- 1Department of Forestry & Natural Resources, National Ilan University, Yilan, Taiwan
- 2Center for Diagnostics and Vaccine Development, Centers for Disease Control, Ministry of Health and Welfare, Taipei, Taiwan
Taiwan is a densely populated and developed island known for its industrial activities. A significant concern is the Taiwanese Habu (Protobothrops mucrosquamatus), a venomous snake that has increasingly conflicted with humans in the Lanyang Plain in northeast Taiwan. This rise in conflict is mainly attributed to urban expansion and the loss of agricultural land. From 2011 to 2015, research was conducted in collaboration with the local government and 16 fire stations responsible for managing human-snake interactions. The study focused on two primary objectives: first, to assess the effects of urbanization on human-viper conflict, and second, to analyze the characteristics of conflict sites in the Lanyang Plain while studying the natural history of P. mucrosquamatus near human settlements. Additionally, the research evaluated the impact of viper removal operations conducted by the fire stations. The findings revealed that the number of conflict cases and the dynamics of P. mucrosquamatus are increasing annually, particularly in highly urbanized, moderately urbanized, and low urbanized areas, correlating with land development activities. Conflicts have intensified across 10 districts, spreading from the town center to a 1,000-meter buffer zone in highly urbanized regions (n=2). In districts with medium to low urbanization (n=8), conflicts decreased within a 500- to 750-meter buffer zone around the town center, linked to Lanyang Plain’s population density. The primary factor contributing to disputes between residents and vipers is related to landscape features along the urbanization gradient, especially the proportion of intermediate green spaces. Principal Component Analysis (PCA) identified that the presence of buildings and transportation infrastructure is the leading landscape factor influencing the frequency of conflict events between P. mucrosquamatus and residents. This suggests that the development of such infrastructure significantly impacts the occurrence of these conflicts. The annual mortality rate of vipers handled or transported by firefighters can be as high as 11.03 ± 2.63% (mean ± SD, n=5). This study will also describe the natural history of P. mucrosquamatus, covering aspects such as reproduction, fecundity, diet, and parasite infection rates. The diet and prey of P. mucrosquamatus reflect the characteristics of urban environments and provide ecosystem services for residents.
1 Introduction
Human-snake conflict events occur worldwide, spanning tropical to temperate regions (Hauptfleisch and Theart, 2018; Yue et al., 2019; Bateman et al., 2021; Parkin et al., 2021; Ratnarathorn et al., 2024; Kuttalam et al., 2025). The patterns and consequences of these conflicts vary by geographic region, climate (Yue et al., 2019; Hauptfleisch et al., 2021; Parkin et al., 2021; Kuttalam et al., 2025), social structures, welfare, and medical conditions (Mohapatra et al., 2011), economic systems, local snake fauna (Ratnarathorn et al., 2024), and the origin of the snake (Terada, 2011). These variations lead to various consequences, including biodiversity loss (Ratnarathorn et al., 2024), accidental snake bites from venomous species, which can result in mortality or disability (Mohapatra et al., 2011; Kuttalam et al., 2025), damage to livestock and pets (Bolon et al., 2019), and disruptions to human activities due to the presence of snakes, which may cause harassment of residents (Yue et al., 2019; Hauptfleisch et al., 2021). To enhance human health and well-being while reducing biodiversity loss, various research efforts aim to understand the origins and patterns of these conflicts and propose recommendations for their mitigation or prevention (Hauptfleisch and Theart, 2018; Bateman et al., 2021; Parkin et al., 2021; Ratnarathorn et al., 2024; Kuttalam et al., 2025).
Concerns regarding animal responses to Human-Induced Rapid Environmental Change (HIREC) have become prominent since the 2010s, particularly in evolution, ecology, and conservation (Robertson et al., 2013; Hale and Swearer, 2016). Urbanization is one of the significant issues related to HIREC (Robertson et al., 2013) and has a substantial impact on human-snake conflicts (Yue et al., 2019; Hauptfleisch et al., 2021; Parkin et al., 2021). It leads to habitat loss and local extinction of particular species, posing challenges for biodiversity conservation (McKinney, 2002; McDonnell and Hahs, 2008). Urbanization refers to people congregating on natural or agricultural land to create communities and establish densely populated areas with distinct spatial characteristics and dynamics (Garden et al., 2006). This often represents a concentric expansion from high to low human activity and disturbance regions, forming an urban-exurban gradient (McKinney, 2002; McDonnell and Hahs, 2008). This gradient clarifies how human activities affect ecosystems and how species respond based on their natural histories (McDonnell and Hahs, 2008). This relationship can be simplified by comparing the ratio of impervious surfaces—such as pavement, asphalt, and concrete structures—to green space cover, including vegetation and crops, concerning species occurrence (McKinney, 2002). Most research on urbanization gradients has focused on birds and insects, with reptiles receiving less attention (McDonnell and Hahs, 2008).
Studying urban snakes poses unique challenges, especially concerning sampling, tracking, and collecting natural history data. Moreover, many people misunderstand snakes and view them as unwelcome creatures due to their secretive behavior and the potential danger posed by venomous species. This negative perception can adversely affect the public image of snakes, raise health concerns for humans (Ratnarathorn et al., 2024), and complicate research efforts in areas with high human activity. To obtain data, several previous studies have collaborated with snake catchers or engaged in snake rescue efforts (Yue et al., 2019; Kuttalam et al., 2025), wildlife rangers, and government contractors (von Takach et al., 2024), as well as utilized citizen science (Ratnarathorn et al., 2024).
Taiwan is recognized as a technology hub with a high population density (Jan and Chen, 2006; Hsu, 2011). The country’s effective public health and medical systems help prevent serious consequences from venomous snake bites (Liu and Hsieh, 2017a; Taiwan Antidote Network, 2024). However, conflicts between humans and snakes have increased as urban areas expand into suburban and rural regions. This often leads to harassment of snakes rather than actual envenomation.
In Taiwan, local firefighters respond to issues arising from snake sightings and conduct removal operations when residents report snakes in their vicinity. However, due to their demanding workloads, firefighters often lack the essential knowledge and skills for safe snake handling. This can result in unintentional mistakes during operations to remove snakes from conflict areas. Unfortunately, the fate of some snakes removed from these areas can be dire.
To address these issues, we collaborated with the county government to understand the causes of human-snake conflict and to improve the snake-handling process and animal welfare. From 2011 to 2015, we conducted 16 fire brigade operations, collecting data and releasing snakes afterward. We hypothesize that human-viper conflict is primarily the result of artificial disturbances and have correlated environmental factors with the level of urbanization. This study examines the characteristics of conflict zones resulting from urbanization. It focuses on the natural history of a medically significant viper in northeastern Taiwan’s urban and suburban areas.
2 Materials and methods
2.1 Study area
The Lanyang Plain, located in the northeastern region of Taiwan, is the heart of Yilan County. This alluvial plain, formed by the Lanyang Stream, is home to around 460,000 residents (Yilan County Government, 2024). Covering approximately 360 km², it consists of eleven distinct urban and rural areas that vary in size and characteristics (Chao et al., 2008).
The region frequently experiences typhoons during the summer and autumn months, along with monsoon winds in the winter. According to data from the Yilan Weather Station, the annual average air temperature is 22.8 °C. July is the warmest month, with an average temperature of 28.9 °C, while January is the coolest month, averaging 16.6 °C (Central Weather Administration, 2024). The area receives an average annual cumulative precipitation of 2,744.5 mm, with October being the wettest month at 428.1 mm, and March the driest at 115.3 mm (Central Weather Administration, 2024).
The central urban area in the northern part of the plain is Yilan City, while Luodong Town is in the southern part. The Lanyang Stream is the boundary separating these two densely populated urban areas. We categorize the districts into two levels of urbanization: high and medium-low. This classification depends on population density and development intensity, with a residential density criterion of 3,000 people per square kilometer and a requirement that the total built-up area exceeds 20%.
Luodong Town, with a population density of 6,394 people per square kilometer, and Yilan City, with a density of 3,261 people per square kilometer, are classified as highly urbanized areas. The medium-low urbanization districts, ranked from high to low population density, are Wujie (1,013/km²), Dongshan (670/km²), Jhuangwei (637/km²), Su’ao (461/km²), Jiaoxi (354/km²), Toucheng (296/km²), Yuanshan (289/km²), Sanxing (149/km²), and Datong (9/km²) (Yilan County Government, 2024) (Table 1).

Table 1. The details regarding each district’s location on Lanyang Plain, including total area, built-up area, proportion, population density, urbanization category, and the primary fire brigade responsible for each district in 2014. (Data source: Yilan County Government, 2024).
Each township features unique development patterns, transportation systems, and green space coverage. The region is served by 16 fire brigades, which are distributed across various locations to provide services to the city and the surrounding ten townships within the Lanyang Plain (Figure 1).

Figure 1. The study examined 16 fire brigade stations, collecting data on human-viper conflicts, including control group 1 in Datong and control group 2 at the Dajioushi Experimental Forest (DEF) at National Ilan University in the Lanyang Plain, from 2011 to 2015.
This study uses two control groups to examine the impact of human-viper conflict tendencies and changes on urban expansion. Datong Township, located on the edge of the Lanyang Plain, has a minimal human population. The built-up land expansion from 2011 to 2015 (Yilan County Government, 2024) offers an ideal control group for comparing fluctuations in human-viper conflict cases due to urbanization in the other ten rapidly developing districts of the Lanyang Plain.
A long-term ecological monitoring route, 650 meters long, has been established for snake studies at the Dajioushi Experimental Forest (DEF), part of National Ilan University. This location consists of artificial and secondary forest at an elevation of 250 to 280 meters bordering the Lanyang Plain (Figure 1). The monitoring survey is conducted weekly, on a designated day, during a specific nocturnal period, and with defined inventory efforts. This setup allows for comparing the impact of urbanization on human-viper conflicts with changes in snake occurrence in non-urban habitats.
2.2 Study species
Protobothrops mucrosquamatus, commonly known as the Taiwanese Habu, is a medium to large-sized pit viper (Mao, 1993) that can reach a maximum length of 130 cm (Visser, 2015). It is widely distributed across southern China, Assam in India, Bangladesh, Burma, northern Vietnam, Taiwan (Zhao and Adler, 1993), Thailand (Vasaruchapong et al., 2017), and Laos (Brakels et al., 2021). Additionally, the species has been introduced to Okinawa, where it has become invasive (Terada, 2011).
The Taiwanese Habu preys on a variety of animals, including frogs, snakes, birds, rats (Mao, 1970; Visser, 2015), shrews (Mao and Norval, 2006), and skinks (JJ Mao, unpublished). Most literature suggests that it is a generalist in terms of habitat selection, inhabiting areas that range from forests and woodlands to grasslands and agricultural land (Visser, 2015; Vasaruchapong et al., 2017; Brakels et al., 2021). Its vertical distribution extends from lowland areas up to approximately 2,000 meters in elevation (Visser, 2015).
Notably, Kuntz (1963) noted that this snake was commonly found near human populations along the urban fringes of Taipei City in northern Taiwan. Protobothrops mucrosquamatus is one of Taiwan’s six major venomous snakes and can cause significant envenomation injuries (Mao, 1993). A study by Miao et al. (1995) compared the locations of envenomation cases of four medically critical venomous snakes in Taiwan. They found that P. mucrosquamatus is the only species primarily located in or near human populations, rather than in wild areas. This snake is also the second most common species involved in human-snake conflicts in the Lanyang Plain, posing considerable risks to human health and safety. It accounts for 16.05% of annual incident reports related to snake encounters. In contrast, the most frequently involved species is the large, non-venomous Ptyas mucosa, which is harmless and accounts for 37.12% of such incidents (Liu, 2015).
2.3 Data acquired and analysis
2.3.1 The data collection and filtering of fire brigades
Before 2018, firefighters in Taiwan managed snake conflict operations on a 24-hour basis. Our data collection was conducted weekly during the cooler months (January to April) and twice a week during the warmer months (May to December) across 16 fire brigades in the Lanyang Plain. Detailed information was collected and transcribed onto a notification sheet by the on-duty operator for each snake removal case, based on the fire station’s daily duty records. This sheet included details such as the time the case was reported, the snake species, the location and address, the type of building, whether the snake was inside or outside the building, and whether the resident or pet was being attacked or bitten by the snake.
If the daily duty records could not be matched with the captured snakes—such as when a snake was absent or there was a misidentification of the species, making the data untraceable—or if the records lacked an address, exact location, or identifiable place, this data was deemed spatially invalid. Residents sometimes catch snakes and bring them to the fire station without providing detailed information. This action represents a conflict case within the district’s data categorization, but it differs from the snake removal operation conducted by firefighters. Nevertheless, it is considered valid based on our data filtering criteria.
Invalid data will be excluded from spatial and GIS analysis, while the natural history data collected will be included. Essential statistical data, such as district area, built-up area, resident population, density, and climate of the Lanyang Plain, were obtained from the Yilan County Government (2024) and the Central Weather Administration (2024) for comparative analysis.
2.3.2 The human-viper conflict sites, urbanization, and GIS data processing
Between 2012 and 2013, for each valid case identified, the conflict location obtained from the fire station’s daily duty record was double-checked for data validation. This verification involved using Google Earth to confirm the exact address of the conflict site. In some instances, we located the GPS coordinates ourselves and further verified the type of house at the site. Google Earth employs the WGS 84 coordinate system, which was then transformed to TWD 97 and marked on aerial photographs using ArcGIS 10.1 software. The aerial images were sourced from USGS Landsat-7 (2012) and Landsat-8 (2013) satellite imagery.
In this study, land use in the Lanyang Plain was categorized based on the survey classification table by Hsu (2010), which includes five types: buildings and transportation, agricultural land, forests, and water bodies. A 100-meter radius buffer was established around each conflict location to analyze land use characteristics and determine the percentage of each land use type—buildings, transportation, agricultural land, forests, and water bodies. Human observation was used to delineate the boundaries of the various land use types, and shape files were created in ArcGIS 10.1 for further analysis.
To analyze the relationship between urbanization and the spatial distribution of conflict sites, we examined the distance from the center of various cities and towns and the frequency of conflict incidents. This approach aimed to assess the impact of human activities on the intensity and gradient of conflict across ten districts of the Lanyang Plain. Green space coverage was used as an indicator of the contrast intensity of urbanization (McKinney, 2002). Six buffer zones were established at distances of 250, 500, 750, 1000, 1250, and 1500 meters from the center of each city or town administration to facilitate this analysis. These zones reflect decreasing levels of anthropogenic disturbance (Figure 2). The land classification of Lanyang Plain, as described by Hsu (2010), was simplified into two categories: impervious surfaces (such as buildings and transportation) and green space cover (which includes agricultural land, forests, and vegetation). Based on McKinney’s (2002) definitions, this classification integrates data related to anthropogenic disturbances and the urbanization gradient.

Figure 2. An example of the urban-rural gradient indicating high urbanization is the distribution of Protobothrops mucrosquamatus presence sites in Yilan City from 2011 to 2015.
2.3.3 The snake operation and natural history data collection
To meet the natural history data collection requirements for P. mucrosquamatus, we recorded the status of each viper (either dead or alive) encountered at each fire brigade. This information was essential for estimating the initial mortality rate (first mortality). Additionally, we measured the snout-vent length (SVL in cm), tail length (TL in cm), and body mass (BM in grams) of every live snake. The body condition was estimated by dividing body mass (BM) by snout-vent length (SVL) to assess the overall health of the snakes (Seigel et al., 1998; Waye and Mason, 2008).
A visual examination along the body axis and palpation of the abdomen were performed to check for injuries, parasites, dietary conditions, and signs of pregnancy. Most healthy vipers without visible injuries or illnesses were released into the nearby wilderness. However, snakes exhibiting visible injuries or signs of late-stage pregnancy were temporarily kept in captivity for care or considered for other options, such as euthanasia. Injured snakes received essential wound care and external medications. The temporary care area was kept quiet and calm, with old newspapers used as substrate for the glass tank, which also contained clean water and an appropriately sized terracotta pot for shelter. This environment allowed injured vipers to recover, lay eggs, hatch, and eventually be released back into the wild. To assess reproductive efforts, we calculated the relative clutch mass (RCM) for egg-laying females using the formula: [total clutch mass/postpartum female mass] × 100 (Seigel and Fitch, 1984). In cases where a snake was severely injured—such as having a ruptured body cavity with exposed internal organs or a completely fractured spine—the veterinary medicine conducted the euthanasia at the Animal and Plant Disease Control Center of Yilan County. These individuals were then recorded as secondary mortality. All deceased snakes were preserved in 75% ethanol and deposited in the Zoological Specimens Room 616 of the Department of Forestry & Natural Resources at National Ilan University, under the specimen abbreviation PRMU-.
2.3.4 Data analysis
To analyze the relationship between conflict events related to land use, climate characteristics, maternal body traits of snakes, and their fecundity, Pearson’s correlation was performed using SPSS version 18. Principal Component Analysis (PCA) was employed to examine the correlation between P. mucrosquamatus and small-scale land use characteristics at conflict case localities, utilizing a 100-meter radius buffer from 2012 to 2013. This analysis was conducted using PC-ORD version 5.31 software. Additionally, one-way ANOVA was used to compare snake measurements and their body condition index (BCI) across different levels of urbanization and over various years, maintaining a 95% confidence interval, with the assistance of Excel 2016 software.
3 Results
From 2011 to 2015, 906 P. mucrosquamatus were recorded at 16 fire brigades in the Lanyang Plain. The number of conflict cases varied monthly, with the highest activity levels typically occurring from mid to late autumn (Figure 3). Additionally, Pearson correlation analysis showed a positive association between the number of conflict cases and both monthly cumulative precipitation (r = 0.388**, P < 0.01, n = 60) and monthly average temperature (r = 0.298*, P < 0.05, n = 60). However, no significant correlation was found with monthly mean relative humidity (r = 0.245, P = 0.06, n = 60), the number of rainy days (r = 0.191, P = 0.14, n = 60), or monthly sunshine hours (r = -0.029, P = 0.83, n = 60) during the same period.

Figure 3. The dynamics of monthly conflict percentages among viper residents in Lanyang Plain (2011-15) are shown by the orange line, alongside the monthly proportion of Protobothrops mucrosquamatus envenomation (depicted by the deep red bars) from the literature records of Miao et al. (1995).
3.1 Human-viper conflicts related to varying levels of urbanization and site characteristics on the Lanyang Plain
Fire brigades in major urban areas, such as Yilan City and Luodong Township, along with their surrounding districts, are primarily responsible for managing conflicts between humans and vipers (Figure 4A). Over the years, sightings of vipers and related conflicts have increased significantly (Figure 4B). This rise in annual conflict cases with P. mucrosquamatus in the Lanyang Plain correlates with the expanding land development areas, demonstrating a strong positive correlation (r = 0.920*, P < 0.05, n = 5). Areas with high urbanization experience more conflict cases than those with medium or low levels of urbanization. Interestingly, data from the control groups, Datong Township and the NIU experimental forest, indicate that conflict cases or ecological surveys involving P. mucrosquamatus remained stable or decreased from 2011 to 2015, showing slight fluctuation in contrast to the increasing trend observed in urbanized areas (Figure 5).

Figure 4. The presence and relative abundance of male (blue) and female (red) Protobothrops mucrosquamatus were analyzed at 16 fire brigades in various urbanization districts (A). Additionally, annual summarized conflict cases in the Lanyang Plain from 2011 to 2015 (B), with yellow indicating data on deceased snakes in poor condition, missing snakes, and unlinked records.

Figure 5. The average annual cases of human-viper conflicts are compared across districts with high, medium, and low urbanization levels, along with control group 1, Datong Township, and control group 2, Dajioushi Experimental Forest at National Ilan University.
Between 2012 and 2013, 329 conflict records involving vipers were collected from the 16 fire brigades in the Lanyang Plain. Of these, 69.6% of the valuable data (n=229), including precise locations, addresses, and details linked explicitly to individual vipers, were utilized to analyze spatial characteristics. A 1.5 km buffer radius was established to evaluate large-scale urbanization, consisting of six concentric circle buffers in each district. Datong Township was excluded from the urbanization analysis due to its low population density and predominantly rural landscape, which consists mainly of mountainous forests and agricultural land. A total of 10 districts were included for the urbanization analysis and comparison. Within the 1.5 km buffer radius of these ten urbanized districts, there were 109 recorded conflict cases. The primary conflict zone is within a 1,000-meter buffer surrounding the urban centers of the two highly urbanized districts: Yilan City and Luodong Township (Figure 6A). In smaller urbanized districts, conflicts typically occur within buffer zones ranging from 500 to 750 meters (Figure 6B).

Figure 6. The average number of conflict cases fluctuated with the level of human disturbance in high (A) and medium-low (B) urbanization districts, based on the green space coverage in the Lanyang Plain from 2012 to 2013.
To assess trends, each district was divided into six buffer zones. This approach aimed to mitigate the influence of topography and local characteristics on development and expansion. We segmented sixty estimated green space areas into separate units to analyze their correlation with the number of conflict cases, revealing an overall hump-backed trend (Figure 7).

Figure 7. The correlation between resident-viper conflict cases and the green space cover ratio of 60 radius buffers across 10 urbanization districts in the Lanyang Plain.
Vipers were encountered outdoors in 47% of the cases (n=108), while indoor conflict events accounted for 25% (n=58) of the valid data. An additional 28% of cases (n=63) did not specify whether the snakes were found indoors or outdoors. In the highly urbanized Yilan City and Luodong Township, 39.7% of the cases occurred indoors (n=23). In three medium-urbanization areas (Su’ao, Dongshan, and Wujie), the indoor occurrence was 41.4% (n=24), while 18.9% (n=11) of indoor cases were reported in three relatively low-urbanization areas (Sanxing, Toucheng, and Jiaoxi). Terrace houses (n=31, 53.4%) were the most common structures involved in viper invasions, followed by detached houses (n=11, 19%) and bungalows (n=10, 17.2%). Detached houses typically occupy more space but house fewer residents than terrace houses (see Supplementary Table 1).
One hundred sixty-six valid cases, including 108 outdoor and 58 indoor incidents, were analyzed using Principal Component Analysis (PCA) to assess the spatial characteristics of conflict sites. The analysis revealed that small-scale land use characteristics—specifically the proportions of building and transportation areas—were the primary factors correlated with conflicts between P. mucrosquamatus and residents. Conversely, agricultural land size was identified as a contrasting factor, while forest area emerged as a secondary influencing factor (Table 2).

Table 2. The study examined the eigenvectors and eigenvalues of principal component analysis (PCA) related to Protobothrops mucrosquamatus and the land use characteristics associated with conflict sites (n=166) on the Lanyang Plain between 2012 and 2013, based on the properties outlined by McKinney (2002).
3.2 The outcome of the conflict with the viper after the fire brigade’s removal operation
The mean annual initial mortality rate (first mortality) of P. mucrosquamatus at fire stations was 8.84 ± 1.79% (mean ± SD, n = 5) after removal from the conflict site. Within ten days, the average mortality rate (second mortality) of P. mucrosquamatus increased to 11.03 ± 2.63% (mean ± SD, n = 5) after the vipers were rescued from the fire stations and before their release into the wild. The peak in annual initial mortality occurs from July to September, making these months the most critical for snake operations conducted by firefighters, except the cooler month of January. The warmer months lead to a significant rise in mortality rates. The increase in mortality between the initial and second rates is primarily attributed to previous injuries or the condition of weakened individuals. On average, the annual ratio of live snakes with fresh injuries or weakened conditions is 8.94 ± 6.42% (mean ± SD, n = 5). Vipers show a higher ratio of injuries in mid-spring, early summer, and at the beginning and end of winter (see Table 3).

Table 3. The monthly data from 2011 to 2015 show an increase in initial mortality, injury, and weakness, as well as secondary mortality, stomach contents, and the detection of lower belly follicles and eggs through finger palpation for Protobothrops mucrosquamatus in the Lanyang Plain. This data is presented alongside the corresponding proportions (%) for each month.
3.3 The size structure and body conditions of Protobothrops mucrosquamatus in urban and suburban regions of the Lanyang Plain
The annual snout-vent length (SVL) size categories for P. mucrosquamatus in the Lanyang Plain are as follows: males’ most common sizes indicating sexual maturity are 60.1–70 cm and 70.1–80 cm. The predominant size ranges for females are 60.1–70 cm, 70.1–80 cm, and 80.1–90 cm, though these may vary from year to year (see Supplementary Figure 2). From 2011 to 2015, there was a slight annual decline in the average snout-vent length (SVL) and body mass (BM) of P. mucrosquamatus. However, this decline was not statistically significant for female SVL (F4, 399 = 0.6532, P = 0.6249) or male SVL (F4, 376 = 0.3639, P = 0.8343). Interestingly, female vipers collected from fire brigades in highly urbanized areas had significantly longer snout-vent lengths (SVL) (F1, 295 = 5.0828*, P < 0.05) and higher body condition indices (BCI) (F1, 295 = 7.7114**, P < 0.01) on average compared to those from fire brigades in areas with medium levels of urbanization. In contrast, no significant differences were noted in male snakes across the three urbanization categories regarding SVL (F2, 377 = 0.7446, P = 0.4756) and BCI (F2, 374 = 1.1853, P = 0.3068).
3.4 The reproductive characteristics of Protobothrops mucrosquamatus in the Lanyang Plain
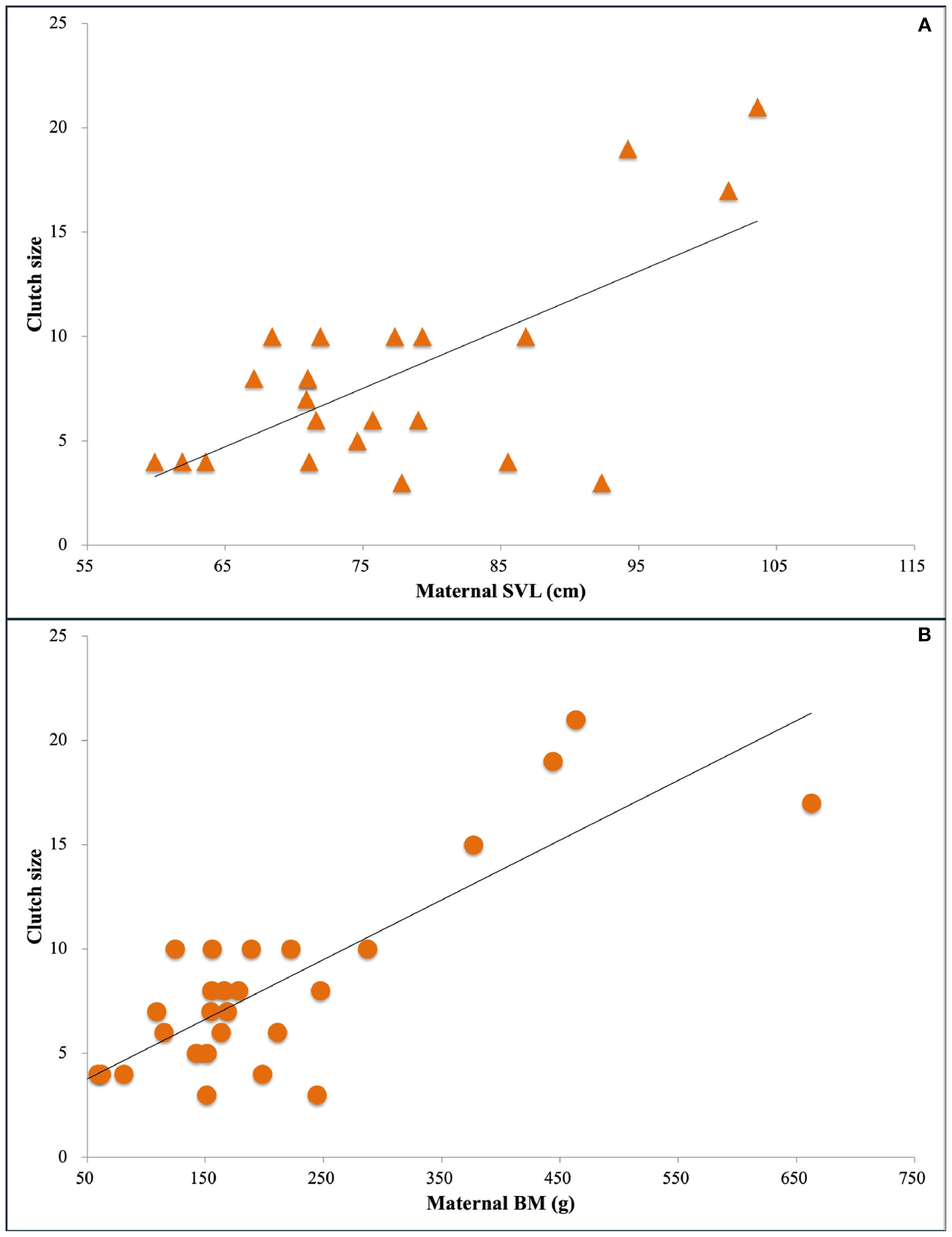
Finger palpation has shown that mature female vipers can detect follicles and eggs from late winter to early summer (see Table 3). Data indicates that the clutch sizes for this population range from 3 to 21 eggs, with an average of 8.2 ± 4.6 eggs (n = 30) per brood. The minimum snout-vent length (SVL) indicating female viper maturity is 59.9 cm. Fecundity is significantly positively correlated with maternal SVL (r = 0.669**, P < 0.01, n = 23) (see Figure 8A) and body mass (r = 0.827**, P < 0.01, n = 28) (see Figure 8B). The relative clutch mass (RCM), calculated as [total clutch mass/postpartum female mass] × 100 (Seigel and Fitch, 1984), is 43.3 ± 16.7% (mean ± SD; n = 16).

Figure 8. The relationship between maternal fecundity refers to clutch size, snout-vent length (SVL) (A), and body mass (BM) (B) of Protobothrops mucrosquamatus in the Lanyang Plain.
The dimensions and mass of the eggs are as follows: the length is 33.4 ± 5.3 mm (mean ± SD; n = 179), the width is 20.2 ± 4.0 mm (mean ± SD; n = 179), and the mass is 7.3 ± 2.3 g (mean ± SD; n = 160). Under unmanipulated temperature conditions, P. mucrosquamatus eggs take an average of 38.3 ± 7.1 days (mean ± SD; n = 14) to hatch. This aligns with the monthly dynamic peak shown in Figure 3, corresponding to the emergence of the neonates. The neonates have a snout-vent length (SVL) of 20.14 ± 4.72 cm (mean ± SD; n = 68), a tail length (TL) of 5.2 ± 0.55 cm (mean ± SD; n = 68), and a body mass (BM) of 7.04 ± 1.45 g (mean ± SD; n = 68).
3.5 Dietary items, parasites, and the threats they pose to living in human-dominated habitats
Over five years, thirty-three handle vipers with diets recorded in their body cavities were observed. During their translocation, 17 of these vipers regurgitated their stomach contents. The identifiable items included 4 Norway rats (Rattus norvegicus), one brown country rat (R. losea), two pet tree sparrows (Passer montanus), 1 introduced pet Java sparrow (Padda oryzivora), and nine unspecified species of Rattus that could not be identified due to their advanced state of digestion. The prey items are strongly correlated with fauna in human-dominated areas (Wang, 1995). The annual average proportion of P. mucrosquamatus containing prey is 3.52 ± 0.87% (mean ± SD; n = 5).
The primary concern regarding this species is envenomation, which poses a threat to human safety, regardless of its natural distribution (Miao et al., 1995; Liu and Hsieh, 2017a, b; Vasaruchapong et al., 2017) or in areas where it has been introduced (Terada, 2011). Residents brought an average of 4.84 ± 2.14% (mean ± SD; n = 5) of the snakes to the fire brigade each year, totaling 42 cases over the five years of study. Medium urbanized districts contributed more than half of these cases (54.76%, n=23), compared to low urbanized areas (30.95%, n=13) and high urbanized areas (14.29%, n=6). Fortunately, P. mucrosquamatus often resides near human populations, and some locals independently handle snake removal in the Lanyang Plain. However, the rate of envenomation is about 0.33% (n=3) over the five-year study period. Unexpectedly, a sticky trap for controlling rats and flies harmed P. mucrosquamatus around residential areas, contributing to 0.77% (n=7) of the observed fatalities. Aside from residents and their pets, particularly dogs and cats, the sympatric Bungarus multicinctus multicinctus poses the most significant natural threat to P. mucrosquamatus in the study area (Mao et al., 2006). Interestingly, there were several cases where the dead or weakened vipers, which had been temporarily kept at the fire station, were housed in the same cage with a high ratio of B. m. multicinctus. Additionally, some unidentified nematode larvae were found under the dorsal skin of P. mucrosquamatus and were present during winter (Table 3).
4 Discussion
4.1 The analysis of data on human-snake conflicts collected from the fire station
Conducting regular ecological studies in urban or densely populated areas, particularly focusing on snakes, presents significant challenges in data collection and can be costly. Fire brigades are typically situated in or near urban centers, where they have high mobility to assist residents with human-snake conflicts. This makes them an ideal data source for understanding and managing these interactions and improving operational procedures. However, unlike traditional ecological studies that aim to provide a comprehensive overview of snake populations and their behaviors, data collected from fire brigade operations may not fully reflect the overall state of viper populations. Their information is often limited to incidents of human-snake conflict and the specific circumstances surrounding these events. Thus, there is a trade-off between the advantages and disadvantages of available resources and effort in data collection.
4.2 The degree of urbanization and the extent of human-snake conflict
The intensity of conflict between residents and vipers in the Lanyang Plain is attributed to human activities, urbanization, and environmental exploitation. The Lanyang Plain is a well-known agricultural region in Taiwan, famous for its high-quality rice production. The Hsuehshan Tunnel opened in 2006 and is the longest tunnel in Taiwan, connecting Taipei, the central metropolitan area. This convenient transportation option has significantly reduced travel time between metropolitan and rural areas, leading to rapid agricultural land exploitation and urban expansion in the Lanyang Plain. As a result, terrace and detached houses have become the preferred choices for city dwellers, particularly those who desire independent gardens and more outdoor green space. However, insufficient enforcement of land regulations, a lack of proper management, and relatively low agricultural land prices have created ideal housing development opportunities emphasizing scenic pastoral views. This has resulted in a mosaic of green spaces, concrete structures, and varying levels of urbanization across the Lanyang Plain. Generally, there is a declining trend in species richness and diversity along urbanization gradients, as noted by McKinney (2002). Furthermore, this aligns with the six different responses of organisms to urbanization gradients identified by McDonnell and Hahs (2008): no response, negative response, punctuated response, intermediate response, positive response, and bimodal response. In this context, P. mucrosquamatus exhibits an intermediate response to the green space cover ratio along the urbanization gradient. Hong Kong has also observed a similar intermediate response to human-snake conflicts (Yue et al., 2019). This study attributes the causes of these conflicts to lower quality habitats, such as shrublands and areas with low vegetation coverage. Additionally, our study highlights human-snake conflict events, suggesting that data collected on snake retrievals by fire brigades is linked to the intensity of these conflicts; decreased resident activity levels could also result in fewer conflict events.
4.3 The response of Protobothrops mucrosquamatus to Human-Induced Rapid Environmental Change in the Lanyang Plain
The impact of Human-Induced Rapid Environmental Change (HIREC) on animal responses has raised concerns since the 2010s (Robertson et al., 2013; Hale and Swearer, 2016) and is regarded as a selection pressure (Lowry et al., 2013). A species that thrives in urban areas with over 50% impervious surfaces can be categorized as an urban exploiter along the urban-rural gradient (McKinney, 2002). Current evidence suggests that P. mucrosquamatus fits this definition of an urban exploiter based on observations in the Lanyang Plain and previous literature (Kuntz, 1963; Miao et al., 1995). Furthermore, generalist snake species (e.g., P. mucrosquamatus) with broad habitat and dietary preferences, which also exhibit arboreal behavior, tend to interact more frequently with humans (Lettoof et al., 2023). Fitness-related traits (e.g., reproduction) have evolved in response to frequent disturbances and adaptations to urban settings (Lowry et al., 2013). In highly urbanized districts, female vipers are generally larger and have better overall body condition. This likely indicates a correlation with the availability and quality of habitat and food resources, which may suggest improved reproductive performance. From 2011 to 2015, incidents of human-viper conflict steadily increased each year, although the average size of vipers removed became smaller. Previous studies have indicated that urbanization (Wolfe et al., 2018) and snake harvesting (Sasaki et al., 2008) can decrease body size, alter reproductive strategies, modify behavioral traits (Lowry et al., 2013), and change life history traits. Smaller-bodied snakes may have an advantage in urban and human-dominated areas, as they can more easily hide, though this may come at the cost of reduced female fecundity. In urban environments, the density and composition of small mammal populations are affected by the size of green patches and the structure of vegetation, including woodlands, shrubs, and grasslands (Dickman and Doncaster, 1987). Moreover, city sewer systems provide habitat for specific rat species, like R. norvegicus, in urban areas (Guo et al., 2023). This situation can offer a food source that compensates for diminishing green spaces and acts as a food vector for urban P. mucrosquamatus. The annual dietary ratio of P. mucrosquamatus concerning its prey is 3.52 ± 0.87% (mean ± SD; n = 5), significantly lower than the 24% noted in dissections by Mao (1970). The monthly proportion of prey in P. mucrosquamatus also differs from the current results. Several factors may explain this discrepancy in dietary results. The snake’s time at the fire station before examination may have led to an underestimated dietary ratio. Additionally, dissecting the digestive tract can yield more profound insights into stomach contents than merely using finger palpation. Larger prey items may have decreased the foraging frequency of P. mucrosquamatus in urban habitats. However, species that have adapted to urban environments, known as synurbic species, tend to be abundant (Łopucki et al., 2013). Two invasive synurbic species, R. norvegicus and R. rattus, along with one native species, R. losea, are often found in proximity to houses or mosaic patches of agriculture and grassland (Wang, 1995), which provide higher-quality food items compared to those documented in Mao’s (1970) dietary literature. Evidence from existing studies (Kuntz, 1963; Miao et al., 1995; Liu and Hsieh, 2017a, b) and the prey items collected in this study still suggests that P. mucrosquamatus may benefit from urbanization.
4.4 The ecological traps relate to urbanization and the high mortality rate of conflict vipers in the Lanyang Plain
In Thailand, humans kill approximately 8% of snakes, which has led to an increased likelihood of encountering snakes and a rapid rise in the mortality of venomous species (Ratnarathorn et al., 2024). One primary concern in the HIREC discussion is the concept of the ecological trap (Robertson et al., 2013; Hale and Swearer, 2016). Robertson et al. (2013) define an ecological trap as a habitat that an organism finds at least as attractive as other available habitats, even though occupying it leads to reduced fitness. This scenario qualifies as a type of evolutionary trap. The mortality and injuries sustained by the snake species P. mucrosquamatus are mainly due to human actions, such as resident killings, improper handling tools, and rough removal procedures. Many local snake tongs have been adapted from high-branch shears used in horticulture, which can cause severe damage to the snake’s spine and body during removal operations conducted by firefighters. Residents often report snake sightings and demand immediate removal out of fear and concern, frequently leading to rough handling. Additionally, some snakes have died in captivity at fire stations due to inadequate care. For instance, they have been exposed to direct sunlight without any shelter, resulting in excessive dehydration, or they have been attacked by B. m. multicinctus while housed in the same captivity cages with different species at the fire stations. If mortality rates from viper removal operations continue to rise, concerns about urban areas acting as ecological traps for P. mucrosquamatus will also increase. An operational protocol can serve as a solution. In Taiwan, Rattus rats are known to transmit diseases such as Hantavirus, Salmonellosis, and Leptospirosis (Wang, 1995). Our urban P. mucrosquamatus diet study found that 42.4% (n=14) of their dietary items were Rattus rats. This suggests an underappreciated role of P. mucrosquamatus in providing ecosystem services that could enhance human health and public well-being.
Data availability statement
The original contributions presented in the study are included in the article/Supplementary Material. Further inquiries can be directed to the corresponding author.
Ethics statement
The requirement of ethical approval was waived by The Institutional Animal Care and Use Committee at Bioresources College, National Ilan University for the studies involving animals because The wildlife rescue operations in Taiwan are not classified as animal use or experimental ethics. All wildlife activities and related matters in Taiwan are regulated by the Wildlife Conservation Law. The relevant permission numbers for research projects involving the protected species Protoborthops mucrosquamatus, conducted between 2011 and 2015, were issued under this law. Following are the numbers related to these projects according to the Wildlife Conservation Law permissions: 2011 (COA-AuthZ-FB-1001618377), 2012 (COA-AuthZ-FB-1011700574), 2013 (COA-AuthZ-FB-1021608772), 2014 (COA-AuthZ-FB-1031700700), and 2015 (COA-AuthZ-FB-1041701457). The studies were conducted in accordance with the local legislation and institutional requirements.
Author contributions
J-JM: Conceptualization, Funding acquisition, Methodology, Resources, Supervision, Validation, Writing – original draft, Writing – review & editing. S-CF: Data curation, Investigation, Project administration, Writing – original draft. L-XL: Data curation, Investigation, Software, Writing – original draft.
Funding
The author(s) declare financial support was received for the research and/or publication of this article. This study was partially funded by the Bureau of Agriculture, Yilan County Government, under project number 100FB-02.1-C-01(2 (2002) and by and the Centers for Disease Control of Taiwan.
Acknowledgments
We thank Ming-Huei Huang for her assistance with statistical analysis and administrative support throughout the project from 2011 to 2015. Additionally, we appreciate Kuan-Ting Lee for conducting the PCA analysis. Lastly, we acknowledge the firefighters from 16 fire brigades on the Lanyang Plain who supported this study between 2011 and 2015. The Forest Bureau of the Council of Agriculture granted permission for our wildlife study under Taiwan’s Wildlife Conservation Law with the following authorizations: 2011 (COA-AuthZ-FB-1001618377), 2012 (COA-AuthZ-FB-1011700574), 2013 (COA-AuthZ-FB-1021608772), 2014 (COA-AuthZ-FB-1031700700), and 2015 (COA-AuthZ-FB-1041701457).
Conflict of interest
The authors declare that the research was conducted in the absence of any commercial or financial relationships that could be construed as a potential conflict of interest.
Generative AI statement
The author(s) declare that no Generative AI was used in the creation of this manuscript.
Any alternative text (alt text) provided alongside figures in this article has been generated by Frontiers with the support of artificial intelligence and reasonable efforts have been made to ensure accuracy, including review by the authors wherever possible. If you identify any issues, please contact us.
Publisher’s note
All claims expressed in this article are solely those of the authors and do not necessarily represent those of their affiliated organizations, or those of the publisher, the editors and the reviewers. Any product that may be evaluated in this article, or claim that may be made by its manufacturer, is not guaranteed or endorsed by the publisher.
Supplementary material
The Supplementary Material for this article can be found online at: https://www.frontiersin.org/articles/10.3389/famrs.2025.1609575/full#supplementary-material
References
Bateman H. L., Brown J. A., Larson K. L., Andrade R., and Hughes B. (2021). Unwanted residential wildlife: Evaluating social-ecological patterns for snake removals. Global Ecol. Conserv. 27, e01601. doi: 10.1016/j.gecco.2021.e01601
Bolon I., Finat M., Herrerab M., Nickersonc A., Graced D., Schüttee S., et al. (2019). Snakebite in domestic animals: First global scoping review. Prev. Veterinary Med. 170, 104729. doi: 10.1016/j.prevetmed.2019.104729
Brakels P., Maury M., Phimmachak P., and Nguyen T. V. (2021). Protobothrops mucrosquamatus (Brown-spotted lance-headed pitviper). Herpetological Rev. 52, 800.
Central Weather Administration (2024). Monthly mean air temperature and precipitation. Available online at: https://www.cwa.gov.tw/V8/C/C/Statistics/monthlymean.html (Accessed December 09, 2024).
Chao S.-J., Hwang H., and Hsu C.-H. (2008). A study on three dimensional shallow subsurface structure of Lanyang Plain Vol. 4 (Yilan City, Taiwan: Bulletin of College of Engineering, National Ilan University), 53–74.
Dickman C. R. and Doncaster C. P. (1987). The ecology of small mammals in urban habitats. I. Population in a patchy environment. J. Anim. Ecol. 56, 629–640
Garden J., McAlpine C., Peterson A., Jones D., and Possingham H. (2006). Review of the ecology of Australian urban fauna: A focus on spatially explicit processes. Anim. Ecol. 31, 126–148. doi: 10.1111/j.1442-9993.2006.01578.x
Guo X., Himsworth C. G., Lee M. J., and Byers K. A. (2023). A systematic review of rat ecology in urban sewer systems. Urban Ecosyst. 26, 223–232. doi: 10.1007/s11252-022-01292-x
Hale R. and Swearer S. E. (2016). Ecological traps: current evidence and future direction. Proc. R. Soc. B 283, 20152647. doi: 10.1098/rspb.2015.2647
Hauptfleisch M. L., Sikongo I. N., and Theart F. (2021). A spatial and temporal assessment of human-snake encounters in urban and peri-urban areas of Windhoek, Namibia. Urban Ecosyst. 24, 165–173. doi: 10.1007/s11252-020-01028-9
Hauptfleisch M. L. and Theart F. (2018). A spatial and temporal assessment of human-snake conflicts in Windhoek, Namibia. Namibian J. Environ. 2, 128–133. doi: 10.64640/s235cd22
Hsu J.-Y. (2011). State transformation and regional development in Taiwan: From developmentalist strategy to populist subsidy. Int. J. Urban Regional Res. 35.3, 600–619. doi: 10.1111/j.1468-2427.2010.00971.x
Hsu Y. C. (2010). Monitoring I-Lan coastal zone using multi-temporal satellite images. National Chengchi University, Taipei (TAIWAN.
Jan T.-S. and Chen Y. (2006). The R&D system for industrial development in Taiwan. Technol. Forecasting Soc. Change 73, 559–574. doi: 10.1016/j.techfore.2005.01.005
Kuttalam S., Owens J. B., Santra V., Ahmed M. T., Das B., Das S., et al. (2025). Utilising snake rescue data to understand snake–human conflict in Hooghly, West Bengal, India. Trans. R. Soc. Trop. Med. Hygiene. 119 (8), 971–981. doi: 10.1093/trstmh/trae124
Lettoof D. C., Parkin T., Jolly C. J., de Laive A., and von Takach B. (2023). Snake life history traits and their association with urban habitat use in a tropical city. Urban Ecosystem 26, 433–445. doi: 10.1007/s11252-023-01327-x
Liu L.-X. (2015). The correlation of snake species occurrence and patch characteristics along the urban gradients in Lan-Yang Plain, Yilan, Taiwan. National Ilan University, Yilan (TAIWAN.
Liu C.-H. and Hsieh W.-C. (2017a). Analysis of Antivenin Usage in Taiwan from National Health Insurance Research Database, 2008–2012. Taiwan Epidemiol. Bull. 33, 151–158. doi: 10.6525/teb.20170509.33(9).001
Liu C.-H. and Hsieh W.-C. (2017b). Survey of Snakebite by Protobothrops mucrosquamatus and Viridovipera stejnegeri, Taiwan, 2008. Taiwan Epidemiol. Bull. 33, 159–166. doi: 10.6525/teb.20170509.33(9).002
Łopucki R., Mróz I., Berliński Ł., and Burzych M. (2013). Effects of urbanization on small-mammal communities and the population structure of synurbic species: an example of a medium-sized city. Can. J. Zoology 91, 554–561. doi: 10.1139/cjz-2012-0168
Lowry H., Lill A., and Wong B. B. M. (2013). Behavioural responses of wildlife to urban environments. Biol. Rev. 88, 537–549. doi: 10.1111/brv.12012
Mao S.-H. (1993). Common Terrestrial Venomous Snakes of Taiwan (Taichung: National Museum of Natural Science). Special Publication No. 5.
Mao J. J. and Norval G. (2006). Protobothrops mucrosquamatus (Taiwanese Habu). Stomach content. Herpetological Rev. 37, 353–354.
Mao J.-J., Norval G., Kung W.-B., and Chang H.-N. (2006). Bungarus multicinctus multicinctus (Many-Banded Krait). Diet. Herpetological Rev. 37, 350.
McDonnell M. J. and Hahs A. K. (2008). The use of gradient analysis studies in advancing our understanding of the ecology of urbanizing landscapes: current status and future directions. Landscape Ecol. 23, 1143–1155. doi: 10.1007/s10980-008-9253-4
McKinney M. L. (2002). Urbanization, biodiversity, and conservation. BioScience 52, 883–890. doi: 10.1641/0006-3568(2002)052[0883:UBAC]2.0.CO;2
Miao B. L., Huang R. J., Hu M. S., and Liau M. Y. (1995). Venomous snake bites in Taiwan, (1988-1991). Chin. J. Public Health 14, 445–460.
Mohapatra B., Warrell D. A., Suraweera W., Bhatia P., Dhingra N., Jotkar R. M., et al. (2011). Snakebite mortality in India: a nationally representative mortality survey. PloS Negl. Trop. Dis. 5, e1018. doi: 10.1371/journal.pntd.0001018
Parkin T., Jolly C. J., de Laive A., and von Takach B. (2021). Snakes on an urban plain: Temporal patterns of snake activity and human–snake conflict in Darwin, Australia. Austral Ecol. 46, 449–462. doi: 10.1111/aec.12990
Ratnarathorn N., Sanunsilp N., Laoungbua P., Tawan T., Sumontha M., Kongrit C., et al. (2024). Species richness, seasonality, and mortality of snakes in human-snake conflicts in Thailand: Insights from citizen science data. Biol. Conserv. 294, 110603. doi: 10.1016/j.biocon.2024.110603
Robertson B. A., Rehage J. S., and Sih A. (2013). Ecological novelty and the emergence of evolutionary traps. Trends Ecol. Evol. 28, 552–560. doi: 10.1016/j.tree.2013.04.004
Sasaki K., Fox S. F., and Duvall D. (2008). Rapid evolution in the wild: Changes in body size, life-history traits, and behavior in hunted populations of the Japanese Mamushi snake. Conserv. Biol. 23, 93–102. doi: 10.1111/j.1523-1739.2008.01067.x
Seigel R. A. and Fitch H. S. (1984). Ecological patterns of relative clutch mass in snakes. Oecologia 61, 293–301. doi: 10.1007/BF00379625
Seigel R. A., Sheil C. A., and Doody J. S. (1998). Changes in a population of an endangered rattlesnake Sistrurus catenatus following a severe flood. Biol. Conserv. 83, 127–131. doi: 10.1016/S0006-3207(97)00070-0
Taiwan Antidote Network (2024). The principles of first aid, emergency treatment, and antidote use for snake envenomation in Taiwan. Available online at: https://www.pcc-vghtpe.tw/antidote/page_list.php?Class1=18 (Accessed December 09, 2024).
Terada K. (2011). The distribution, population density and controls of Protobothrops mucrosquamatus, Protobothrops elegans, Elaphe taeniura friesei, 3 snake species established on Okinawa Island. Bull. Herpetological Soc. Japan 2011, 161–168.
Vasaruchapong T., Laoungbua P., Tangrattanapibul K., Tawan T., and Chanhome L. (2017). Protobothrops mucrosquamatus (Cantor 1839), a highly venomous species added to the snake fauna of Thailand (Squamata: Viperidae). Trop. Natural History 17, 111–115. doi: 10.58837/tnh.17.2.103054
Visser D. (2015). Asian Pitvipers, Breeding Experience and Wildlife (Frankfurt am Main: Edition Chimaira).
von Takach B., Lettoof D. C., Parkin T., de Laive A., Allen L., and Jolly C. J. (2024). Analysing spatiotemporal patterns of snake occurrence in an Australian city to help manage human-wildlife conflict. Biodiversity Conserv. 33, 347–360. doi: 10.1007/s10531-023-02752-2
Wang H.-C. (1995). The rat species in Taiwan and the diseases they transmit. Taiwan Epidemiol. Bull. 11, 266–272.
Waye H. L. and Mason R. T. (2008). A combination of body condition measurements is more informative than conventional condition indices: Temporal variation in body condition and corticosterone in brown tree snakes (Boiga irregularis). Gen. Comp. Endocrinol. 155, 607–612. doi: 10.1016/j.ygcen.2007.08.005
Wolfe A. K., Bateman P. W., and Fleming P. A. (2018). Does urbanization influence the diet of a large snake? Curr. Zoology 64, 311–318. doi: 10.1093/cz/zox039
Yilan County Government (2024). Annual statistical reports for Yilan County. Available online at: https://www.e-land.gov.tw/cp.aspx?n=9167&s=172 (Accessed December 13, 2024).
Yue S., Bonebrake T. C., and Gibson L. (2019). Human-snake conflict patterns in a dense urban-forest mosaic landscape. Herpetological Conserv. Biol. 14, 143–154.
Keywords: urban herpetology, HIREC, synurbic species, ecological trap, venomous snake, Taiwanese Habu, fire brigades
Citation: Mao J-J, Fang S-C and Liu L-X (2025) The effects of urbanization on human-viper conflicts and the natural history and impacts of removal operations for Protobothrops mucrosquamatus in Northeast Taiwan. Front. Amphib. Reptile Sci. 3:1609575. doi: 10.3389/famrs.2025.1609575
Received: 10 April 2025; Accepted: 08 September 2025;
Published: 07 October 2025.
Edited by:
Cormac Price, North-West University, South AfricaReviewed by:
Wisdom Mdumiseni Dlamini, University of Eswatini, EswatiniBing Zhang, Qilu Normal University, China
Copyright © 2025 Mao, Fang and Liu. This is an open-access article distributed under the terms of the Creative Commons Attribution License (CC BY). The use, distribution or reproduction in other forums is permitted, provided the original author(s) and the copyright owner(s) are credited and that the original publication in this journal is cited, in accordance with accepted academic practice. No use, distribution or reproduction is permitted which does not comply with these terms.
*Correspondence: Jean-Jay Mao, amptYW9Abml1LmVkdS50dw==