintaining the integrity of the BBB through the Rho-associated protein kinase (ROCK) pathway. Moreover, TNAP activity is closely related to the barrier function of the BBB, and its inhibition can lead to BBB dysfunction and exacerbation of inflammatory responses (19). In inflammatory diseases such as sepsis, TNAP activity in key brain regions is decreased, resulting in impaired BBB function, promoting leukocyte infiltration into the brain parenchyma and the release of pro-inflammatory cytokines, thereby inducing neuroinflammation and long-term cognitive dysfunction (20). Therefore, TNAP plays an important role in maintaining BBB integrity and regulating neuroinflammation. Changes in ALP levels, potentially linked to immune responses, may reflect the immunopathology of schizophrenia (21).
Our study observed that patients with schizophrenia had lower levels of HDL and LDL than healthy controls, a finding that is in line with Tian et al. who found that patients with schizophrenia in the acute phase and who were not on medication had lower lipid metabolic parameters (22). In addition, a review by Goh et al. emphasized the possible role of dysfunction of the oxytocin system in the association of schizophrenia with the metabolic syndrome, which may affect lipid metabolism (23). Our study also found reduced serum total protein in patients with schizophrenia this is in line with the findings of Yin et al. (24).
Arginine is a conditionally essential amino acid that plays a key role in central nervous system function and immune regulation. Beyond its basic metabolic roles, arginine is the substrate for nitric oxide synthase (NOS), which produces nitric oxide (NO)—a critical neuromodulator involved in glutamatergic transmission. Dysregulation of the arginine–NO pathway has been shown to influence NMDA receptor function: insufficient NO signaling may reduce NMDA receptor activation and impair synaptic plasticity, whereas excessive NO production can trigger oxidative and nitrosative stress, contributing to neuronal dysfunction (25). Moreover, shunting of arginine metabolism toward the arginase pathway can decrease NO bioavailability and increase polyamine synthesis, mechanisms associated with neuroinflammation and excitatory–inhibitory imbalance (26). The bidirectional interaction between NO and NMDA receptor activity—where NMDA receptor–mediated Ca2+ influx activates NOS, and NO subsequently modulates glutamate release—provides a plausible mechanistic link between peripheral metabolic disturbances and central neurotransmission abnormalities in schizophrenia (27, 28). Our findings show that serum arginine levels are reduced in patients with schizophrenia. This is consistent with evidence from postmortem brain analyses demonstrating altered arginine metabolites in schizophrenia (29) and serum metabolomic studies reporting decreased arginine concentrations in chronic schizophrenia (30). Together, these results suggest that disruptions in arginine metabolism may contribute to NO signaling abnormalities and NMDA receptor–related dysfunction, supporting a potential role for the arginine–NO pathway in the pathophysiology of schizophrenia.
In this study, we analyzed independent risk factors among blood indicators for schizophrenia and developed a visual nomogram accordingly. The model demonstrated strong predictive performance in terms of discrimination, calibration, and clinical efficacy. Notwithstanding its findings, this study has several limitations. First, the inclusion of participants from a single institution and exclusively of Chinese descent may introduce homogeneity in genetic background, lifestyle patterns, and clinical characteristics. Consequently, the generalizability of our model may be limited, and its performance might vary across diverse geographic regions, healthcare systems, or ethnic groups. Furthermore, the retrospective nature of this study design carries an inherent risk of selection bias. To minimize this bias, we adopted a consecutive enrollment strategy, including all eligible subjects during the study period. Nevertheless, the inherent limitations of the retrospective design may still affect the interpretation of our results. Another limitation of this study is that although we used the Minhang Campus as an external validation set, strictly speaking, the Minhang Campus and the Shanghai Mental Health Center belong to the same medical system. In the future, our research team will select completely independent external data to validate the model. Additionally, due to the retrospective nature of this study, certain parameters that may influence metabolism (such as smoking status and BMI) were unavailable. Although our model identified low-density lipoprotein (LDL), uric acid (UA), high-density lipoprotein (HDL), and other biomarkers as predictive factors, we acknowledge that the absence of smoking and body mass index (BMI) data may introduce confounding factors. Epidemiological studies have shown that smoking can increase uric acid levels by approximately 20% (31), HDL-C levels are significantly lower in smokers compared to non-smokers (32), and LDL-C levels are on average 11.0% higher (33); obesity (BMI > 30) can lead to an increase in LDL-C levels of 15–30% (34). Future work should therefore include multicenter, prospective validation to enhance robustness. Additionally, incorporating lifestyle-related variables (e.g., diet, physical activity, smoking, sleep) may provide a more comprehensive representation of individual health status. Integrating routine blood indicators with imaging features or digital phenotypes (such as wearable device data or behavioral markers) could further improve the predictive accuracy and clinical utility of future models.
In summary, the schizophrenia prediction model based on Arg, TP, ALP, HDL, UA, and LDL provides an objective and reliable tool for clinical auxiliary diagnosis.
Statements
Data availability statement
The raw data supporting the conclusions of this article will be made available by the authors, without undue reservation.
Ethics statement
This is a retrospective study, conducted in accordance with relevant ethical guidelines and approved by the Shanghai Mental Health Centre under approval number 2024 KY-190. The studies were conducted in accordance with the local legislation and institutional requirements. The participants provided their written informed consent to participate in this study.
Author contributions
WJ: Data curation, Formal analysis, Writing – original draft. SC: Validation, Writing – review & editing. QG: Data curation, Writing – original draft. DL: Formal analysis, Writing – original draft. WL: Data curation, Writing – original draft. MW: Project administration, Writing – original draft. QC: Investigation, Writing – original draft. PL: Conceptualization, Methodology, Validation, Writing – review & editing.
Funding
The author(s) declare that financial support was received for the research and/or publication of this article. This work was supported by the Shanghai Jiao Tong University “Star of Jiao Tong University” Programme Medical-Industrial Interdisciplinary Research Fund YG2024LC12; National Medical Centre Health Commission of China, Reference intervals of 15 structural proteins and their significance for clinical diagnosis of cerebral cognitive impairment diseases, WZZ20230201; National Key Research and Development Programme Project: Research on the Diagnostic System and Key Treatment Technologies for Mood and Behavioral Disorders in the Elderly (2024YFC2510200); Development of a Specific Biomarker Screening and Risk Assessment System (2024YFC2510202); and 2024 Shanghai Municipal Health Commission Medical New Technology Research and Transformation Seed Program, Establishment and Application Transformation of Key Technology System for Precise Diagnosis of Cognitive Impairment in the Elderly, 2024ZZ1032.
Conflict of interest
The authors declare that the research was conducted in the absence of any commercial or financial relationships that could be construed as a potential conflict of interest.
Generative AI statement
The authors declare that no Gen AI was used in the creation of this manuscript.
Any alternative text (alt text) provided alongside figures in this article has been generated by Frontiers with the support of artificial intelligence and reasonable efforts have been made to ensure accuracy, including review by the authors wherever possible. If you identify any issues, please contact us.
Publisher’s note
All claims expressed in this article are solely those of the authors and do not necessarily represent those of their affiliated organizations, or those of the publisher, the editors and the reviewers. Any product that may be evaluated in this article, or claim that may be made by its manufacturer, is not guaranteed or endorsed by the publisher.
References
1.
American Psychiatric Association . Diagnostic and statistical manual of mental disorders. 5th ed. Arlington: American Psychiatric Publishing (2013).
2.
Arbabshirani MR Plis S Sui J Calhoun VD . Single-subject prediction of brain disorders in neuroimaging: promises and pitfalls. NeuroImage. (2017) 145:137–65. doi: 10.1016/j.neuroimage.2016.02.079
3.
Dwyer DB Falkai P Koutsouleris N . Machine learning approaches for clinical psychology and psychiatry. Annu Rev Clin Psychol. (2018) 14:91–118. doi: 10.1146/annurev-clinpsy-032816-045037
4.
Topol EJ . High-performance medicine: the convergence of human and artificial intelligence. Nat Med. (2019) 25:44–56. doi: 10.1038/s41591-018-0300-7
5.
Miller BJ Buckley P Seabolt W Mellor A Kirkpatrick B . Meta-analysis of cytokine alterations in schizophrenia: clinical implications. Biol Psychiatry. (2011) 70:663–71. doi: 10.1016/j.biopsych.2011.04.013
6.
Ng F Berk M Dean O Bush AI . Oxidative stress in psychiatric disorders: evidence base and therapeutic implications. Int J Neuropsychopharmacol. (2008) 11:851–76. doi: 10.1017/S1461145707008401
7.
Goldsmith DR Rapaport MH Miller BJ . A meta-analysis of blood cytokine network alterations in psychiatric patients. Mol Psychiatry. (2016) 21:1696–709. doi: 10.1038/mp.2016.3
8.
Zinellu A Tommasi S Carru C Sotgia S Mangoni AA . A systematic review and meta-analysis of nitric oxide–associated arginine metabolites in schizophrenia. Transl Psychiatry. (2024) 14:439. doi: 10.1038/s41398-024-03157-7
9.
Levin Y Wang L Schwarz E Koethe D Leweke FM Bahn S . Global proteomic profiling reveals altered proteomic signature in schizophrenia serum. Mol Psychiatry. (2010) 15:1088–100. doi: 10.1038/mp.2009.54
10.
Sekaran S Vimalraj S Thangavelu L . The physiological and pathological role of tissue nonspecific alkaline phosphatase beyond mineralization. Biomolecules. (2021) 11:1564. doi: 10.3390/biom11111564
11.
Tkachev A Stekolshchikova E Vanyushkina A Zhang H Morozova A Zozulya S et al . Lipid alteration signature in the blood plasma of individuals with schizophrenia, depression, and bipolar disorder. JAMA Psychiatr. (2023) 80:250–9. doi: 10.1001/jamapsychiatry.2022.4350
12.
He Q You Y Yu L Yao L Lu H Zhou X et al . Uric acid levels in subjects with schizophrenia: a systematic review and meta-analysis. Psychiatry Res. (2020) 292:113305. doi: 10.1016/j.psychres.2020.113305
13.
Fu Y Zhou N Yu Y Zhang H Sun Y Zhang M et al . Profiling of schizophrenia-associated serum peptides by MALDI-TOF-MS. J Neural Transm (Vienna). (2020) 127:95–101. doi: 10.1007/s00702-019-02108-7
14.
Góngora Alonso S Marques G Agarwal D De la Torre DI Franco-Martín M . Comparison of machine learning algorithms in the prediction of hospitalized patients with schizophrenia. Sensors (Basel). (2022) 22:2517. doi: 10.3390/s22072517
15.
He Y Sakuma K Kishi T Li Y Matsunaga M Tanihara S et al . External validation of a machine learning model for schizophrenia classification. J Clin Med. (2024) 13:2970. doi: 10.3390/jcm13102970
16.
Soria Bretones C Roncero Parra C Cascón J Borja AL Mateo Sotos J . Automatic identification of schizophrenia employing EEG records analyzed with deep learning algorithms. Schizophr Res. (2023) 261:36–46. doi: 10.1016/j.schres.2023.09.010
17.
Canlı D Demir AD . Evaluation of serum natural antioxidant levels in patients with schizophrenia, schizoaffective disorder, and bipolar disorder. Ankyra Med J. (2024) 3:41–5. doi: 10.51271/ANKMJ-0008
18.
Ma H Cheng N Zhang C . Schizophrenia and Alarmins. Medicina (Kaunas). (2022) 58:694. doi: 10.3390/medicina58060694
19.
Nwafor DC Brichacek AL Wang W Bidwai N Lilly CL Luis Millán J et al . Brain endothelial cell tissue-nonspecific alkaline phosphatase (TNAP) activity promotes maintenance of barrier integrity via the ROCK pathway. bioRxiv. (2021) 1–20. doi: 10.1101/2021.03.25.437097
20.
Nwafor DC Brown CM . A novel role for tissue-nonspecific alkaline phosphatase at the blood-brain barrier during sepsis. Neural Regen Res. (2021) 16:99–100. doi: 10.4103/1673-5374.286958
21.
Saleem A Qurat-Ul-Ain AMF . Alternative therapy of psychosis: potential phytochemicals and drug targets in the management of schizophrenia. Front Pharmacol. (2022) 13:895668. doi: 10.3389/fphar.2022.895668
22.
Tian Y Yang C Liu L Zhao X Fan H Xia L et al . The associations of psychopathology and metabolic parameters with serum bilirubin levels in patients with acute-episode and drug-free schizophrenia: a 5-year retrospective study using an electronic medical record system. BMC Psychiatry. (2024) 24:403. doi: 10.1186/s12888-024-05862-5
23.
Goh KK Chen CY Wu TH Chen CH Lu ML . Crosstalk between schizophrenia and metabolic syndrome: the role of oxytocinergic dysfunction. Int J Mol Sci. (2022) 23:7092. doi: 10.3390/ijms23137092
24.
Yin XY Cai Y Zhu ZH Zhai CP Li J Ji CF et al . Associations of decreased serum total protein, albumin, and globulin with depressive severity of schizophrenia. Front Psych. (2022) 13:957671. doi: 10.3389/fpsyt.2022.957671
25.
Garthwaite J . Concepts of neural nitric oxide-mediated transmission. Eur J Neurosci. (2008) 27:2783–802. doi: 10.1111/j.1460-9568.2008.06285.x
26.
Morris SM Jr . Recent advances in arginine metabolism: roles and regulation of the arginases. Br J Pharmacol. (2009) 157:922–30. doi: 10.1111/j.1476-5381.2009.00278.x
27.
Hardingham GE Bading H . Synaptic versus extrasynaptic NMDA receptor signalling: implications for neurodegenerative disorders. Nat Rev Neurosci. (2010) 11:682–96. doi: 10.1038/nrn2911
28.
Calabrese V Mancuso C Calvani M Rizzarelli E Butterfield DA Stella AM . Nitric oxide in the central nervous system: neuroprotection versus neurotoxicity. Nat Rev Neurosci. (2007) 8:766–75. doi: 10.1038/nrn2214
29.
Liu P Jing Y Collie ND Dean B Bilkey DK Zhang H . Altered brain arginine metabolism in schizophrenia. Transl Psychiatry. (2016) 6:e871. doi: 10.1038/tp.2016.144
30.
Mednova IA Chernonosov AA Kasakin MF Kornetova EG Semke AV Bokhan NA et al . Amino acid and Acylcarnitine levels in chronic patients with schizophrenia: a preliminary study. Meta. (2021) 11:34. doi: 10.3390/metabo11010034
31.
Choi HK Atkinson K Karlson EW Willett W Curhan G . Purine-rich foods, dairy and protein intake, and the risk of gout in men. N Engl J Med. (2004) 350:1093–103. doi: 10.1056/NEJMoa035700
32.
Jain RB Ducatman A . Associations between smoking and lipid/lipoprotein concentrations among US adults aged ≥20 years. J Circ Biomark. (2018) 7:1849454418779310. doi: 10.1177/1849454418779310
33.
Hussein Ali E Hussein Abod Al-Khafaji K Hassan Abood A . Effect of smoking on low-density lipoproteins level in human. Arch Razi Inst. (2022) 77:1971–4. doi: 10.22092/ARI.2022.358326.2191
34.
Klop B Elte JW Cabezas MC . Dyslipidemia in obesity: mechanisms and potential targets. Nutrients. (2013) 5:1218–40. doi: 10.3390/nu5041218
Summary
Keywords
schizophrenia, predictive model, machine learning, biomarkers, nomogram
Citation
Jin W, Chen S, Gao Q, Li D, Lu W, Wang M, Chen Q and Lin P (2026) A clinical prediction model for schizophrenia based on machine learning algorithms. Front. Med. 12:1726905. doi: 10.3389/fmed.2025.1726905
Received
17 October 2025
Revised
16 November 2025
Accepted
18 November 2025
Published
05 January 2026
Volume
12 - 2025
Edited by
Maxim Sharaev, Skolkovo Institute of Science and Technology, Russia
Reviewed by
Alexandre Hudon, Montreal University, Canada
Orlov Vyacheslav, Kurchatov Institute, Russia
Updates
Copyright
© 2026 Jin, Chen, Gao, Li, Lu, Wang, Chen and Lin.
This is an open-access article distributed under the terms of the Creative Commons Attribution License (CC BY). The use, distribution or reproduction in other forums is permitted, provided the original author(s) and the copyright owner(s) are credited and that the original publication in this journal is cited, in accordance with accepted academic practice. No use, distribution or reproduction is permitted which does not comply with these terms.
*Correspondence: Ping Lin, Linpingsun20000@aliyun.com
Disclaimer
All claims expressed in this article are solely those of the authors and do not necessarily represent those of their affiliated organizations, or those of the publisher, the editors and the reviewers. Any product that may be evaluated in this article or claim that may be made by its manufacturer is not guaranteed or endorsed by the publisher.