ORIGINAL RESEARCH article
Front. Remote Sens.
Sec. Agro-Environmental Remote Sensing
A Low-Cost MLS Prototype for Voxel-Based Above-Ground Biomass Estimation in Short-Rotation Plantations
Provisionally accepted- 1Technical University of Zvolen, Zvolen, Slovakia
- 2Universiteit Gent, Ghent, Belgium
- 3Univerzita Mateja Bela v Banskej Bystrici, Banská Bystrica, Slovakia
Select one of your emails
You have multiple emails registered with Frontiers:
Notify me on publication
Please enter your email address:
If you already have an account, please login
You don't have a Frontiers account ? You can register here
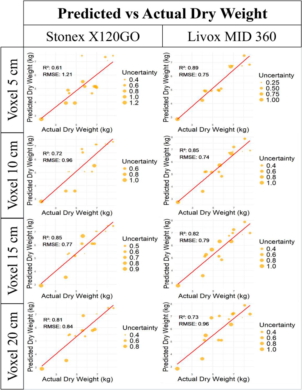
Short-rotation plantations of fast-growing trees (FGT) offer a sustainable biomass source to mitigate climate change and boost rural energy self-sufficiency. Accurate estimation of woody above-ground biomass (AGB) is critical for efficient management and utilization of these plantations. This study evaluates modern mobile laser scanning (MLS) techniques for dry-weight AGB estimation, comparing a commercial MLS system with a low-cost prototype built on the Livox Mid-360 sensor. Research was carried out in a dense, second-rotation poplar clone plantation. Thirty-one research plots were scanned using both MLS setups, then harvested and oven-dried to obtain reference dry weights. Point clouds were processed via a voxel-based approach at four resolutions (5, 10, 15 and 20 cm) to develop regression models correlating total voxel volume with dry biomass.The low-cost prototype delivered its best performance at 5 cm voxel size (R² = 0.84; rRMSE = 12.2%), markedly outperforming the commercial system at the same resolution (R² = 0.68; rRMSE = 17.5%). The commercial MLS achieved its optimum at 20 cm voxels (R² = 0.82; rRMSE = 12.9%). Predictive models were validated using 16 plots for training and 15 for testing. The prototype yielded the highest precision for dry weight prediction (R² = 0.89; rRMSE = 12.9%), while the commercial MLS excelled in fresh-weight estimation at 15 cm resolution (R² = 0.92; rRMSE = 12.0%). These results demonstrate that affordable MLS solutions can match or exceed the performance of higher-cost systems for dry AGB estimation in high-density poplar stands. Implementing low-cost laser scanning improves monitoring frequency, reduces operational expenses, and enables large-scale application in short-rotation forestry. This approach supports evidence-based decision-making for sustainable bioenergy production. Future work will explore integrating multispectral data and automated processing pipelines to further enhance biomass estimation accuracy and scalability across diverse forest conditions.
Keywords: Mobile laser scanning, Low-cost LiDAR, fast-growing trees plantation, Voxelization, Dry weight estimation
Received: 18 Jul 2025; Accepted: 31 Oct 2025.
Copyright: © 2025 Skladan, Singh, Chuda, Lieskovsky, Masny and Výbošťok. This is an open-access article distributed under the terms of the Creative Commons Attribution License (CC BY). The use, distribution or reproduction in other forums is permitted, provided the original author(s) or licensor are credited and that the original publication in this journal is cited, in accordance with accepted academic practice. No use, distribution or reproduction is permitted which does not comply with these terms.
* Correspondence: Jozef  Výbošťok, jozef.vybostok@tuzvo.sk
Disclaimer: All claims expressed in this article are solely those of the authors and do not necessarily represent those of their affiliated organizations, or those of the publisher, the editors and the reviewers. Any product that may be evaluated in this article or claim that may be made by its manufacturer is not guaranteed or endorsed by the publisher.
