SYSTEMATIC REVIEW article
Front. Physiol.
Sec. Exercise Physiology
Evaluation of both Overall and Individual FMS Components Results in Male and Female Groups: A Systematic Review and Meta-Analysis
Provisionally accepted- 1Soochow University School of Physical Education and Sports, Suzhou, China
- 2Kyungpook National University, Daegu, Republic of Korea
- 3Tomsk State University, Institute of Physical Culture and Sports, Tomsk Oblast, Russia
- 4Soochow University, Suzhou, China
- 5Shenyang Normal University, Shenyang, China
Select one of your emails
You have multiple emails registered with Frontiers:
Notify me on publication
Please enter your email address:
If you already have an account, please login
You don't have a Frontiers account ? You can register here
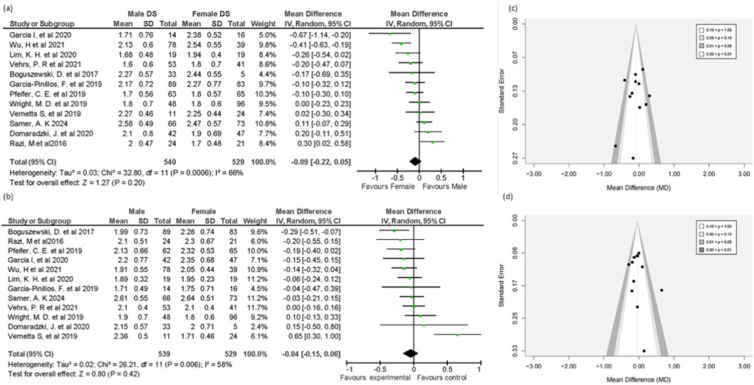
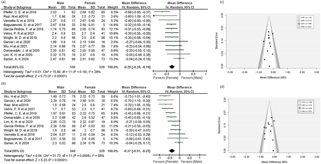
Objectives: This meta-analysis aimed to identify gender-based differences of both overall Functional Movement Screen (FMS) and individual FMS components in male and female groups. Methods: A comprehensive search was performed across three major databases (PubMed, Web of Science, and Google Scholar) to ensure rigorous inclusion criteria. Data collection took place from 2016 to 2024, and 1235 articles were identified. After scrutiny, 20 met the requirements for inclusion. The Review Manager 5.4 and CMAv4 software were utilized to 2 examine the FMS score results to ensure rigorous statistical evaluation. Data were synthesized using a random-effect model, with the Mean difference (MD) and 95% confidence interval (CI) used to calculate effect size. Results: The overall FMS score showed that the functional movement capacities of males and females differed; females performed higher (MD = -0.46, 95% CI = -0.83, -0.08, P = 0.02) compared to males . A meta-analysis of 7 individual FMS components was conducted to assess the importance for both sexes. However, tests on specific areas showed significant gender differences: females outperformed males in shoulder mobility (p < 0.00001), active straight leg raise (p < 0.00001), hurdle step (p = 0.01), and rotary stability (p = 0.002). In contrast, males demonstrated significantly greater trunk stability (p < 0.0001) compared to females. Despite this, the in-line lunge (p = 0.42) and deep squat (p = 0.20) demonstrated no significant difference across gender. Conclusion: These outcomes highlight significant gender-based differences that can help identify weaknesses and strengths, which may assist coaches, trainers, and individuals in recommending gender-specific exercises and training programs. Systematic Review Registration: The study registration number: CRD42025104394
Keywords: FMS score, functional movement screening, Gender difference, Individual FMS, Male and female
Received: 21 Jul 2025; Accepted: 10 Dec 2025.
Copyright: © 2025 Ahmad, Zhang, Younas, Parveen, Shi, Lu and Song. This is an open-access article distributed under the terms of the Creative Commons Attribution License (CC BY). The use, distribution or reproduction in other forums is permitted, provided the original author(s) or licensor are credited and that the original publication in this journal is cited, in accordance with accepted academic practice. No use, distribution or reproduction is permitted which does not comply with these terms.
* Correspondence:
Yunhang Lu
Zhengxue Song
Disclaimer: All claims expressed in this article are solely those of the authors and do not necessarily represent those of their affiliated organizations, or those of the publisher, the editors and the reviewers. Any product that may be evaluated in this article or claim that may be made by its manufacturer is not guaranteed or endorsed by the publisher.
