- 1Pirogov Russian National Research Medical University, Moscow, Russia
- 2Institute of Biomedical Chemistry, Moscow, Russia
- 3Mental Health Research Center, Moscow, Russia
- 4Research Institute of Molecular and Cellular Medicine, RUDN University, Moscow, Russia
- 5Moscow Center for Advanced Studies, Moscow, Russia
- 6Banzarov Buryat State University, Ulan-Ude, Russia
The differentiation of pluripotent stem cells into neurons is an essential area of biomedical research, with significant implications for understanding neural development and treating neurological diseases. This study compares neural cultures derived from a common induced pluripotent stem cell line (KYOU-DXR0109B) generated by two widely adopted methods: DUAL SMAD inhibition and exogenous NGN2 overexpression. The DUAL SMAD inhibition method, which differentiates through the neural stem cell stage, produces heterogeneous cultures containing a mix of neurons, neural precursors, and glial cells. Conversely, NGN2 overexpression generates more homogeneous cultures composed predominantly of mature neurons. Transcriptomic analysis revealed significant differences in neural gene markers expression profiles, with cultures from the DUAL SMAD inhibition method enriched in neural stem cell and glial markers, while NGN2 overexpression cultures showed elevated markers for cholinergic and peripheral sensory neurons. This study underscores the importance of choosing appropriate differentiation protocols based on the desired cell types, as each method yields neural cultures with distinct cellular compositions. Understanding these differences can help optimize protocols for specific research and therapeutic applications.
1 Introduction
There is a wide variety of different methods and protocols for differentiation of pluripotent stem cells (PSCs) into neurons in vitro (Chambers et al., 2009; Zhang et al., 2013; Galiakberova and Dashinimaev, 2020). Globally, two main approaches to 2D generation of neurons from PSCs can be distinguished. The first one is differentiation of PSCs into neurons through the neural stem cell (NSC) stage, and the second one is direct differentiation of PSCs into neurons.
One of the most popular methods of the first approach is the DUAL SMAD inhibition method developed by Chambers and colleagues in 2009 (Chambers et al., 2009). This method is based on inhibition of two pathways of SMAD signaling activation (Lefty/Activin/TGFβ- and BMP-signaling pathways) in PSCs using small molecules (Smith et al., 2008; Yu et al., 2008; Chambers et al., 2009). This inhibition results in the differentiation of PSCs into neuroectoderm cells and their derivatives - neural stem cells. The obtained NSCs can be cultured for some number of passages or directed to terminal differentiation. This approach in a sense mimics the step-by-step processes of neurogenesis. As a result, neural cultures can be obtained, in which, however, contain not only neurons, but also various types of neural precursors as well as glial cells (Chambers et al., 2009; Sudina et al., 2024). In addition, despite the simplicity of this approach, it is quite time-consuming.
The approach with direct differentiation of PSCs into neurons involves exogenous overexpression of transcription factors that determine neuronal fate, such as Neurogenin 2 (NGN2) (Zhang et al., 2013; Lin et al., 2021). Protocols for exogenous overexpression of the NGN2 gene can use plasmids, viruses, synthetic mRNA or CRISPR genome editing technologies to obtain constitutive, inducible or temporary expression. The best known and used protocol is lentiviral transduction of PSCs with the TetON system for tetracycline-regulated transgene expression (Urlinger et al., 2000; Zhang et al., 2013). Induction of temporary overexpression of NGN2 in PSCs leads to their rapid differentiation into neurons without delaying the cells at the precursor stage. At the same time, the resulting neural cultures are mainly composed of neurons and do not contain glial cells (Zhang et al., 2013). Despite the rapidity and efficiency, this method is labor-intensive due to the need to obtain transgenic PSCs expressing NGN2 as part of the TetON system.
Although both of the aforementioned neuron generation approaches are quite actively used and studied, researchers do not always have an understanding of which approach should be used for specific tasks. In addition, each approach has many different protocols and modifications, which may affect the final outcome of these approaches. In this study, we compared the transcriptomic profiles of neural cultures derived from the same induced pluripotent stem cell (iPSC) line using two different approaches: an approach with differentiation of neurons through the stage of NSCs derived from iPSCs by DUAL SMAD inhibition method (N-DSi), and an approach with exogenous NGN2 overexpression based on lentiviral transgene delivery within a tetracycline-activated system (iN-NGN2).
2 Materials and methods
2.1 iPSC culture
The iPS-KYOU cell line was obtained from the ATCC cell bank. Initially iPS-KYOU was generated in the Shinya Yamanaka laboratory (Kyoto University, Japan) using retroviral transfection of adult female skin fibroblasts. (KYOU-DXR0109B, ACS-1023™, ATCC®, United States).
IPS cells were cultured under standard conditions (at 37 °C in a CO2-incubator with 5% CO2). For passaging cells were incubated with Accutase™ сell detachment solution for 5 min at 37 °C, then washed twice in DPBS (PanEco) solution with centrifugation. The precipitate was resuspended in growth medium, counted and plated on dishes coated with matrigel solution in mTeSR™1 medium (Stem Cell Technologies). The medium was changed every day. Rock-inhibitor Y-27632 (5 μM; Abcam) was supplemented to the medium on the day of passaging and the next day.
2.2 Generation NGN2-induced neurons
2.2.1 Lentivirus preparation and lentiviral transduction
The IPSC line containing a transgenic NGN2 cassette under the TetON tetracycline-inducible promoter was generated using rtTA-N144 and TRET-hNgn2-UBC-PuRo plasmids obtained from the Addgene depository. The rtTA-N144 plasmid was a gift from Andrew Yu (Addgene plasmid #66810; http://n2t.net/addgene:66810; RRID: Addgene_66,810). The pLV_TRET_hNgn2_UBC_Puro plasmid was a gift from Ron Weiss (Addgene plasmid #61474; http://n2t.net/addgene:61474; RRID: Addgene_61,474). To assemble lentiviral particles, we used HEK293TN packing cells [kindly provided by Dr. A. P. Bolshakov (INHA RAS, Moscow, Russia)]. On day 0, cells were seeded in an amount of 10^6 cells in a 6-cm Petri dish. On day 1, cells were co-transfected with three helper plasmids [pLP1 — 4 μg, pLP2 — 2 μg, pVSVG — 1 μg (Invitrogen)] and 4 μg of lentiviral vector DNA by mixing the plasmids in 300 μL of serum-free OPTI-MEM medium (Gibco) using Lipofectamine2000 reagent (Invitrogen), based on a ratio of 11 μL of reagent per 11 μg of total plasmid mixture. The plasmid and reagent mixture was then added to cells in complete growth medium [DMEM (PanEco), 10% FBS (Capricorn), GlutaMax (1 mM; Gibco), sodium pyruvate (1 mM; Gibco), PenStrep (50 μg/mL; Gibco)]. Transfection was performed for 4 h, after which the cell medium was changed to fresh complete growth medium. After 72 h (Day 4), the culture medium containing packed lentiviruses was collected, centrifuged at 100 g for 5 min, and sterilised through a 0.45 μm filter.
2.2.2 Generation of TetON-NGN2 expressing iPSCs
For lentiviral transduction of iPSC, growth medium (mTeSR™1) was changed to a mixture (1:1) of mTeSRTM1 with lentivirus-containing supernatant and supplemented with Polybrene (5 μg/mL). After 24 h the medium was changed to mTeSR™1 supplemented with 5 μM Rock-inhibitor. iPS cells expressing TetON-NGN2 were maintained in the presence of selective antibiotics – Puromycin (0.5 μg/mL; Sigma) and Hygromycin B (50 μg/mL; Serva).
2.2.3 Neural differentiation of iPS-tetON-NGN2
For neuronal differentiation of iPSC-TetON-NGN2 was performed as described in our previous work (Galiakberova et al., 2022). Briefly, cells were plated on matrigel-coated petri dishes in mTeSR™1 medium supplemented with Y-27632 (5 μM) (day 0). Doxycycline (1 μg/mL; Sigma) was added from day 0 to day 5 to induce NGN2 transgene expression. The medium was changed every day. To inhibit proliferation of undifferentiated iPSCs, Cytosine-β-d-arabinofuranoside (Ara-C) (0.1 μg/mL; Sigma) was added to the culture medium on days 2 and 3. On day 4 differentiating cultures were dissociated with Accutase™ сell detachment solution. Detached and washed cells were plated into new petri dishes, subsequently pre-coated with poly-D-Lysine (Gibco) and Matigel solutions in mixed N2B27 [Neurobasal medium (Gibco), DMEM/F12 (PanEco), GlutaMax (1 mM; Gibco), sodium pyruvate (1 mM; Gibco), PenStrep (50 μg/mL; Gibco), β-Mercaptoethanol (0.1 mM; Sigma-Aldrich), N2-supplement (100x; Gibco), B27-supplement (50x; Gibco)] and mTeSR™1 (1:1) supplemented with human BDNF (10 ng/mL; Petrotech), NGF (20 ng/mL; Petrotech), Y-27632 (5 μM) and doxycycline (2 μg/mL).
On day 5 the medium was changed to N2B27 medium supplemented with human BDNF (10 ng/mL; Petrotech), NGF (20 ng/mL; Petrotech), Y-27632 (5 μM) and doxycycline (1 μg/mL). From day 6 neuronal cultures were maintained without doxycycline. After day 7, half the culture medium was changed, twice a week.
2.3 Induction of neural differentiation of iPSCs using the dual SMAD inhibition method
Neuronal differentiation of iPSCs through the stage of NSCs obtained using the method of DUAL SMAD inhibition was performed as described (Galiakberova et al., 2023). In summary, for DUAL SMAD induction of iPSCs commercially available Neural Induction Medium kit (PSC Neural Induction Medium, Life Technologies) was used. Obtained NSC were cultured in Neural Proliferation Medium (NPM) [DMEM/F12 (Capricorn) with DMEM (Capricorn) v1:1, B27 Supplement (50x, Gibco), 20 ng/mL bFGF (Gibco), 20 ng/mL EGF (Gibco), Sodium Pyruvate (1 mM; Gibco), PenStrep (50 μg/mL; Gibco)] supplemented with Y-27632 (5 μM) for 5 passages. After the 5th passage, NSCs were allowed to go into spontaneous terminal differentiation. For this purpose, at day 0 of differentiation we seeded NSCs at a low density (40 × 103 cells/cm2) on a new matrigel-coated plastic surface in neural differentiation medium N2B27 [Neurobasal (Gibco) with DMEM/F12 (Capricorn), v1:1, GlutaMax (1 mM; Gibco), Sodium Pyruvate (1 mM; Gibco), PenStrep (50 μg/mL; Gibco), β-Mercaptoethanol (0.1 mM; Sigma-Aldrich), N2-supplement (100x; Gibco), B27-supplement (50x; Gibco)] without growth factors but supplemented with Y-27632 (5 μM).
2.4 Total RNA extraction
Cells were detached using Accutase™ сell detachment solution (Stem Cell Technologies, Canada) washed with DPBS twice and collected by centrifugation. For total RNA extraction we used the ExtractRNA kit (Evrogen, Russia), according to the manufacturer’s instructions. The concentration of isolated RNA was measured using an Implen P360 spectrophotometer.
2.5 Quantitative RT-PCR analysis
We used 1 μg of total RNA for cDNA synthesis. After DNaseI (ThermoFisher, USA) treatment we performed reverse transcription with oligo-dT primers with MMLV-RT Kit (Evrogen, Russia), according to the manufacturer’s instructions. Sequences of primers for the genes of interest are listed in Table 1. Six genes were tested previously as a neuron qPCR data normalization housekeeping genes (ACTb, C1orf43, EMC7, GAPDH, PSMB4, REEP5) to find suitable normalization factors (Artyukhov et al., 2017; Artyuhov et al., 2019). According to geNorm software indications, EMC7 and PSMB4 were chosen for normalization. We used the ΔΔCt method for calculation of relative expression. First N-DSi sample was used as a calibrator. Statistical significance was calculated according to Welch’s test using SciPy.
2.6 RNA-seq
cDNA libraries were made starting with 1 μg of RNA with NEBNext Ultra II Directional RNA Library Prep (New England Biolabs, USA) and barcoded with index primers for pooled sequencing.
The gene-level counts were estimated with the “salmon” tool (version 1.2.1). During data preparation, genes with insufficient reads (not expressed in the analyzed cells) were removed using the filterByExpr function from the R edgeR package (version 3.42.0). For clustering of samples and genes, Pearson correlation coefficient values as a similarity measure and Ward’s method were used. The heatmap.2 function from the gplots package (version 3.1.3) was used to construct a heatmap of the clustering. To perform principal component and multidimensional scaling analysis, and create heatmaps, read counts values were transformed to log2-counts per million (logCPM) using voom function from the R limma package (version 3.54.2). Differentially expressed genes were identified using the approach implemented in the functions of the edgeR package by comparison iN-NGN2 samples with N-DSi samples. Genes whose transcription was altered twofold with a Benjamini-Hochberg corrected p-value < 0.05 were selected to evaluate hyper- and hypo-expressed genes.
Enrichment analysis of signaling and metabolic pathways (Khatri et al., 2012) was performed with the g: Profiler web service (https://biit.cs.ut.ee/gprofiler/gost) using pathway information from the KEGG database (https://www.genome.jp/kegg/pathway.html) as well as Gene Ontology biological process information (http://geneontology.org). Only pathways and processes with an adjusted p-value < 0.05 were analyzed. The default g: SCS method proposed by g: SCS was used as a correction for multiple comparisons. The treemap method implemented in the R treemap package (version 2.4–3) was used to visualize the identified pathways and processes. Signaling and metabolic pathways were grouped according to the pathway classification presented in KEGG (https://www.genome.jp/kegg/pathway.html). Gene Ontology processes were clustered using information on their position in the acyclic directed graph and hence semantic similarity of terms. Wang’s method, implemented in the calculateSimMatrix function from the rrvgo package (version 1.10.0), was used to evaluate term similarity. Process clustering was performed using the average linkage method (function hclust), and clusters were identified using the cutreeDynamic function from the dynamicTreeCut package (version 1.63–1).
3 Results
3.1 Generation and characterization of neural cultures
To obtain neural cultures using the method with DUAL SMADi (hereinafter neural cultures will be referred to as N-DSi), iPSC-KYOU were differentiated into NSCs by small molecule inhibition of two SMAD-signaling pathways. At passage 5, NSCs were directed to spontaneous differentiation (Figures 1A,B). We considered the day when NSCs were plated on medium for differentiation as day 0.
 
  Figure 1. (A) Schematic representation for the experimental design. iPSC, induced pluripotent stem cell; NSC, neural stem cell; N-DSi, neural culture obtained from iPSC through the NSC stage using the DUAL SMAD inhibition protocol; iN-NGN2, NGN2-induced neural culture obtained from iPSC. (B) N-DSi; Phase contrast microscopy, scale bar 200 μm. (C) iN-NGN2; Phase contrast microscopy, scale bar 200 μm.
To obtain NGN2-induced neural cultures (hereafter referred to as iN-NGN2), we generated the transgenic line IPSC-KYOU-tetON-rtTA-NGN2. NGN2 induction and differentiation into neurons were induced by adding doxycycline to the medium (Day 0) (Figures 1A,C).
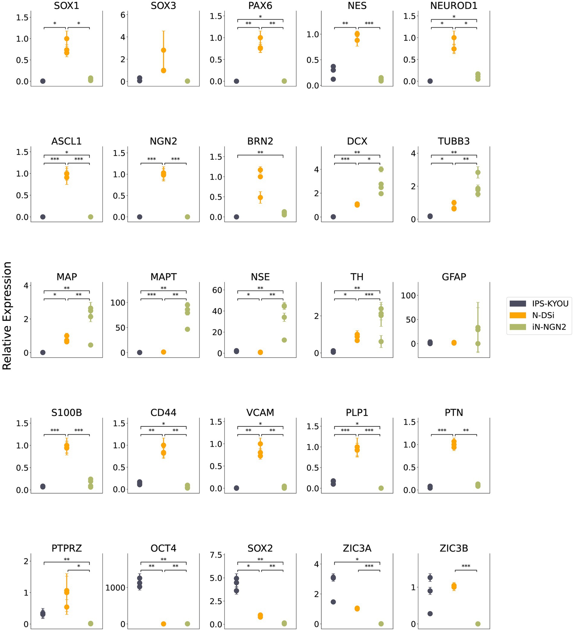
We analyzed the relative expression levels of marker genes by quantitative RT-PCR in two-week-old neural N-DSi and iN-NGN2 neural cultures, as well as the iPSC-KYOU line, which is the common source of both neural cultures. The results showed increased expression of NSC markers (SOX1, PAX6, NES) and neuronal precursor markers (NEUROD1, ASCL1, NGN2) of N-DSi compared to iPSC and iN-NGN2 (Figure 2).
 
  Figure 2. Results of quantitative RT-PCR analysis of marker gene expression levels in iPSC-KYOU (n = 3), N-DSi neural cultures (n = 3), and iN-NGN2 neural cultures (n = 4). The ordinate axis shows the expression level calculated by the -ΔΔCt method normalized to the expression of housekeeping genes (EMC7 and PSMB4). First N-DSi sample was used as a calibrator. Each dot represents a biological replicate. Error bars indicate the standard deviation of technical replicates. Statistical significance calculated using Welch’s test is indicated by asterisks (*p-value < 0.05; **p-value < 0.01; ***p-value < 0.001).
In addition, the expression of glial markers such as S100b, CD44, VCAM1, PLP1, PTN, and PTPRZ was higher in N-DSi. In contrast, neuronal markers (TUBB3, MAPT, NSE) as well as DCX (neuroblast and early neuronal marker) had higher expression levels in iN-NGN2 compared to N-DSi (Figure 2). These data indicate that non-neuronal cell types (NSCs and glial cells) predominate over neurons in N-DSi. In order to validate the heterogeneity of the studied cell cultures, and to highlight the presence of both neurons and astrocytes in N-DSi, we performed immunostaining and fluorescence microscopy (Supplementary Figure S2).
3.2 Transcriptome analysis of N-DSi and iN-NGN2 neural cultures
Transcriptome analysis included 4 samples (biological repeats) of 14-day iN-NGN2 neural cultures, and 6 samples of N-DSi neural cultures on day 14 of differentiation The results of transcriptome analysis showed that N-DSi and iN-NGN2 neural cultures differ in their transcriptome profiles (Figures 3, 4).
 
  Figure 3. Heatmaps of change in relative expression values of manually selected cell marker genes transcription on the z-score scale. Two asterisks (**) indicate genes with |logFC| > 1 and BH-adjusted p-value < 0.05. (A) Heatmap of neuronal markers. (B) Heatmap of other cell type markers.
 
  Figure 4. (A) Principal component analysis (PCA) applied to variance-stabilized transformed expression data. X and Y axes are principal components 1 and 2, respectively, explaining 97 and 2% of the variance. (B) Volcano plot of differentially expressed genes in iN-NGN2 compared to N-DSi. Each dot represents a gene, with coordinates indicating the effect (log2 fold change of expression in iN-NGN2 vs. N-DSi) vs. statistical significance (−log10 p-value, BH adjusted). Yellow dots correspond to genes whose expression changes both have an absolute fold change > 2 and a p-value < 0.05. Specific genes mentioned in the text are shown in the picture.
We evaluated the differences between N-DSi and iN-NGN2 relative gene expression of markers of different neuronal types, as well as different neural progenitors and other cell types (Figure 3; Supplementary Table S1).
iN-NGN2 differs from N-DSi by higher expression of most of the selected mature neuron marker genes such as SYP, SYN, ENO2 (NSE), NEFL, et al. (Figure 3A). Moreover, the relative expression level of both mature and immature neuronal markers in iN-NGN2 is much higher than in N-DSi (Figure. 3A). Also, iN-NGN2 neural cultures are characterized by increased expression of marker genes of cholinergic and glutamatergic neurons, but not GABAergic. In addition, the expression of markers of peripheral sensory neurons (unspecified neurotransmitter specification) was detected (Figure 3A). The expression of neuroepithelial marker genes and neural progenitors of different stages is high in N-DSi compared to iN-NGN2 (Figure 3B). This suggests the presence of a significant proportion of undifferentiated neural progenitors in N-DSi neural cultures compared to iN-NGN2. In contrast to iN-NGN2, N-DSi neural cultures are significantly enriched in the expression of astrocyte markers (S100B, GFAP, SPARCL1, SLC1A3, ITGA6, et al.), oligodendrocytes (PTPRZ1, PLP1, OLIG3), and in addition, markers of other cell types such as endothelial (PDGFRB, CLDN5), vascular leptomeningeal cells and fibroblasts (DCN, COL1A1, PDGFRA, TAGLN), and stromal mesenchymal cells (COL6A3). This data further confirms the heterogeneity of cultures obtained through the NSC stage. In iN-NGN2, on the other hand, the expression of two iPSC markers (LIN28A, POU5F1), the mesenchymal marker THY1 and some oligodendrocyte markers (ALCAM, MBP) was increased (Figure 3B).
In the PCA plot, the N-DSi and iN-NGN2 sample clusters are located at different ends of the first PC, which explains 97% of variation (Figure 4A). It can also be seen that the iN-NGN2 biological repeats are separated into 2 clusters (Figure 4A), but the corresponding second PC explains only 2% of variation. Thus, based on the obtained results, it can be stated that N-DSi and iN-NGN2 neural cultures are reliably different from each other.
Genes whose transcription was altered twofold were selected for further analysis with an adjusted p-value < 0.05 (Figure 4B; Supplementary Table S2). A total of 5,253 genes were identified, of which 4,974 genes (95%) are protein-coding according to Ensembl (https://www.ensembl.org/index.html).
We then identified KEGG signaling and metabolic pathways and Gene Ontology processes enriched with differentially expressed genes in iN-NGN2 neural cultures compared to N-DSi (Supplementary Figure S1). Enrichment analysis of signaling and metabolic pathways (Khatri et al., 2012) is meant to find pathways that are more enriched with differentially expressed genes under investigation compared to a reference set of genes. Neural cultures of iN-NGN2 were significantly enriched in pathways characteristic of the nervous system (pathways associated with synapses of different neurotransmitter specification, neurotrophin signaling pathway, long-term potentiation, long-term depression, etc.) and the endocrine system (estrogen, oxytocin, gonadotropin-releasing hormone (GnRH) signaling pathways, as well as insulin, GnRH, aldosterone and renin secretion) (Supplementary Figure S1A). In addition, iN-NGN2 expressed genes of pathways associated with axonal growth, various types of transduction, such as calcium transduction (Supplementary Figure S1A). At the same time, compared to N-DSi, genes related to cell cycle progression, regulation of the pluripotent state of cells, DNA replication and repair, as well as WNT and TGFβ signaling pathways are hypo-expressed here (Supplementary Figure S1B).
Similar results were observed in the top 100 Gene Ontology processes identified for hyper- and hypo-expressed genes are shown in Supplementary Figures S1C,D. Compared with N-DSi, iN-NGN2 neural cultures are enriched with processes related to intercellular interactions and signaling, synapse organizations, neuronal synaptic plasticity and transmission, various synaptic processes including exocytosis and neurotransmitter secretion, action potential generation, and axonogenesis (Supplementary Figure S1C). At the same time, processes related to cell cycle regulation and progression, mitotic processes and division, regulation of transcription, RNA and macromolecule metabolism, embryogenesis, neural tube and nervous system development, and cell adhesion and migration are more prominent in N-DSi (Supplementary Figure S1D). The detailed results of enrichment with biological processes are presented in Supplementary Tables S3, S4.
4 Discussion
We have compared the two most popular approaches to differentiate iPSCs into neurons: the approach with differentiation through the stage of NSCs derived from iPSCs using a method with DUAL SMAD inhibition, and the approach with induction of overexpression of exogenous NGN2 by lentiviral delivery of a tetracycline regulated transgene expression system.
We previously found that neural cultures spontaneously differentiated from iPSC-derived NSCs using a method with DUAL SMAD inhibition are highly heterogeneous which, however, contain cells expressing key neuronal markers. Nevertheless, the composition of heterogeneous cultures was influenced by the duration of NSCs cultivation as well as the iPSC lineage, the source of NSCs (Galiakberova et al., 2023).
Neural cultures obtained from iPSCs by overexpression of exogenous NGN2 were visually more homogeneous in cellular composition. Most of the cells of such culture had specific calcium activity and demonstrated the presence of ionotropic glutamate receptors (Galiakberova et al., 2022).
To compare the approaches, we analyzed the expression of marker genes by quantitative RT-PCR as well as the data of total transcriptome profiles of 14-day neural cultures derived from the same iPSC-KYOU line but by two different approaches. iN-NGN2, neural cultures obtained by overexpression of the NGN2 gene in iPSC-KYOU; N-DSi, neural cultures spontaneously differentiated from NSCs (derived from iPSC-KYOU using DUAL SMADi). Although it is known that the minimum maturation period for neurons produced by DUAL SMAD inhibition is 21–28 days (Telias et al., 2014), which is almost twice as long as for neurons induced by NGN2 overexpression (14 days) (Zhang et al., 2013), a single 14-day maturation period was chosen for comparative analysis. This decision was made in order to ensure comparability of conditions, as well as to emphasize the difference in the properties of neuron cultures during the same maturation period.
The results of quantitative RT-PCR demonstrated that both neural cultures differed in the relative expression levels of neuronal markers from the iPSC-KYOU from which both neural cultures were derived. However, the level of relative expression of NSC and glial cell markers was higher in N-DSi than in iN-NGN2, and the level of neuronal markers was lower. NGN2 expression was upregulated in N-DSi but not in iN-NGN2. This is consistent, since NGN2 is expressed in neuronal precursors and promotes their differentiation, but is not expressed in postmitotic neurons (Hulme et al., 2022).
An interesting result is the expression of ZIC3A and ZIC3B genes in N-DSi, comparable to that in iPSCs. ZIC3A and ZIC3B are isoforms of the transcription factor ZIC3 (Bedard et al., 2011). Expression of this transcription factor may indicate cell stemness, as its activity is required during early embryonic development (gastrulation, neurulation) (Herman and El-Hodiri, 2002), and in mouse embryonic stem cells, ZIC3 maintains their pluripotency (Lim et al., 2007; Yang et al., 2019). It is also known that ZIC3 is expressed in cells of the developing forebrain. It promotes the proliferation of neuron precursors and is also involved in their differentiation at various stages of brain development (Inoue et al., 2007; Winata et al., 2015). Thus, the expression of the isoforms of the ZIC3 gene once again emphasizes the presence of a significant proportion of proliferating stem cells in 14-day neural cultures obtained using the DUAL SMAD inhibition method.
The results of analyzing transcriptome profiles also showed significant differences between neural cultures. Metabolic and signaling pathway enrichment analysis showed that the transcriptional profile of N-DSi compared to iN-NGN2 was significantly enriched in pathways and processes related to proliferation, cell cycle maintenance, and WNT and TGFβ signaling pathways. At the same time, the transcriptional profile of iN-NGN2 was found to be enriched in various processes related to chemical synapses, neuronal plasticity, signal transduction, etc.
Compared to iN-NGN2, N-DSi cultures contained a large number of NSCs and neuronal precursors of different stages in addition to neurons. Moreover, the expression of various astroglial and oligodendrocytic genes, as well as marker genes of some other cell types, such as fibroblasts, endothelial, and vascular leptomeningeal cells, was detected. Which further confirms the heterogeneity of cultures obtained through the NSC stage.
It is generally known that NSCs derived from PSCs using a method with DUAL SMADi are capable of giving rise to both neuronal and glial branches (Chambers et al., 2009; Perriot et al., 2018; Lam et al., 2019). Based on this, various protocols have been developed to obtain astroglia from such NSCs (Perriot et al., 2018; Shimbo et al., 2020). In our experiment, we guided NSCs to spontaneous differentiation, which allowed cells to differentiate in different directions: both neuronal and glial. However, there is evidence that even when NSCs are directed to differentiate into neurons, glial cells are found in cultures (Fujimori et al., 2017; Nilsson et al., 2021). Astroglial cell markers were barely expressed in iN-NGN2, which also replicates the results of other protocols with induction of exogenous NGN2 overexpression (Chen et al., 2020; Lin et al., 2021; Schörnig et al., 2021). On the one hand, the presence of glial cells in the culture of neurons may interfere with some studies or tests, especially if a pure culture of neurons is required. On the other hand, it is known that glial cells support neurons not only in vivo, but also in vitro (Pyka et al., 2011; Clarke and Barres, 2013). Astroglia promotes better adhesion of neurons and their survival, and also secretes various neurotrophic factors (BDNF, NGF, GDNF) that contribute to synaptogenesis and neurophysiological maturation of neurons (Pfrieger, 2010; Tang et al., 2013). In this context, the method of obtaining neurons through DUAL SMAD inhibition has an undeniable advantage.
In addition to astroglia, other cell types are found in neuron cultures obtained using the DUAL SMAD inhibition approach. One of the studies aimed at obtaining dopaminergic neurons reported that the obtained neural cultures contained not only glial but also vascular leptomeningeal cells in addition to dopaminergic neurons and their immediate precursors (Nilsson et al., 2021). In iN-NGN2, however, markers of iPSCs and mesenchymal stem cells were detected. Such non-targeted cell populations were previously detected in a study where neurons were obtained by the same approach (Lin et al., 2021). And in another study, fibroblasts were detected (Schörnig et al., 2021). In general, such collateral non-neural fibroblast-like cell types can be expected when differentiating iPSCs derived from fibroblasts by reprogramming with pluripotency factors (Buckberry et al., 2023). In neurons derived by NGN2 overexpression, a neural stem cell population may be present as a bystander lineage (Vainorius et al., 2023), but in protocol we used the addition of AraC promotes the elimination of all actively proliferating cells, including NSCs.
Also, iN-NGN2 neural cultures, in contrast to N-DSi, demonstrated increased expression of marker genes of cholinergic and glutamatergic neurons, but expression of markers of GABAergic neurons was not observed. Interestingly, iN-NGN2 demonstrated not only cortical fate but also the fate of peripheral sensory neurons. All these results are consistent with the literature (Schuurmans et al., 2004; Nickolls et al., 2020) including those obtained by analyzing the transcriptomes of single neural culture cells derived by NGN2 overexpression (Lin et al., 2021; Schörnig et al., 2021). In contrast, some markers of GABAergic neurons were expressed in N-DSi, suggesting that method-based protocols with DUAL SMADi are more suitable for obtaining GABAergic neurons (Liu et al., 2013; Vigont et al., 2021).
Оur study has several limitations. First, only a single iPSC line was used. While iPS-KYOU is a common iPSC line, many others are widely used, and the reported effects could differ depending on the cell background. In the future, to confirm these results, it is necessary to compare neural cultures obtained by two approaches from several different iPSC lines. Secondly, for the generation of neuronal cultures, we utilized two methods routinely used in our laboratory. For the DUAL SMAD inhibition method, we used a popular commercial kit from Thermo (Gibco) with a composition that is not publicly disclosed. Using modified protocols of similar approaches could lead to different results. Thirdly, we analyzed neural cultures with a fairly short maturation period of 14 days. Probably, when comparing neural cultures with a longer maturation stage, we also could get different results. For example, Rosa et al. obtained completely different results in the context of neuron maturity, where they compared 3-6-month-old neural cultures obtained by the DUAL SMAD inhibition approach (the protocol differed from that in this article) with 14-19-day cultures of NGN2-induced neurons (Rosa et al., 2020). Fourth, it should be noted that the set of marker genes we chose cannot fully prove the presence of certain cell types, because often a cell type is characterized not by one or two markers, but by a whole set of genes and the degree of their expression. Moreover, some of them may mark other cell types as well.
Nevertheless, based on the data obtained, it can be stated that the obtained iN-NGN2 cultures are more homogeneous compared to N-DSi. Since this study employed bulk transcriptome analysis, which aggregates data from the entire cell population, the direct assessment of neuronal maturity under the DUAL SMADi protocol was associated with a risk of insufficient sensitivity due to the potential dilution of transcripts from mature neurons. To validate the interpretation of our data, we leveraged our previously published scRNA-seq results (Galiakberova et al., 2023), obtained from an identical culture under the same conditions. It was determined that at the corresponding stage of differentiation, the proportion of mature neurons in the population did not exceed 5% (Supplementary Figure 3). This allowed us to extrapolate the findings and interpret changes in marker expression in the bulk transcriptomic data as indicators of the neuronal maturation process itself, rather than merely a consequence of shifts in cellular composition.
Thus the results of our pilot study showed that neural cultures derived from iPSCs using the DUAL SMAD inhibition method through the NSC stage (N-DSi) were more heterogeneous with neurons comprised only a small proportion (on the 14th day of maturation) compared to neural cultures obtained from iPSCs via exogenous NGN2 overexpression (iN-NGN2). Furthermore, the expression levels of mature neuronal markers were significantly higher in iN-NGN2 compared to N-DSi. Nevertheless, residual iPSC-derived cells are likely present in iN-NGN2. Although cortical excitatory (glutamatergic) neurons predominate among the neurons in the neural cultures obtained by the two different approaches, the other minor neuronal types differ between the methods. For example, the DUAL SMAD inhibition approach produces neurons of different neurotransmitter specification: GABAergic, serotonergic, and dopaminergic. In contrast, NGN2-induced neural cultures do not express markers of these types; instead, markers indicating the presence of cholinergic neurons and, in addition, peripheral sensory neurons with unspecified neurotransmitter or functional properties are detected. Based on these preliminary results, it can be concluded that, at least for the studied iPSC line (iPS-KYOU), each of the two approaches yields neural cultures with a distinct spectrum of cell types. This variability should be considered when selecting a protocol for deriving neurons from iPSCs.
Data availability statement
The datasets presented in this study can be found in online repositories. The names of the repository/repositories and accession number(s) can be found at: https://www.ncbi.nlm.nih.gov/, PRJNA846149 and https://www.ncbi.nlm.nih.gov/, PRJNA113914.
Author contributions
AdG: Conceptualization, Data curation, Investigation, Methodology, Visualization, Writing – original draft, Writing – review & editing. SI: Data curation, Formal analysis, Investigation, Visualization, Writing – review & editing. ArG: Data curation, Formal analysis, Investigation, Methodology, Writing – review & editing. AA: Data curation, Investigation, Writing – review & editing. AZ: Data curation, Visualization, Writing – review & editing. NK: Data curation, Visualization, Writing – review & editing. AL: Data curation, Formal analysis, Writing – review & editing. VG: Conceptualization, Data curation, Methodology, Writing – review & editing. ED: Conceptualization, Data curation, Formal analysis, Funding acquisition, Methodology, Project administration, Resources, Supervision, Writing – review & editing.
Funding
The author(s) declare that financial support was received for the research and/or publication of this article. This research was funded by the Russian Science Foundation Grant No. 25–15-00443.
Conflict of interest
The authors declare that the research was conducted in the absence of any commercial or financial relationships that could be construed as a potential conflict of interest.
Generative AI statement
The authors declare that no Gen AI was used in the creation of this manuscript.
Any alternative text (alt text) provided alongside figures in this article has been generated by Frontiers with the support of artificial intelligence and reasonable efforts have been made to ensure accuracy, including review by the authors wherever possible. If you identify any issues, please contact us.
Publisher’s note
All claims expressed in this article are solely those of the authors and do not necessarily represent those of their affiliated organizations, or those of the publisher, the editors and the reviewers. Any product that may be evaluated in this article, or claim that may be made by its manufacturer, is not guaranteed or endorsed by the publisher.
Supplementary material
The Supplementary material for this article can be found online at: https://www.frontiersin.org/articles/10.3389/fnmol.2025.1661986/full#supplementary-material
References
Artyuhov, A. S., Dashinimaev, E. B., Mescheryakova, N. V., Ashikhmina, A. A., Vorotelyak, E. A., and Vasiliev, A. V. (2019). Detection of small numbers of iPSCs in different heterogeneous cell mixtures with highly sensitive droplet digital PCR. Mol. Biol. Rep. 46, 6675–6683. doi: 10.1007/s11033-019-05100-2
Artyukhov, A. S., Dashinimaev, E. B., Tsvetkov, V. O., Bolshakov, A. P., Konovalova, E. V., Kolbaev, S. N., et al. (2017). New genes for accurate normalization of qRT-PCR results in study of iPS and iPS-derived cells. Gene 626, 234–240. doi: 10.1016/j.gene.2017.05.045
Bedard, J. E., Haaning, A. M., and Ware, S. M. (2011). Identification of a novel ZIC3 isoform and mutation screening in patients with heterotaxy and congenital heart disease. PLoS One 6:e23755. doi: 10.1371/journal.pone.0023755
Buckberry, S., Liu, X., Poppe, D., Tan, J. P., Sun, G., Chen, J., et al. (2023). Transient naive reprogramming corrects hiPS cells functionally and epigenetically. Nature 620, 863–872. doi: 10.1038/s41586-023-06424-7
Chambers, S. M., Fasano, C. A., Papapetrou, E. P., Tomishima, M., Sadelain, M., and Studer, L. (2009). Highly efficient neural conversion of human ES and iPS cells by dual inhibition of SMAD signaling. Nat. Biotechnol. 27, 275–280. doi: 10.1038/nbt.1529
Chen, M., Maimaitili, M., Habekost, M., Gill, K. P., Mermet-Joret, N., Nabavi, S., et al. (2020). Rapid generation of regionally specified CNS neurons by sequential patterning and conversion of human induced pluripotent stem cells. Stem Cell Res. 48:101945. doi: 10.1016/j.scr.2020.101945
Clarke, L. E., and Barres, B. A. (2013). Emerging roles of astrocytes in neural circuit development. Nat. Rev. Neurosci. 14, 311–321. doi: 10.1038/nrn3484
Fujimori, K., Matsumoto, T., Kisa, F., Hattori, N., Okano, H., and Akamatsu, W. (2017). Escape from pluripotency via inhibition of TGF-beta/BMP and activation of Wnt signaling accelerates differentiation and aging in hPSC progeny cells. Stem Cell Reports 9, 1675–1691. doi: 10.1016/j.stemcr.2017.09.024
Galiakberova, A. A., Brovkina, O. I., Kondratyev, N. V., Artyuhov, A. S., Momotyuk, E. D., Kulmukhametova, O. N., et al. (2023). Different iPSC-derived neural stem cells shows various spectrums of spontaneous differentiation during long term cultivation. Front. Mol. Neurosci. 16:1037902. doi: 10.3389/fnmol.2023.1037902
Galiakberova, A. A., and Dashinimaev, E. B. (2020). Neural stem cells and methods for their generation from induced pluripotent stem cells in vitro. Front. Cell Dev. Biol. 8:815. doi: 10.3389/fcell.2020.00815
Galiakberova, A. A., Surin, A. M., Bakaeva, Z. V., Sharipov, R. R., Zhang, D., Dorovskoy, D. A., et al. (2022). IPSC-derived human neurons with GCaMP6s expression allow in vitro study of neurophysiological responses to neurochemicals. Neurochem. Res. 47, 952–966. doi: 10.1007/s11064-021-03497-6
Herman, G. E., and El-Hodiri, H. M. (2002). The role of ZIC3 in vertebrate development. Cytogenet. Genome Res. 99, 229–235. doi: 10.1159/000071598
Hulme, A. J., Maksour, S., St-Clair Glover, M., Miellet, S., and Dottori, M. (2022). Making neurons, made easy: the use of Neurogenin-2 in neuronal differentiation. Et al., making neurons, made easy: the use of Neurogenin-2 in neuronal differentiation. Stem Cell Reports 7, 14–34. doi: 10.1016/j.stemcr.2021.11.015
Inoue, T., Ota, M., Ogawa, M., Mikoshiba, K., and Aruga, J. (2007). Zic1 and Zic3 regulate medial forebrain development through expansion of neuronal progenitors. J. Neurosci. 27, 5461–5473. doi: 10.1523/JNEUROSCI.4046-06.2007
Khatri, P., Sirota, M., and Butte, A. J. (2012). Ten years of pathway analysis: current approaches and outstanding challenges. PLoS Comput. Biol. 8:e1002375. doi: 10.1371/journal.pcbi.1002375
Lam, M., Sanosaka, T., Lundin, A., Imaizumi, K., Etal, D., Karlsson, F. H., et al. (2019). Single-cell study of neural stem cells derived from human iPSCs reveals distinct progenitor populations with neurogenic and gliogenic potential. Genes Cells 24, 836–847. doi: 10.1111/gtc.12731
Lim, L. S., Loh, Y. H., Zhang, W., Li, Y., Chen, X., Wang, Y., et al. (2007). Zic3 is required for maintenance of pluripotency in embryonic stem cells. Mol. Biol. Cell 18, 1348–1358. doi: 10.1091/mbc.e06-07-0624
Lin, H. C., He, Z., Ebert, S., Schörnig, M., Santel, M., Nikolova, M. T., et al. (2021). NGN2 induces diverse neuron types from human pluripotency. Stem Cell Reports 16, 2118–2127. doi: 10.1016/j.stemcr.2021.07.006
Liu, Y., Liu, H., Sauvey, C., Yao, L., Zarnowska, E. D., and Zhang, S. C. (2013). Directed differentiation of forebrain GABA interneurons from human pluripotent stem cells. Nat. Protoc. 8, 1670–1679. doi: 10.1038/nprot.2013.106
Nickolls, A. R., Lee, M. M., Espinoza, D. F., Szczot, M., Lam, R. M., Wang, Q., et al. (2020). Transcriptional programming of human Mechanosensory neuron subtypes from pluripotent stem cells. Cell Rep. 30, 932–946.e7. doi: 10.1016/j.celrep.2019.12.062
Nilsson, F., Storm, P., Sozzi, E., Hidalgo Gil, D., Birtele, M., Sharma, Y., et al. (2021). Single-cell profiling of coding and noncoding genes in human dopamine neuron differentiation. Cells 10. doi: 10.3390/cells10010137
Perriot, S., Mathias, A., Perriard, G., Canales, M., Jonkmans, N., Merienne, N., et al. (2018). Human induced pluripotent stem cell-derived astrocytes are differentially activated by multiple sclerosis-associated cytokines. Stem Cell Reports 11, 1199–1210. doi: 10.1016/j.stemcr.2018.09.015
Pfrieger, F. W. (2010). Role of glial cells in the formation and maintenance of synapses. Brain Res. Rev. 63, 39–46. doi: 10.1016/j.brainresrev.2009.11.002
Pyka, M., Busse, C., Seidenbecher, C., Gundelfinger, E. D., and Faissner, A. (2011). Astrocytes are crucial for survival and maturation of embryonic hippocampal neurons in a neuron-glia cell-insert coculture assay. Synapse 65, 41–53. doi: 10.1002/syn.20816
Rosa, F., Dhingra, A., Uysal, B., Mendis, G. D. C., Loeffler, H., Elsen, G., et al. (2020). In vitro differentiated human stem cell-derived neurons reproduce synaptic synchronicity arising during neurodevelopment. Stem Cell Reports 15, 22–37. doi: 10.1016/j.stemcr.2020.05.015
Schörnig, M., Ju, X., Fast, L., Ebert, S., Weigert, A., Kanton, S., et al. (2021). Comparison of induced neurons reveals slower structural and functional maturation in humans than in apes. eLife 10:e59323. doi: 10.7554/eLife.59323
Schuurmans, C., Armant, O., Nieto, M., Stenman, J. M., Britz, O., Klenin, N., et al. (2004). Sequential phases of cortical specification involve Neurogenin-dependent and -independent pathways. EMBO J. 3, 2892–2902. doi: 10.1038/sj.emboj.7600278
Shimbo, E., Nukuzuma, S., and Tagawa, Y. I. (2020). Human iPS cell-derived astrocytes support efficient replication of progressive multifocal leukoencephalopathy-type JC polyomavirus. Biochem. Biophys. Res. Commun. 533, 983–987. doi: 10.1016/j.bbrc.2020.09.117
Smith, J. R., Vallier, L., Lupo, G., Alexander, M., Harris, W. A., and Pedersen, R. A. (2008). Inhibition of Activin/nodal signaling promotes specification of human embryonic stem cells into neuroectoderm. Dev. Biol. 313, 107–117. doi: 10.1016/j.ydbio.2007.10.003
Sudina, A. K., Ivanov, M. E., Yurin, A. M., Makarov, A. V., Fatkhudinov, T. K., Goldstein, D. V., et al. (2024). Influence of glial progenitor cells on the restoration of sensorimotor deficits in rats after traumatic brain injury. RUDN J Med. 28, 319–330. doi: 10.22363/2313-0245-2024-28-3-319-330
Tang, X., Zhou, L., Wagner, A. M., Marchetto, M. C. N., Muotri, A. R., Gage, F. H., et al. (2013). Astroglial cells regulate the developmental timeline of human neurons differentiated from induced pluripotent stem cells. Stem Cell Res. 11, 743–757. doi: 10.1016/j.scr.2013.05.002
Telias, M., Segal, M., and Ben-Yosef, D. (2014). Electrical maturation of neurons derived from human embryonic stem cells. F1000Res 3:196. doi: 10.12688/f1000research.4943.2
Urlinger, S., Baron, U., Thellmann, M., Hasan, M. T., Bujard, H., and Hillen, W. (2000). Exploring the sequence space for tetracycline-dependent transcriptional activators: novel mutations yield expanded range and sensitivity. Proc. Natl. Acad. Sci. USA 97, 7963–7968. doi: 10.1073/pnas.130192197
Vainorius, G., Novatchkova, M., Michlits, G., Baar, J. C., Raupach, C., Lee, J., et al. (2023). Ascl1 and Ngn2 convert mouse embryonic stem cells to neurons via functionally distinct paths. Nat. Commun. 14:5341. doi: 10.1038/s41467-023-40803-y
Vigont, V. A., Grekhnev, D. A., Lebedeva, O. S., Gusev, K. O., Volovikov, E. A., Skopin, A. Y., et al. (2021). STIM2 mediates excessive store-operated calcium entry in patient-specific iPSC-derived neurons modeling a juvenile form of Huntington’s disease. Front. Cell Dev. Biol. 9:625231. doi: 10.3389/fcell.2021.625231
Winata, C. L., Kondrychyn, I., and Korzh, V. (2015). Changing faces of transcriptional regulation reflected by Zic3. Curr. Genomics 16, 117–127. doi: 10.2174/1389202916666150205124519
Yang, S. H., Andrabi, M., Biss, R., Murtuza Baker, S., Iqbal, M., and Sharrocks, A. D. (2019). ZIC3 controls the transition from naive to primed pluripotency. Cell Rep. 27, 3215–3227.e6. doi: 10.1016/j.celrep.2019.05.026
Yu, P. B., Hong, C. C., Sachidanandan, C., Babitt, J. L., Deng, D. Y., Hoyng, S. A., et al. (2008). Dorsomorphin inhibits BMP signals required for embryogenesis and iron metabolism. Nat. Chem. Biol. 4, 33–41. doi: 10.1038/nchembio.2007.54
Keywords: iPSC, neural differentiation, DUAL SMAD inhibition, NGN2, RNA-seq
Citation: Galiakberova A, Ivanov S, Golov A, Artyuhov A, Zolkin A, Kondratyev N, Lagunin A, Golimbet V and Dashinimaev E (2025) Transcriptomic profiling of neural cultures from the KYOU iPSC line via alternative differentiation protocols. Front. Mol. Neurosci. 18:1661986. doi: 10.3389/fnmol.2025.1661986
Edited by:
Han Wang, Soochow University, ChinaReviewed by:
Daniel Édgar Cortés-Pérez, Janelia Research Campus, United StatesBogumila Swietek, Other, Woodcliff Lake, NJ, United States
Copyright © 2025 Galiakberova, Ivanov, Golov, Artyuhov, Zolkin, Kondratyev, Lagunin, Golimbet and Dashinimaev. This is an open-access article distributed under the terms of the Creative Commons Attribution License (CC BY). The use, distribution or reproduction in other forums is permitted, provided the original author(s) and the copyright owner(s) are credited and that the original publication in this journal is cited, in accordance with accepted academic practice. No use, distribution or reproduction is permitted which does not comply with these terms.
*Correspondence: Adelya Galiakberova, YWRnYWxpYWtiZXJvdmFAZ21haWwuY29t
 Arkadiy Golov3
Arkadiy Golov3