ORIGINAL RESEARCH article
Front. Physiol.
Sec. Cell Physiology
Structural Integrity of RyR2 Clusters Controls Cardiac Calcium Leak
Provisionally accepted- Physics & Astronomy, California State University, Northridge, Los Angeles, CA, United States
Select one of your emails
You have multiple emails registered with Frontiers:
Notify me on publication
Please enter your email address:
If you already have an account, please login
You don't have a Frontiers account ? You can register here
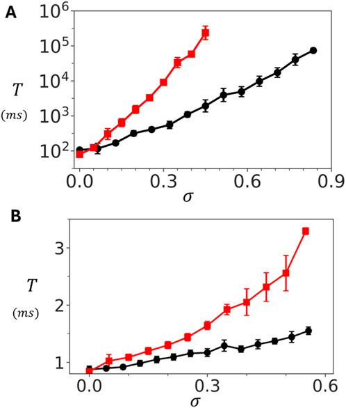
Calcium (Ca) leak from the sarcoplasmic reticulum is a key contributor to cardiac arrhythmias, yet the structural mechanisms that regulate spontaneous Ca release from ryanodine receptor type 2 (RyR2) clusters remain poorly understood. To investigate how cluster architecture controls Ca leak, we developed a computational model in which each RyR2 channel is composed of four interacting subunits and embedded within spatially organized clusters. This framework captures both cooperative gating within individual channels and coupling between neighboring channels. Our simulations reveal that the timing of spontaneous Ca sparks is exponentially dependent on the structural integrity of the RyR2 cluster. This exponential sensitivity means that even small disruptions in cluster structural integrity, such as partial fragmentation, can lead to a 100-1000 times increase in spontaneous Ca spark frequency. These findings identify cluster structural integrity as a powerful control mechanism for Ca leak, and represent a promising therapeutic target for restoring Ca homeostasis in cardiac myocytes.
Keywords: RyR2, Calcium release channel, Cardiac arhythmias, Channel cluster, spontaneous release
Received: 24 Oct 2025; Accepted: 25 Nov 2025.
Copyright: © 2025 noren and Shiferaw. This is an open-access article distributed under the terms of the Creative Commons Attribution License (CC BY). The use, distribution or reproduction in other forums is permitted, provided the original author(s) or licensor are credited and that the original publication in this journal is cited, in accordance with accepted academic practice. No use, distribution or reproduction is permitted which does not comply with these terms.
* Correspondence: Yohannes castro Shiferaw
Disclaimer: All claims expressed in this article are solely those of the authors and do not necessarily represent those of their affiliated organizations, or those of the publisher, the editors and the reviewers. Any product that may be evaluated in this article or claim that may be made by its manufacturer is not guaranteed or endorsed by the publisher.
