ORIGINAL RESEARCH article
Front. Physiol.
Sec. Exercise Physiology
Entropy as a Marker of Physiological Transition During Pediatric Cardiopulmonary Exercise Testing
Provisionally accepted- 1University of Virginia, Charlottesville, United States
- 2University of California Irvine, Irvine, United States
Select one of your emails
You have multiple emails registered with Frontiers:
Notify me on publication
Please enter your email address:
If you already have an account, please login
You don't have a Frontiers account ? You can register here
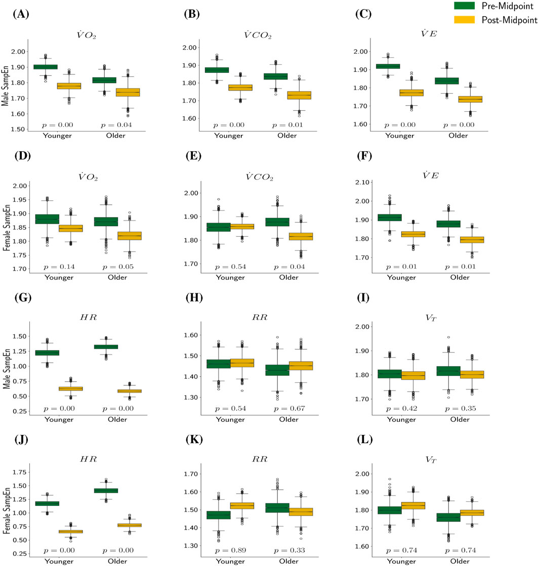
This research analyzed the sample entropy (SampEn) of breath-by-breath cardiopulmonary exercise testing (CPET) data from 170 healthy pediatric participants (85 males) 8 to 18-years-old, using a Bayesian statistics approach. SampEn measures the complexity of time series data, providing quantitative insight into the predictability of breathing patterns in pediatric participants. To address non-stationarity, signals were differenced prior to SampEn calculation. In addition to sex and age group comparisons, we examined SampEn before and after the midpoint of each participant's CPET to assess how SampEn changes as exercise intensity increases. We corroborated previous findings that SampEn decreases in the later half of CPET for healthy pediatric participants for oxygen uptake ($\dot{V}O_2$), carbon dioxide output ($\dot{V}CO_2$), ventilation ($\dot{V}E$), and heart rate ($HR$). Females tended to have higher SampEn than their male counterparts, with a statistically significant difference between the sexes in older participants for $\dot{V}O_2$, $\dot{V}CO_2$, $\dot{V}E$, $HR$, and respiratory rate ($RR$). Age-related findings included: significantly higher SampEn in younger males compared to older males for $\dot{V}O_2$ and $\dot{V}E$ and older female participants had a higher SampEn in older females compared to younger females for HR. These findings support SampEn as a sensitive, non-invasive marker of physiological transition during pediatric CPET, with potential applications in exercise physiology research and clinical assessment.
Keywords: entropy, Pediatrics, Cardiopulmonary exercise testing, Breath-by-breath, bayesian statistics
Received: 03 Sep 2025; Accepted: 28 Oct 2025.
Copyright: © 2025 O'Hara, Brown, Cooper, Stehli, Radom Aizik and Kupperman. This is an open-access article distributed under the terms of the Creative Commons Attribution License (CC BY). The use, distribution or reproduction in other forums is permitted, provided the original author(s) or licensor are credited and that the original publication in this journal is cited, in accordance with accepted academic practice. No use, distribution or reproduction is permitted which does not comply with these terms.
* Correspondence: Kaleigh O'Hara, ear3cg@virginia.edu
Disclaimer: All claims expressed in this article are solely those of the authors and do not necessarily represent those of their affiliated organizations, or those of the publisher, the editors and the reviewers. Any product that may be evaluated in this article or claim that may be made by its manufacturer is not guaranteed or endorsed by the publisher.
