SYSTEMATIC REVIEW article
Front. Physiol.
Sec. Exercise Physiology
Effects of exercise on bone mineral density and bone turnover markers in adults: A systematic review and meta-analysis
Provisionally accepted- Shandong Sport University, Jinan, China
Select one of your emails
You have multiple emails registered with Frontiers:
Notify me on publication
Please enter your email address:
If you already have an account, please login
You don't have a Frontiers account ? You can register here
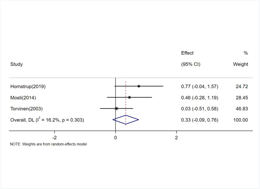
Objective: The primary objective of this study is to investigate the effects of exercise on bone mineral density and bone turnover markers in adults. Methods: A systematic search was conducted in PubMed, Embase, the Cochrane Library, and Web of Science from inception to November 14, 2025, study quality was assessed using the cochrane risk of bias tool. Meta-analyses were performed using Stata 17. Publication bias was evaluated using Egger’s test, and sensitivity analyses were conducted to assess the robustness of the findings. Results: The meta-analysis showed that, in subgroup analyses by age, exercise significantly increased lumbar spine BMD [SMD = 0.46, 95% CI (0.16, 0.76), P<0.01] and femoral neck BMD [SMD = 0.42, 95% CI (0.13, 0.71), P <0.01] in young adult women under 30 years of age. Subgroup analysis by exercise modality indicated that combined exercise significantly improved femoral neck BMD [SMD = 0.49, 95% CI (0.08, 0.90), P = 0.02] and total body BMD [SMD = 0.52, 95% CI (0.08, 0.97), P = 0.02]. Furthermore, exercise significantly elevated levels of bone formation markers, including OC [SMD = 0.41, 95% CI (0.17, 0.64), P < 0.01] and BALP [SMD = 0.71, 95% CI (0.36, 1.06), P < 0.01]. Subgroup analysis by exercise session duration showed that exercise programs shorter than 4 months were associated with increased OC [SMD = 0.41, 95% CI (0.12, 0.71), P < 0.01] and P1NP [SMD = 0.69, 95% CI (0.14, 1.24), P = 0.01], while BALP levels were significantly elevated both in interventions shorter than 4 months and those longer than 4 months. Conclusions: This systematic review and meta-analysis indicate that exercise significantly increases lumbar spine and femoral neck BMD in young adult women under the age of 30. Additionally, combined exercise shows significant benefits in improving femoral neck and whole-body BMD in adult women. Furthermore, in terms of bone metabolism, exercise effectively promotes the elevation of bone formation markers OC and BALP in adults. Specifically, short-term interventions (less than 4 months) significantly increase OC and P1NP levels, while BALP levels show significant increases following both short-term and long-term (≥4 months) interventions.
Keywords: Exercise, BMD, Bone turnover markers, adults, Meta-analysis
Received: 25 Jul 2025; Accepted: 08 Dec 2025.
Copyright: © 2025 Miao, Li, Zhang, Liu, Xiao and Wang. This is an open-access article distributed under the terms of the Creative Commons Attribution License (CC BY). The use, distribution or reproduction in other forums is permitted, provided the original author(s) or licensor are credited and that the original publication in this journal is cited, in accordance with accepted academic practice. No use, distribution or reproduction is permitted which does not comply with these terms.
* Correspondence: Xiaoqiang Wang
Disclaimer: All claims expressed in this article are solely those of the authors and do not necessarily represent those of their affiliated organizations, or those of the publisher, the editors and the reviewers. Any product that may be evaluated in this article or claim that may be made by its manufacturer is not guaranteed or endorsed by the publisher.
