Your new experience awaits. Try the new design now and help us make it even better

SYSTEMATIC REVIEW article

Front. Aging Neurosci., 11 November 2024

Sec. Alzheimer's Disease and Related Dementias

Volume 16 - 2024 | https://doi.org/10.3389/fnagi.2024.1475406

This article is part of the Research TopicLifestyle and Environmental Influences on Alzheimer's Disease: Exploring the Roles of Diet, Exercise, Cognitive Reserve, Sleep, and Air QualityView all 20 articles

Effects of traditional Chinese exercises or their integration with medical treatments on cognitive impairment: a network meta-analysis based on randomized controlled trials

Jiadong Qiu&#x;Jiadong Qiu1Sungmin Kim,,
&#x;Sungmin Kim1,2,3*
  • 1Department of Sports Science, Hanyang University, Seoul, Republic of Korea
  • 2BK21 FOUR Human-Tech Convergence Program, Hanyang University, Seoul, Republic of Korea
  • 3Center for Artificial Intelligence Muscle, Hanyang University, Seoul, Republic of Korea

Objective: This study aims to summarize and critically evaluate the effects of traditional Chinese exercises, both in isolation and in combination with medical treatments, on cognitive impairment.

Methods: A systematic search of academic databases, including PubMed, Embase, Web of Science, Cochrane Library, CNKI, Wanfang, and VIP, was conducted to identify the randomized controlled trials (RCTs) that evaluated traditional Chinese exercises and their integration with medical treatments for addressing cognitive impairment. Study quality was assessed using the Cochrane Handbook’s Risk of Bias tool. A total of 24 RCTs involving 1,808 participants were included. The primary outcome measures were the Montreal Cognitive Assessment (MOCA) and the Mini-Mental State Examination (MMSE). Subgroup analyses were performed to compare the intervention effects.

Results: The network meta-analysis revealed that acupuncture combined with Tai Chi (Aandtaiji) showed the most significant improvement in MOCA scores, followed by Qigong. Tai Chi soft ball exercise (Taijiball) demonstrated the greatest improvement in MMSE scores.

Conclusion: The combination of traditional Chinese exercises with medical treatment is more effective in improving MOCA scores, while traditional exercises alone yield better results to enhance MMSE scores. The extended practice of Tai Chi and Qigong enhances cognitive function in patients with cognitive impairment.

Introduction

As the aging continues to accelerate, cognitive impairment has become a widespread and urgent public health issue, affecting millions of people worldwide (Loss et al., 2024; Moawad et al., 2024). Cognitive impairment refers to a decline in abilities like information processing, attention, memory, language, and executive functions, which significantly impact daily life (Arnold, 2020). Cognitive impairment is an umbrella term that encompasses a range of conditions, from mild cognitive impairment (MCI) to severe dementia (Sohn, 2018). Across the world, the care and treatment costs for Alzheimer’s and related dementias are estimated at $1.3 trillion annually, covering medical, home care, long-term facilities, and caregiver services (Roth, 2022; Pandharipande et al., 2023). Low-cost treatment and healthcare strategies are urgently needed to reduce the financial strain on patients and families, slow cognitive decline, and lessen the demand for professional care and healthcare resources (Lin et al., 2024).

Traditional Chinese exercises, such as Qigong, Tai Chi, and Taijiball, combine breath control, body postures, and meditation to enhance physical and mental health (Li et al., 2001; Park et al., 2023; Duan et al., 2024). These exercises have proven effective in aiding recovery from chronic diseases, including cognitive impairment, and in reducing treatment costs (Wayne et al., 2014; Li et al., 2019; Yao et al., 2023). Traditional Chinese exercises combined with medical interventions are considered potential effective solutions due to their low cost, ease of implementation, and long-term efficacy (Navas-Otero et al., 2024; Zhang X. et al., 2024).

However, previous meta-analyses have limitations. Most studies focus mainly on Yang-style Tai Chi and a few types of Qigong (Park et al., 2023; Wang et al., 2023), such as Baduanjin Qigong (BDJqigong), Yi Jin Jing Qigong, Wuqinxi Qigong, and Liuzijue Qigong (LZJqigong), have been considered (Yao et al., 2023). Overlooking other traditional exercises and the diversity within Tai Chi and Qigong. Tai Chi includes various styles, such as Chen, Yang (including simplified forms like the 24-style; Lei et al., 2022), six-style (Lin et al., 2019), and eight-style (Meiling, 2021), Wu style, Sun style, and He style (You et al., 2021). Many commonly practiced Qigong forms, such as SEDJqigong (Jing et al., 2019; Hengjia et al., 2020), Yangfeifang Qigong (YFF Qigong) (Min and Xiaodan, 2023), and exercises like Taijiball (Yong et al., 2016), have never been included in meta-analyses.

Furthermore, combinations of traditional Chinese exercises with therapies like acupuncture and transcranial direct current stimulation (tDCS) are rarely included (Rizhen et al., 2013; Yu, 2021; Liu et al., 2022; Xu et al., 2023). However, these combinations are seldom included in the meta-analyses, and these limitations restrict the generalizability of findings. Moreover, meta-analyses have provided mixed results. Lyu et al. (2021) found Tai Chi had no significant effect on cognitive dysfunction, while Zhou et al. (2022) reported significant improvements.

Most previous studies relied on traditional meta-analysis, limited to direct comparisons between the two treatments (Lyu et al., 2021). Unlike traditional meta-analysis, network meta-analysis allows for the simultaneous comparison of multiple treatments, including traditional Chinese exercises and their combination with medical treatments, even when direct comparisons are unavailable. It ranks interventions by effectiveness, offering a more comprehensive understanding of therapeutic potential. This method is particularly useful in medical research with diverse treatment options, as it integrates both direct and indirect evidence, enhances statistical power, and reveals benefits not apparent in direct comparisons, making it a valuable tool for clinical decision-making (Mbuagbaw et al., 2017; Tian and Li, 2024).

This network meta-analysis review aims to assess the impact of various traditional Chinese exercises, alone and combined with other treatments, on cognitive function in individuals with cognitive impairment. The goal is to identify the most effective intervention strategies, providing valuable insights for clinical trials.

Methods

Study registration

The study was conducted in accordance with the Preferred Reporting Items for Systematic Reviews and Meta-Analyses for Network Meta-Analyses (PRISMA-NMA) guidelines and was prospectively registered with PROSPERO (CRD42024536140).

Eligibility criteria

Inclusion criteria

The inclusion criteria were formulated based on the PICOS (population, interventions, controls, outcomes, study design) framework.

Population: Patients with a confirmed diagnosis of cognitive impairment, who are in the early to early-middle stages of dementia or mild cognitive impairment (MCI), with no prior use of any medications before the intervention were included in the analysis. There were no restrictions on age, gender, race, or nationality.

Intervention: Studies focusing on traditional Chinese exercises (such as Tai Chi, Qigong, etc.) combined with other therapeutic methods (such as acupuncture, tDCS, etc.) were included for the analysis. These interventions were applied either individually or in combination.

Comparison: The control group in this study comprised participants who maintained their regular daily activities without receiving any form of intervention.

Outcome: Cognitive screening and assessment are crucial for evaluating cognitive impairment. In epidemiological studies, MOCA and MMSE are commonly used tools. Thus, the results of this study are based on these measures (Yu et al., 2012; Arevalo-Rodriguez et al., 2021; Jia et al., 2021).

Main outcome measure: Based on the results of this study, the Aandtaiji demonstrated the best effect on the MOCA scores, while Taijiball showed the most significant improvement of the MMSE scores.

Second primary outcome measure: Based on the results of this study, the intervention combining traditional Chinese exercises with other therapeutic methods was superior to all other traditional Chinese exercises in the MOCA scores when compared to the control group receiving no treatment. However, traditional Chinese exercise interventions alone were more effective in improving the MMSE scores than the integrated approach of traditional exercises with other therapeutic methods.

Study design: The study design was restricted to randomized controlled trial.

Exclusion criteria

Studies involving intervention methods unrelated to traditional Chinese exercises in the experimental group; duplicate studies or data, animal experiments, non-patient studies, studies not published in Chinese or English, and studies unrelated to cognitive impairment were excluded from the analysis.

Data sources and search strategy

We conducted a systematic search across major academic databases, including PubMed, EMbase, Web of Science, Cochrane Library, CNKI, Wanfang, and VIP, up to April 30, 2024. The aim was to identify randomized controlled trials (RCTs) evaluating the effects of traditional Chinese exercises (e.g., Tai Chi) or their combination with other treatments on cognitive impairment. Both subject headings and free-text terms were used to capture the relevant studies. To minimize bias and errors, the search strategy followed these principles: (1) diverse search terms: We included a broad range of synonyms and variants, such as Tai Ji, TAIJI, Taijiquan, Baduanjin, cognitive impairment, mild cognitive impairment, dementia, and others; (2) language restrictions: The search was limited to English and Chinese publications to include global research within these two languages; (3) manual and gray literature search: Additional studies were identified by manually reviewing reference lists and including gray literature (e.g., dissertations). This strategy ensures a comprehensive collection of studies on traditional Chinese exercises and their effects on cognitive impairment, minimizing bias and enhancing the reliability of the findings.

Study selection

Based on the predetermined literature retrieval strategy, researchers Jiadong Qiu and Wanyu Shu utilized the EndNote X20 software to retrieve and eliminate duplicate documents. The remaining literature has been assessed for inclusion or exclusion based on established criteria through title and abstract review, followed by a thorough evaluation of the full texts for qualification. In cases of discrepancy, a third researcher, Liang Chen, was consulted to reach a consensus on the final selection of literature.

Data extraction

Two researchers, Jiadong Qiu and Wanyu Shu, developed a data extraction form based on the necessary information for the study and conducted independent data extraction. The included contents were as follows: (1) basic information such as title, author, year, study type, diagnostic criteria, intervention measures, treatment course, and outcome indicators; (2) demographic characteristics including sample size, age, and gender; and (3) methodology of information: Various methods such as randomization, allocation concealment, and blinding are employed in research studies. In cases where discrepancies arise in the data collected by two individuals, they engaged in a discussion to resolve the issue. If a resolution cannot be reached, further discussion and decision-making processes were undertaken.

Risk of bias in studies

Two researchers Jiadong Qiu and Wanyu Shu used the Cochrane Risk of Bias Assessment tool for RCTs to assess the risk of bias. The assessment tool contains the following seven items: generation of the random sequence, allocation concealment, blinding of subjects and intervention providers, blinding of outcome assessors, incomplete outcome data, selective outcome reporting, and other sources of bias, with each item assessing the outcome as low bias, high bias, or unclear (Isenberg et al., 2020).

Synthesis methods

Bayesian random effects models were employed to assess the comparative effectiveness of different interventions. The Markov chain Monte Carlo method was utilized for modeling, with four Markov chains run concurrently and annealing performed 20,000 times. Model convergence was achieved after 50,000 simulation iterations. The study utilized the bias information criterion (BIC) to assess the model fit and global consistency, employed the node splitting method to evaluate local consistency in the presence of closed-loop networks, ranked interventions according to the surface under the cumulative ranking (SUCRA) curve, and generated a league table to compare the efficacy of various interventions. We extracted data from the original 24 RCTs. Numerous original studies incorporated in the analysis conducted multi-arm studies on Tai Chi and other traditional Chinese exercises within the MOCA and MMSE indexes, categorizing subgroups based on specific exercise types. Utilizing Bayesian network meta-regression, we examined potential differences between various traditional Chinese exercises across different intervention durations compared to a control group. When the number of studies included in the outcome index exceeded 10, a funnel plot was utilized to visually represent publication bias. Statistical analyses were conducted using Stata 15.0 (Stata Corporation, College Station, TX) and R 4.2.0 (R Development Core Team, Vienna).1 A significance level of p < 0.05 indicated a statistically significant difference.

Results

Study selection

The literature search and study selection process yielded a total of 3,281 records from the database (Supplementary Table 1). Through screening the references and related articles of the included studies, 1,027 duplicate articles were excluded using software, and an additional 256 duplicate articles were removed by comparing titles with authors. In total, 1,292 duplicate articles were eliminated, resulting in a final selection of 1989 articles. Following the initial screening of titles and abstracts, 700 articles were excluded, leaving a total of 1,289 articles for further review. Of these, 59 underwent full-text evaluation, resulting in the inclusion of 24 studies in the final analysis (Figure 1).

Figure 1
www.frontiersin.org

Figure 1. Literature screening process.

Study characteristics

This study included 24 studies (Burgener et al., 2008; Rizhen et al., 2013; Tuan and Juan, 2013; Cheng et al., 2014; Li et al., 2014; Chan et al., 2016; Yong et al., 2016; Jun and Zhongxing, 2018; Siu and Lee, 2018; tao et al., 2018; Jing et al., 2019; Lin et al., 2019; Hengjia et al., 2020; Liu et al., 2021; Meiling, 2021; Yu, 2021; Zhicheng et al., 2021; Jinping, 2022; Liu et al., 2022; Yu et al., 2022; Chen et al., 2023; Min and Xiaodan, 2023; Xia et al., 2023; Xu et al., 2023) with a total of 1808 patients. The authors were from China and the United States, and the publication time was from 2008 to 2023. Most of the studies were published in the past 5 years. The criteria of MCI mainly came from Petersen. Twenty-four studies employed the same type of traditional Chinese exercises or combined them with other medical interventions (Table 1).

Table 1
www.frontiersin.org

Table 1. Characteristics of included studies in this review.

Risk of bias in studies

This study reviewed 24 articles. Regarding randomization, all studies provided detailed descriptions or explicitly stated adherence to random allocation procedures, resulting in a “low-risk” classification. For allocation concealment, one study explicitly reported not implementing it (Siu and Lee, 2018), 11 studies confirmed its use, while 12 studies lacked sufficient detail and were classified as having an “uncertain risk of bias.” Due to the nature of the interventions, blinding the participants was limited. Thirteen studies reported using blinding, while the others were rated as having “uncertain risk” due to inadequate reporting. For outcome assessment, data completeness, and selective reporting, all studies were deemed “low risk” as participant numbers were consistent with initial enrollments, and no selective reporting was observed. Two studies with small sample sizes (Hengjia et al., 2020; Yu et al., 2022) raised concerns about publication bias and were rated as high risk. All other studies were assessed as low risk. Figure 2 summarizes the overall risk of bias and provides individual assessments for each study (Figure 2).

Figure 2
www.frontiersin.org

Figure 2. Summary of risk of bias for all the included studies. Method: this figure presents a risk of bias assessment based on the Cochrane Collaboration’s framework. Bias categories include random sequence generation, allocation concealment, blinding, and other potential biases. Green: Low risk of bias. Yellow: Unclear risk of bias. Red: High risk of bias. Results: The bar chart summarizes the proportion of studies with low, unclear, or high risk of bias. Most categories show a low risk, with some uncertainty in allocation concealment and a small portion of high risk in “other bias.” A table below shows individual study assessments, with color-coded dots indicating the bias level.

Meta-analysis

The first outcome measure was MOCA linkages between interventions. MOCA: 16 studies (Tuan and Juan, 2013; Jun and Zhongxing, 2018; tao et al., 2018; Jing et al., 2019; Hengjia et al., 2020; Liu et al., 2021; Meiling, 2021; Yu, 2021; Zhicheng et al., 2021; Jinping, 2022; Liu et al., 2022; Yu et al., 2022; Chen et al., 2023; Min and Xiaodan, 2023; Xia et al., 2023; Xu et al., 2023) used MOCA as an outcome indicator and four studies (Yu, 2021; Jinping, 2022; Liu et al., 2022; Xu et al., 2023) used a combination of traditional Chinese exercises and medical means, among which the direct comparison between Qigong and control group was the most, followed by the direct comparison between Taiji (Tai Chi) and control group, and the combination of Taiji and other interventions was the most. The figure shows a closed loop (Supplementary Figure 1).

Synthesized results

As regards MOCA indicators, the network meta-analysis results showed that compared with the control group, the three interventions (Aandtaiji, Qigong, and Taiji) showed significant advantages (p < 0.05) (Figure 3). The top three interventions for MOCA indicators were Aandtaiji (Acupuncture combined with Tai Chi) [RR = 4.11, 95% CI (1.102, 7.46), p < 0.05], Qigong [RR = 2.35, 95% CI (1.26, 3.36), p < 0.05], and Taiji [RR = 2.14, 95% CI (0.79, 3.72), p < 0.05], all showing significant effects (Supplementary Table 2). However, although Taiji-tDCS (Tai Chi combined with tDCS) [RR = 0.24, 95% CI (−2.36, 2.99), p < 0.05] was included in the analysis, it did not show a statistically significant effect compared to Aandtaiji.

Figure 3
www.frontiersin.org

Figure 3. Comparison of MOCA index intervention and control groups (Forest Plot). 1: Qigong; 2: Qigong and Transcranial Direct Current Stimulation (tDCS); 3: Exergaming-based Tai Ji (body movement-controlled computer Tai Ji game); 4: Tai Ji; 5: Acupuncture and Tai Ji (Aandtaiji); 6: Tai Ji combined with tDCS (TaijitDcs). Method: This forest plot shows the mean differences between various interventions and the control group, with 95% credible intervals (CrI). Circles represent point estimates, and horizontal lines indicate credible intervals. Results: Significant positive effects were observed for interventions like Acupuncture and Tai Ji (Aandtaiji), followed by Qigong. Other interventions, such as Exergaming and Qigong with tDCS, showed unclear effects.

SUCRA ranking for the top three is in the order Aandtaiji (0.927), Qigong (0.671), and Taiji (0.615) (Table 2).

Table 2
www.frontiersin.org

Table 2. Ranking table of interventions.

MOCA subgroup

Linkages between interventions: This section provides an explanation of the relationships between different interventions in the network meta-analysis. To compare which exercises had the greatest impact on cognitive function, traditional Chinese exercises (such as Tai Chi) were classified into MOCA subgroups based on their names (Supplementary Figure 2).

For instance, BDJqigong and Ytaiji (Yang style Tai Chi) were directly compared with control groups in the previous studies. Other interventions combined Tai Chi or Qigong with additional treatments, such as YFFqigong and SEDJqigong, which had not been included in prior meta-analyses of traditional Chinese exercises and cognitive dysfunction. The figure illustrates a closed loop, indicating interconnected comparisons among interventions (Figure 4).

Figure 4
www.frontiersin.org

Figure 4. Comparison of MOCA subgroups intervention and control groups (Forest Plot). 1: Baduanjin Qigong + tDCS (BDJqigongandT); 2: Baduanjin Qigong (BDJqigong); 3: Liuzijue Qigong (LZJqigong); 4: Twelve Duanjin Qigong (SEDJqigong); 5: Yifei Fang Qigong (YFFqigong); 6: Yijinjing Qigong + Wuqinxi Qigong + Liuzijue Qigong + Baduanjin Qigong (YWLBqigong); 7: Yang-style Tai Ji game (EYtaijigame); 8: Yang-style Tai Ji (Ytaiji); 9: Acupuncture and Yang-style Tai Ji (AandYtaiji); 10: Yang-style Tai Ji combined with tDCS (YtaijitDcs). Method: The forest plot displays the mean differences between subgroup interventions and the control group, with 95% CrI. Results: Acupuncture with Yang-style Tai Ji (AandYtaiji) and Twelve Duanjin Qigong (SEDJqigong) showed significant improvements, while other interventions, such as Baduanjin Qigong, had smaller, non-significant effects.

Synthesized results

The results of MOCA subgroup network meta-analysis showed that compared with the control group, four interventions—SEDJqigong [RR = 4.29, 95% CI (1.87, 6.60), p < 0.05], Acupuncture combined with Yang style of Tai Chi [RR = 4.28, 95% CI (0.75, 8.26), p < 0.05], YTaiji [RR = 2.31, 95% CI (0.87, 4.18), p < 0.05], and BDJqigong (RR = 1.90, 95% CI (0.04, 3.80), p < 0.05)—bestowed significant advantages (Figure 4; Supplementary Table 3).

The top three SUCRA rankings were as follows: SEDJqigong (0.850), Aandyaiji (0.871), Eytaijigame (It is the body movement—controlled computer Yang style Tai Chi game) (0.581).

The second index MMSE

Linkages between interventions: MMSE: 11 studies (Burgener et al., 2008; Rizhen et al., 2013; Tuan and Juan, 2013; Cheng et al., 2014; Li et al., 2014; Yong et al., 2016; Jun and Zhongxing, 2018; Siu and Lee, 2018; Lin et al., 2019; Jinping, 2022) took MMSE as the outcome index, among which the direct comparison between Taiji and the control group was the most, followed by the direct comparison between Qigong and the control group. Of these 11 studies, two included interventions (Rizhen et al., 2013; Jinping, 2022) that combined traditional Chinese exercises with other interventions. In addition, this study included Taijiball intervention measures that had never been included in traditional Chinese exercises and cognitive dysfunction in the previous meta-analysis. The figure does not show a closed loop (Supplementary Figure 3).

Synthesized results

MMSE

The results of network meta-analysis showed that compared with the control group, Taijiball [RR = 8.74, 95% CI (5.94, 11.53), p < 0.05] had a significant advantage (Figure 5; Supplementary Table 4) The top three SUCRA rankings were as follows: Taijiball (0.992), Nao Ling Tang, and Tai Chi (Naoandtaiji) (0.703), and Taijiandqigong (Tai Chi Qigong is organized by combining Yang-style and Wu-style Tai Chi with Ba Duan Jin Qigong, Wu Qin Xi Qigong, and Liu Zi Jue Qigong) (0.670) (Table 2).

Figure 5
www.frontiersin.org

Figure 5. Comparison of MOCA subgroups intervention and control groups (Forest Plot). 1: Baduanjin Qigong + tDCS (BDJqigongandT); 2: Baduanjin Qigong (BDJqigong); 3: Liuzijue Qigong (LZJqigong); 4: Twelve Duanjin Qigong (SEDJqigong); 5: Yifei Fang Qigong (YFFqigong); 6: Yijinjing Qigong + Wuqinxi Qigong + Liuzijue Qigong + Baduanjin Qigong (YWLBqigong); 7: Yang-style Tai Ji game (EYtaijigame); 8: Yang-style Tai Ji (Ytaiji); 9: Acupuncture and Yang-style Tai Ji (AandYtaiji); 10: Yang-style Tai Ji combined with tDCS (YtaijitDcs). Method: The forest plot displays the mean differences between subgroup interventions and the control group, with 95% CrI. Results: Acupuncture with Yang-style Tai Ji (AandYtaiji) and Twelve Duanjin Qigong (SEDJqigong) showed significant improvements, while other interventions, such as Baduanjin Qigong, had smaller, non-significant effects.

MMSE subgroups

The link between the interventions: There were studies that used a most direct comparison between Ytaiji and the control group, followed by the intervention combined with Qigong and other interventions combined with Ytaiji and the control group. The figure does not show a closed loop (Figure 6; Supplementary Table 5).

Figure 6
www.frontiersin.org

Figure 6. Comparison of MMSE subgroups intervention and control groups (Forest Plot). 1: Liuzijue Qigong (LZJqigong); 2: Nao Ling Tang and Yang-style Tai Ji (NaoanYtaiji); 3: Tai Ji and Qigong (combining Yang-style and Wu-style Tai Ji with Baduanjin, Wuqinxi, and Liuzijue Qigong); 4: Tai Ji soft ball exercise (Taijiball); 5: Yijinjing Qigong previous meta-analyses have limitations. Wuqinxi Qigong + Liuzijue Qigong + Baduanjin Qigong (YWLBqigong); 6: Yang-style Tai Ji (Ytaiji); 7: Baduanjin Qigong + tDCS (BDJQigongandT). Method: Mean difference analysis comparing various traditional exercises and a control group, with 95% CrI. Results: Tai Ji soft ball exercise (Taijiball) showed the greatest effect, while other interventions, such as Baduanjin Qigong with tDCS and Liuzijue Qigong, had smaller, non-significant effects.

Synthesized results

MMSE subgroups

Compared with the control group, there was still only one intervention, Taijiball [RR = 8.75, 95% CI (4.81, 12.68), p < 0.05] (Figure 6).

The top three in the SUCRA ranking are: Taijiball (0.983), Naoandytaiji (Nao Ling Tang and Yang style of Tai Chi) (0.708), Taijiandqigong (0.676) (Table 2).

Among them, the traditional Chinese exercises (such as Tai Chi and Qigong) ranked first: Taijiball (0.983). The intervention method combining traditional Chinese exercises (such as Tai Chi and qigong) with other means ranked first: Naoandytaiji (0.708). In MMSE subgroup, traditional Chinese exercises were superior to the intervention method of traditional Chinese exercises combined with other means.

Meta-regression

Given the variability in the intervention durations (course) across different modalities, a meta-regression analysis was performed to assess the impact of intervention duration on MOCA and MMSE outcomes. This analysis aimed to quantify the extent to which intervention length influenced the respective cognitive performance measures. The results show that, compared with control group, Qigong [RR = 2.35, 95% CI (1.26, 3.36), p < 0.05], and Taiji [RR = 2.14, 95% CI (0.79, 3.72), p < 0.05], intervention time was correlated with MOCA index, the results were statistically significant, and the intervention time of other intervention measures had no significant correlation with MOCA index. From the MOCA subgroup analysis, the intervention time of Ytaiji [RR = 2.38, 95% CI (0.68, 4.48), p < 0.05] was related to the MOCA index, and the results were statistically significant. The intervention time of the rest of the interventions for the effects of MOCA indicators showed no significant correlation, and the results displayed no statistical significance. There was no significant correlation between the intervention time of different interventions and the MMSE indicators, and the results were not statistically significant (Table 2).

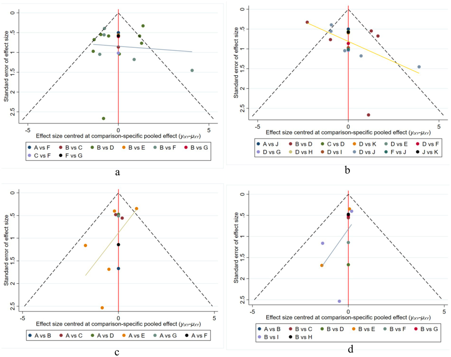
Publication bias

Publication bias was assessed for the two indexes. As shown in the figure, there is little possibility of bias in the data (Figure 7).

Figure 7
www.frontiersin.org

Figure 7. Funnel plots. (a) Funnel plot for MOCA indicators; (b) Funnel plot for MOCA subgroup indicators; (c) Funnel plot for MMSE indicators; (d) Funnel plot for MMSE subgroups. Method: Funnel plots display the effect sizes and standard errors of the included studies. Results: Some asymmetry was observed, indicating potential publication bias in certain comparisons.

Discussion

Summary of the main findings

A meta-analysis of 24 studies involving 1808 patients, including 13 RCTs on traditional Chinese exercises alone or combined with other treatments, showed Aandytaiji ranked first for MOCA scores overall, followed closely by SEDJqigong, though the latter had a small sample size and potential risk of bias. Taijiball showed the most significant improvement in MMSE scores. The meta-regression results indicated longer durations of Qigong and Tai Chi interventions yielded better outcomes (Supplementary Table 6).

Interpretation of the results

First, this study confirms the efficacy of traditional Chinese exercises, alone or combined with other treatments, in treating cognitive impairment. The meta-analysis results are mixed. Lyu et al. (2021) found Tai Chi had no significant effect on cognitive dysfunction, while Zhou et al. (2022) reported significant improvements.

Secondly, several traditional Chinese exercises commonly used in research were not included in prior meta-analyses (Su et al., 2022; Zhou et al., 2022). This study is the first to examine the impact of traditional Chinese exercises, such as Tai Chi, on cognitive dysfunction within the context of a current meta-analysis. SEDJqigong (Jing et al., 2019; Hengjia et al., 2020), YFF qigong (Min and Xiaodan, 2023), and Taijiball (Yong et al., 2016) were among the interventions studied. Although SEDJqigong achieved the highest score in the MOCA subgroup analysis, its small sample size and potential risk of bias indicate that Aandytaiji remains the top-ranked intervention for MOCA overall. SEDJqigong, also known as Wenba Duan Jin (sitting Ba Duan Jin) (Lijiang, 2018), is a systemic exercise beneficial for both able-bodied individuals and those with lower limb disabilities (Lijiang, 2018; Tao, 2018). It involves cognitive functions such as memory, visuospatial ability, and executive ability and has a broader effect on cognitive function (Liu J. et al., 2024). In comparison, Aandytaiji enhances cognitive function and blood circulation, particularly in areas critical for cognition. Its combination of acupuncture and Tai Chi addresses ischemia, making it highly effective for early-stage dementia, further reinforcing its top ranking in the MOCA analysis (Romero-García et al., 2024; Subbarao et al., 2024). Taijiball ranked first in improving MMSE scores, and the limitations of previous meta-analyses were addressed in this analysis. In previous meta-analyses, Taijiball was not included as an intervention, limiting the assessment of traditional Chinese exercises on cognitive function, particularly MMSE scores. This study addresses that limitation by incorporating Taijiball, offering a more comprehensive perspective and explaining its strong performance in MMSE scores, providing new evidence of its contribution to cognitive function. Taijiball integrates soft, steady movements through the coordination of racket, ball, and body, providing a holistic workout (Wang et al., 2021). Continuous stimulation of acupuncture points on the hands during Taijiball practice activates the cerebral cortex, mitigating memory loss in the elderly. This supports Taijiball’s brain health benefits from a TCM perspective (Sun et al., 2021).

Additionally, previous randomized controlled trials typically compared traditional Chinese exercises with comprehensive interventions. A few studies included these combined interventions in meta-analyses. This study found that combined interventions improved MOCA scores more effectively than traditional exercises alone, while traditional exercises alone were more effective in improving MMSE scores. For MOCA scores, the combined intervention of acupuncture and Tai Chi ranked first. Pang et al. (2022) found that the frontal and temporal lobes are crucial for cognitive function. Acupuncture at Baihui and Zhisan (Shentingxue and Benshen), combined with Tai Chi, improved blood supply to these lobes, addressing ischemia and hypoperfusion (Yang et al., 2021). Tai Chi, based on Yin-Yang theory, may delay cognitive decline in elderly individuals with MCI and improve cognitive function in early-stage dementia (Wei et al., 2022).

For MOCA indicators, Aandytaiji ranks the highest. For MMSE indicators, Taijiball is highly effective, though its limited inclusion in the literature may introduce bias. Further research is needed to assess its full impact.

Although Tai Chi was included in most studies, its SUCRA ranking was not the highest. Various forms of Qigong were employed in prior studies, but RCTs focused mainly on Yang’s Tai Chi. There are many types of Tai Chi, each with unique characteristics. The limited number of studies on Chen’s Tai Chi and other forms may explain the suboptimal outcomes. More research is needed to address this gap (Joshi et al., 2024).

These findings support the positive role of traditional Chinese exercises, alone or combined with other treatments, in treating cognitive impairment. Comparing specific exercises can positively impact clinical treatment strategies and reduce medication costs for cognitive impairment patients.

Discussion on heterogeneity

Variations in exercise protocols: This study examined different traditional Chinese exercises, such as Tai Chi, Qigong, and Taijiball, which differ significantly in practice. Tai Chi focuses on balance and gentle movements, while Qigong emphasizes breath regulation. These differences in duration, intensity, and frequency can lead to varying cognitive effects, increasing heterogeneity across studies (Cheng et al., 2024; Liu P. et al., 2024).

Participant characteristics: Participants vary by age, gender, and baseline cognitive impairment. Younger or healthier individuals may benefit more from interventions, while older adults or those with comorbidities like hypertension or diabetes may show weaker responses, contributing to variability in outcomes (Alford et al., 2024; Ibañez et al., 2024; Pramanik et al., 2024; Yin et al., 2024; Zhang L. et al., 2024).

Differences in study settings: Geographic and cultural factors also impact results. For example, participants in China may have higher adherence to Tai Chi due to cultural familiarity, while those in Western countries may be less engaged. Disparities in healthcare resources further affect intervention outcomes (Jimenez et al., 2024).

Study design and methodology: Variations in study design, including intervention duration, follow-up periods, and assessment methods, contribute to heterogeneity. Studies with shorter follow-ups may miss long-term effects, while longer studies may capture more significant cognitive changes (Wei et al., 2024; Ziccardi et al., 2024). Additionally, reliance on self-reported assessments versus clinical evaluations adds to variability.

Limitations

This study included 24 articles, but several limitations could affect the reliability of the results. First, allocation concealment is critical for preventing selection bias, and a lack of transparency in this regard may reduce internal validity (Sharpe et al., 2024). Additionally, blinding was uncertain in some studies, introducing potential performance and detection biases, which could lead to an overestimation of the treatment effects (Choy et al., 2024). Second, small sample sizes in two studies reduced statistical power, increasing the risk of random error and possibly exaggerating treatment effects. Publication bias is also a concern, as positive results are more likely to be published, while negative or null findings may be underreported (Zhang et al., 2013). These limitations, particularly small sample sizes, lack of blinding, and potential publication bias, could result in overestimated effects and increased heterogeneity. Future research should focus on larger sample sizes, stricter blinding, and minimizing bias to improve the reliability and generalizability of the findings (Lin, 2018; Kulkarni et al., 2024; Tamrakar et al., 2024).

Clinical implications and future directions

The findings of this study align with previous research while offering new insights. Aandtaiji and Taijiball showed strong performance in both MOCA and MMSE scores, suggesting their potential to improve cognitive function by regulating central nervous system activity (You and Ogawa, 2020). These results support traditional Chinese exercises, alone or combined with medical interventions, as effective strategies for enhancing brain function through energy balance, increased oxygenation, and neural activation (Gharpure et al., 2024; He et al., 2024). These findings have important implications for clinical practice. Incorporating traditional Chinese exercises into treatment plans can reduce medication dependency and improve outcomes for patients with cognitive impairment. As a low-cost, easily implemented intervention, traditional Chinese exercises are particularly suitable for managing long-term cognitive decline. They offer great potential in resource-limited settings, helping to ease the financial burden on healthcare systems and families while providing sustained cognitive benefits (Flores-Sandoval et al., 2024; Laakso et al., 2024).

Conclusion

Research shows that traditional Chinese exercises, whether used alone or in combination with other treatments, can enhance cognitive abilities in patients with cognitive impairment. Combined treatments outperform traditional exercises alone in improving MOCA scores, whereas traditional exercises alone are more effective in enhancing MMSE scores. Additionally, longer practice durations of Tai Chi and Qigong lead to better results. Currently, despite the extensive research on Tai Chi as an intervention for cognitive impairment, the studies have primarily focused on a single form of Tai Chi, necessitating further in-depth research. This study is the first to include SEDJqigong and Taijiball, and more clinical trials are anticipated. These findings provide new evidence for the clinical treatment of cognitive impairment.

Data availability statement

The original contributions presented in the study are included in the article/Supplementary material, further inquiries can be directed to the corresponding author.

Author contributions

JQ: Writing – original draft, Writing – review & editing. SK: Writing – original draft, Writing – review & editing.

Funding

The author(s) declare that no financial support was received for the research, authorship, and/or publication of this article.

Acknowledgments

We would like to express our sincere gratitude to Wanyu Shu for her significant contributions to the study selection, data extraction, and risk of bias assessment. Her diligent efforts in literature retrieval and her meticulous approach to data management were invaluable to the success of this project. We also extend our thanks to Liang Chen, who provided critical input during the consensus process, resolving discrepancies in literature selection and data extraction, which ensured the rigor and integrity of our study.

Conflict of interest

The authors declare that the research was conducted in the absence of any commercial or financial relationships that could be construed as a potential conflict of interest.

Publisher’s note

All claims expressed in this article are solely those of the authors and do not necessarily represent those of their affiliated organizations, or those of the publisher, the editors and the reviewers. Any product that may be evaluated in this article, or claim that may be made by its manufacturer, is not guaranteed or endorsed by the publisher.

Supplementary material

The Supplementary material for this article can be found online at: https://www.frontiersin.org/articles/10.3389/fnagi.2024.1475406/full#supplementary-material

Footnotes

References

Alford, K., Vera, J. H., Hammond, J., and Daley, S. (2024). Understanding the lived experience research priorities for improving health-related quality of life in people living with HIV with cognitive impairment. HIV Res. Clin. Pract. 25:2358724

PubMed Abstract | Google Scholar

Arevalo-Rodriguez, I., Smailagic, N., Roqué-Figuls, M., Ciapponi, A., Sanchez-Perez, E., Giannakou, A., et al. (2021). Mini-mental state examination (MMSE) for the early detection of dementia in people with mild cognitive impairment (MCI). Cochrane Database Syst. Rev. 7:CD010783. doi: 10.1002/14651858.cd010783.pub3

Crossref Full Text | Google Scholar

Arnold, C. (2020). Could COVID delirium bring on dementia? Nature 588, 22–24. doi: 10.1038/d41586-020-03360-8

PubMed Abstract | Crossref Full Text | Google Scholar

Burgener, S. C., Yang, Y., Gilbert, R., and Marsh-Yant, S. (2008). The effects of a multimodal intervention on outcomes of persons with early-stage dementia. Am J Alzheimers Dis Other Dementias 23, 382–394. doi: 10.1177/1533317508317527

PubMed Abstract | Crossref Full Text | Google Scholar

Chan, A. W., Yu, D. S., Choi, K., Lee, D. T., Sit, J. W., and Chan, H. Y. (2016). Tai chi qigong as a means to improve night-time sleep quality among older adults with cognitive impairment: a pilot randomized controlled trial. Clin. Interv. Aging 11, 1277–1286. doi: 10.2147/CIA.S111927

PubMed Abstract | Crossref Full Text | Google Scholar

Chen, Y., Qin, J., Tao, L., Liu, Z., Huang, J., Liu, W., et al. (2023). Effects of Tai Chi Chuan on cognitive function in adults 60 years or older with type 2 diabetes and mild cognitive impairment in China: a randomized clinical trial. JAMA Netw. Open 6:e237004. doi: 10.1001/jamanetworkopen.2023.7004

PubMed Abstract | Crossref Full Text | Google Scholar

Cheng, X., Cao, M., Yeung, W. F., and Cheung, D. S. T. (2024). The effectiveness of exercise in alleviating long COVID symptoms: A systematic review and meta-analysis. Worldviews Evid. Based Nurs. 21, 561–574. doi: 10.1111/wvn.12743

Crossref Full Text | Google Scholar

Cheng, S. T., Chow, P. K., Song, Y. Q., Yu, E. C., Chan, A. C., Lee, T. M., et al. (2014). Mental and physical activities delay cognitive decline in older persons with dementia. Am. J. Geriatr. Psychiatry 22, 63–74. doi: 10.1016/j.jagp.2013.01.060

Crossref Full Text | Google Scholar

Choy, M. C., Li Wai Suen, C. F. D., Con, D., Boyd, K., Pena, R., Burrell, K., et al. (2024). Intensified versus standard dose infliximab induction therapy for steroid-refractory acute severe ulcerative colitis (PREDICT-UC): an open-label, multicentre, randomised controlled trial. Lancet Gastroenterol. Hepatol. 9, 981–996. doi: 10.1016/S2468-1253(24)00200-0

Crossref Full Text | Google Scholar

Duan, D., Wang, D., Li, H., Li, W., and Wu, D. J. S. R. (2024). Acute effects of different tai chi practice protocols on cardiac autonomic modulation. Sci. Rep. 14:5550. doi: 10.1038/s41598-024-56330-9

Crossref Full Text | Google Scholar

Flores-Sandoval, C., Teasell, R., Mackenzie, H. M., Mcintyre, A., Barua, U., Mehta, S., et al. (2024). Evidence-based review of randomized controlled trials of interventions for mental health management post-moderate to severe traumatic brain injury. J. Head Trauma Rehabil. 39, 342–358. doi: 10.1097/HTR.0000000000000984

PubMed Abstract | Crossref Full Text | Google Scholar

Gharpure, V., Parab, S., Ryain, A., and Ghosh, A. (2024). Therapeutic potential of recreation on non-motor symptoms in Parkinson’s disease: a literature review. Adv. Mind Body Med. 28, 28–32

PubMed Abstract | Google Scholar

He, J., Chan, S. H., Lin, J., and Tsang, H. W. (2024). Integration of tai chi and repetitive transcranial magnetic stimulation for sleep disturbances in older adults: a pilot randomized controlled trial. Sleep Med. 122, 35–44. doi: 10.1016/j.sleep.2024.07.029

PubMed Abstract | Crossref Full Text | Google Scholar

Hengjia, L., Yinxiumin Qingnan, F., Jing, Y., and Jie, Z. (2020). Health qigong twelve Duan Jin impact study in patients with mild cognitive dysfunction. Chin. J. Prev. Med. 21, 965–968. doi: 10.16506/j.1009-6639.2020.09.002

Crossref Full Text | Google Scholar

Ibañez, G. E., Ahmed, S., Hu, N., Larkey, L., Fennie, K. P., Lembo, M., et al. (2024). Acceptability and feasibility of a tai chi/qigong intervention for older people living with HIV. AIDS Behav. 28, 1291–1300. doi: 10.1007/s10461-023-04158-1

PubMed Abstract | Crossref Full Text | Google Scholar

Isenberg, S. R., Kavalieratos, D., Chow, R., Le, L., Wegier, P., and Zimmermann, C. (2020). Quality versus risk of bias assessment of palliative care trials: Comparison of two tools. BMJ Support Palliat Care 22:002539. doi: 10.1136/bmjspcare-2020-002539

Crossref Full Text | Google Scholar

Jia, X., Wang, Z., Huang, F., Su, C., Du, W., Jiang, H., et al. (2021). A comparison of the Mini-mental state examination (MMSE) with the Montreal cognitive assessment (MoCA) for mild cognitive impairment screening in Chinese middle-aged and older population: a cross-sectional study. BMC Psychiatry 21, 1–13. doi: 10.1186/s12888-021-03495-6

Crossref Full Text | Google Scholar

Jimenez, E. R., Juarez, J., Struwe, L., and Cohen, M. Z. (2024). Tai chi as a complementary therapy for depression and anxiety among U.S. veterans in a mental health inpatient setting. J. Am. Psychiatr. Nurses Assoc. 30, 778–784. doi: 10.1177/10783903231201592

PubMed Abstract | Crossref Full Text | Google Scholar

Jing, Y., Jie, Z., and Xusheng, Z. (2019). Article eight of mild cognitive dysfunction in patients with clinical curative effect evaluation research. Continuing Med. Educ. 33, 160–162. doi: 10.3969/j.issn.1004-6763.2019.02.083

Crossref Full Text | Google Scholar

Jinping, F. (2022). Eight period of jin joint transcranial direct current stimulation in the treatment of mild cognitive dysfunction after stroke clinical studies. New Traditional Chin. Med. 54, 146–149. doi: 10.13457/j.cnki.jncm.2022.18.032

Crossref Full Text | Google Scholar

Joshi, R., Kulkarni, N., Kulkarni, C. A., and Bansal, P. (2024). Impact of tai chi and Aerobic exercise on cognitive function, balance, cardiovascular fitness, and quality of life in older adults: randomized control trial. Cureus 16:e62497. doi: 10.7759/cureus.62497

Crossref Full Text | Google Scholar

Jun, C., and Zhongxing, Z. (2018). A study on the intervention effects of continuous qigong exercise on mild cognitive impairment in the elderly. J. Baicheng Teachers College 32, 59–63.

Google Scholar

Kulkarni, P. S., Padmapriyadarsini, C., Vekemans, J., Bavdekar, A., Gupta, M., Kulkarni, P., et al. (2024). Seropersistence of SII-ChAdOx1 nCoV-19 (COVID-19 vaccine): 6-month follow-up of a randomized, controlled, observer-blind, phase 2/3 immuno-bridging study in Indian adults. Hum. Vaccin. Immunother. 20:2304974. doi: 10.1080/21645515.2024.2304974

PubMed Abstract | Crossref Full Text | Google Scholar

Laakso, J., Kopra, J., Koivumaa-Honkanen, H., Sirola, J., Honkanen, R., Kröger, H., et al. (2024). Physical and mental health predicts better adherence to exercise intervention in older women: a post-hoc analysis. Heliyon 10:e32128. doi: 10.1016/j.heliyon.2024.e32128

PubMed Abstract | Crossref Full Text | Google Scholar

Lei, H., Ma, Z., Tian, K., Liu, K., Wang, J., Zhu, X., et al. (2022). The effects of different types of tai chi exercises on motor function in patients with Parkinson’s disease: a network meta-analysis. Front. Aging Neurosci. 14:936027. doi: 10.3389/fnagi.2022.936027

PubMed Abstract | Crossref Full Text | Google Scholar

Li, F., Harmer, P., and Chou, L.-S. (2019). Dual-task walking capacity mediates tai Ji Quan impact on physical and cognitive function. Med. Sci. Sports Exercise 51, 2318–2324. doi: 10.1249/MSS.0000000000002051

PubMed Abstract | Crossref Full Text | Google Scholar

Li, F., Harmer, P., Liu, Y., and Chou, L.-S. (2014). Tai Ji Quan and global cognitive function in older adults with cognitive impairment: a pilot study. Arch. Gerontol. Geriatr. 58, 434–439. doi: 10.1016/j.archger.2013.12.003

PubMed Abstract | Crossref Full Text | Google Scholar

Li, J., Hong, Y., and Chan, K. (2001). Tai chi: physiological characteristics and beneficial effects on health. Br. J. Sports Med. 35, 148–156. doi: 10.1136/bjsm.35.3.148

PubMed Abstract | Crossref Full Text | Google Scholar

Lijiang, P. (2018). Health qigong twelve Duan Jin for people with disabilities research on the effects of blood lipid and lipoprotein lipase activity. Massage Rehab. Med. 9, 6–8.

Google Scholar

Lin, L. (2018). Bias caused by sampling error in meta-analysis with small sample sizes. PLoS One 13:e0204056. doi: 10.1371/journal.pone.0204056

PubMed Abstract | Crossref Full Text | Google Scholar

Lin, Y.-C., Hsu, W.-C., Chen, C.-H., Wang, C.-W., Wu, K. P.-H., and Wong, A. M. (2019). Simplified tai chi 6-form apparatus for balance in elderly people with Alzheimer’s disease. J. Med. Biol. Eng. 39, 682–692. doi: 10.1007/s40846-018-0451-5

Crossref Full Text | Google Scholar

Lin, M., Liu, W., Ma, C., Gao, J., Huang, L., Zhu, J., et al. (2024). Tai chi-induced Exosomal LRP1 is associated with memory function and Hippocampus plasticity in aMCI patients. Am. J. Geriatr. Psychiatry 32, 1215–1230. doi: 10.1016/j.jagp.2024.04.012

PubMed Abstract | Crossref Full Text | Google Scholar

Liu, C.-L., Cheng, F.-Y., Wei, M.-J., and Liao, Y. Y. J. F. I. A. N. (2022). Effects of exergaming-based tai chi on cognitive function and dual-task gait performance in older adults with mild cognitive impairment: a randomized control trial. Front. Aging Neurosci. 14:761053. doi: 10.3389/fnagi.2022.761053

PubMed Abstract | Crossref Full Text | Google Scholar

Liu, P., Li, Y., Tang, D., Liu, G., Zou, Y., Ma, Y., et al. (2024). Effects of different traditional Chinese exercises on pulmonary function in patients with stable chronic obstructive pulmonary disease: a network meta-analysis. BMC Complement Med Ther 24:304. doi: 10.1186/s12906-024-04609-9

PubMed Abstract | Crossref Full Text | Google Scholar

Liu, J., Tao, J., Xia, R., Li, M., Huang, M., Li, S., et al. (2021). Mind-body exercise modulates locus Coeruleus and ventral tegmental area functional connectivity in individuals with mild cognitive impairment. Front. Aging Neurosci. 13:646807. doi: 10.3389/fnagi.2021.646807

PubMed Abstract | Crossref Full Text | Google Scholar

Liu, J., Yang, Y., Li, C., Perez, A., Raine, A., Shi, H., et al. (2024). Effects of mind-body qigong exercise on overall health, fatigue/sleep, and cognition in older Chinese immigrants in the US: an intervention study with control. J. Aging Res. 2024, 1–11. doi: 10.1155/2024/2481518

Crossref Full Text | Google Scholar

Loss, K., Fandino, W., Almarie, B., Bazan-Perkins, B., Minetto, J., Aranis, N., et al. (2024). The impact of education level and socioeconomic status on the association between depressive symptoms and memory in an older population in Latin America: an exploratory analysis from the Brazilian longitudinal study of aging (ELSI-BRAZIL). Dialogues Health 5:100183. doi: 10.1016/j.dialog.2024.100183

PubMed Abstract | Crossref Full Text | Google Scholar

Lyu, D., Wang, J., Yang, F., Zhang, Y., Zhang, W., Liu, H., et al. (2021). Effect of tai chi on post-stroke non-motor disorders: a systematic review and meta-analysis of randomized controlled trials. Clin. Rehabil. 35, 26–38. doi: 10.1177/0269215520951020

PubMed Abstract | Crossref Full Text | Google Scholar

Mbuagbaw, L., Rochwerg, B., Jaeschke, R., Heels-Andsell, D., Alhazzani, W., Thabane, L., et al. (2017). Approaches to interpreting and choosing the best treatments in network meta-analyses. Syst. Rev. 6:79. doi: 10.1186/s13643-017-0473-z

PubMed Abstract | Crossref Full Text | Google Scholar

Meiling, H. (2021). Clinical effect of eight forms of tai chi on mild cognitive dysfunction caused by lacunar cerebral infarction. Fujian University of Traditional Chinese Medicine. 2021. doi: 10.27021/d.cnki.gfjzc.2021.000362

Crossref Full Text | Google Scholar

Min, Z., and Xiaodan, L. (2023). To explore the effect and mechanism of health qigong Yangfei decoction on cognitive function in patients with stable chronic obstructive pulmonary disease. Chin. J. Rehab. Med. 38, 904–910. doi: 10.3969/j.issn.1001-1242.2023.07.006

Crossref Full Text | Google Scholar

Moawad, M., Serag, I., Alkhawaldeh, I. M., Abbas, A., Sharaf, A., Alsalah, S., et al. (2024). Exploring the mechanisms and therapeutic approaches of mitochondrial dysfunction in Alzheimer’s disease: An educational literature review. Mol. Neurobiol. 12:4468. doi: 10.1007/s12035-024-04468-y

Crossref Full Text | Google Scholar

Navas-Otero, A., Pineda-Nogueras, A., Ortiz-Rubio, A., Calvache Mateo, A., Torres-Sánchez, I., Carmen Valenza, M., et al. (2024). Effects of tai-chi on quality of life in people with neurodegenerative diseases. A systematic review of randomised clinical trials. Am. J. Health Promot. 38, 873–882. doi: 10.1177/08901171241233095

PubMed Abstract | Crossref Full Text | Google Scholar

Pandharipande, P., Williams Roberson, S., Harrison, F. E., Wilson, J. E., Bastarache, J. A., and Ely, E. W. (2023). Mitigating neurological, cognitive, and psychiatric sequelae of COVID-19-related critical illness. Lancet Respir. Med. 11, 726–738. doi: 10.1016/S2213-2600(23)00238-2

PubMed Abstract | Crossref Full Text | Google Scholar

Pang, L., Fan, B., Chen, Z., Chen, Z., Lv, C., and Zheng, J. (2022). Disruption of cerebellar-cerebral functional connectivity in temporal lobe epilepsy and the connection to language and cognitive functions. Front. Neurosci. 16:871128. doi: 10.3389/fnins.2022.871128

PubMed Abstract | Crossref Full Text | Google Scholar

Park, M., Song, R., Ju, K., Shin, J. C., Seo, J., Fan, X., et al. (2023). Effects of tai chi and Qigong on cognitive and physical functions in older adults: systematic review, meta-analysis, and meta-regression of randomized clinical trials. BMC Geriatr. 23:352. doi: 10.1186/s12877-023-04070-2

PubMed Abstract | Crossref Full Text | Google Scholar

Pramanik, R., Dey, A., Chakrabarty, A. K., Banerjee, D., Narwaria, A., Sharma, S., et al. (2024). Diabetes mellitus and Alzheimer’s disease: understanding disease mechanisms, their correlation, and promising dual activity of selected herbs. J. Ethnopharmacol. 333:118402. doi: 10.1016/j.jep.2024.118402

PubMed Abstract | Crossref Full Text | Google Scholar

Rizhen, L., Yunlin, L., Liangxin, W., and Zhao, X. H. (2013). Effect of Naoling decoction combined with tai chi on rehabilitation of patients with Alzheimer’s disease. Modern Magazine Which Combines Trad. Chin. Med. Western Med. 22, 693–760.

Google Scholar

Romero-García, P. A., Ramirez-Perez, S., Miguel-González, J. J., Guzmán-Silahua, S., Castañeda-Moreno, J. A., Komninou, S., et al. (2024). Complementary and alternative medicine (CAM) practices: a narrative review elucidating the impact on healthcare systems. Mechanisms Paediatric Appl. Healthcare 12:1547. doi: 10.3390/healthcare12151547

Crossref Full Text | Google Scholar

Roth, A. R. (2022). Social connectedness and cognitive decline. Lancet Healthy Longev 3, e723–e724. doi: 10.1016/S2666-7568(22)00217-3

PubMed Abstract | Crossref Full Text | Google Scholar

Sharpe, M., Walker, J., Van Niekerk, M., Toynbee, M., Magill, N., Frost, C., et al. (2024). Proactive integrated consultation-liaison psychiatry and time spent in hospital by older medical inpatients in England (the HOME study): a multicentre, parallel-group, randomised controlled trial. Lancet Psychiatry 11, 684–695. doi: 10.1016/S2215-0366(24)00188-3

PubMed Abstract | Crossref Full Text | Google Scholar

Siu, M. Y., and Lee, D. T. F. (2018). Effects of tai chi on cognition and instrumental activities of daily living in community dwelling older people with mild cognitive impairment. BMC Geriatr. 18:37. doi: 10.1186/s12877-018-0720-8

PubMed Abstract | Crossref Full Text | Google Scholar

Sohn, E. (2018). How the evidence stacks up for preventing Alzheimer’s disease. Nature 559, S18–S20. doi: 10.1038/d41586-018-05724-7

PubMed Abstract | Crossref Full Text | Google Scholar

Su, K., Yuan, J., Liu, H., Luo, M., Li, Q., Liu, S., et al. (2022). The comparative effectiveness of traditional Chinese medicine exercise therapies in elderly people with mild cognitive impairment: a systematic review and network meta-analysis. Front. Neurol. 13:775190. doi: 10.3389/fneur.2022.775190

PubMed Abstract | Crossref Full Text | Google Scholar

Subbarao, B., Hayani, Z., and Clemmens, Z. (2024). Complementary and integrative medicine in treating headaches, cognitive dysfunction, mental fatigue, insomnia, and mood disorders following traumatic brain injury: a comprehensive review. Phys. Med. Rehabil. Clin. N. Am. 35, 651–664. doi: 10.1016/j.pmr.2024.02.013

PubMed Abstract | Crossref Full Text | Google Scholar

Sun, J., Zeng, H., Pan, L., Wang, X., and Liu, M. (2021). Acupressure and cognitive training can improve cognitive functions of older adults with mild cognitive impairment: a randomized controlled trial. Front. Psychol. 12:726083. doi: 10.3389/fpsyg.2021.726083

PubMed Abstract | Crossref Full Text | Google Scholar

Tamrakar, D., Poudel, P., Thapa, P., Singh, S., Khadgi, A., Thapa, S., et al. (2024). Safety and immunogenicity of conjugate vaccine for typhoid (vi-DT): finding from an observer-blind, active-controlled, randomized, non-inferiority, phase III clinical trial among healthy volunteers. Hum. Vaccin. Immunother. 20:2301631. doi: 10.1080/21645515.2023.2301631

PubMed Abstract | Crossref Full Text | Google Scholar

Tao, X. (2018). A stratified study on the effects of 12-Duanjin on physical and mental health of disabled college students. J. Luoyang Normal College 37:4. doi: 10.3969/j.issn.1006-9771.2018.07.020

Crossref Full Text | Google Scholar

Tao, L., Shuqing, G., and Shi, B. (2018). Effects of Baduanjin on cognitive level in patients with mild cognitive impairment. Theor. Prac. Rehab. China 24, 854–859. doi: 10.16594/j.cnki.41-1302/g4.2018.02.012

Crossref Full Text | Google Scholar

Tian, G. Q., and Li, Z. Q. (2024). Efficacy and safety of biologics, multitarget therapy, and standard therapy for lupus nephritis: a systematic review and network meta-analysis. Ren. Fail. 46:2395451. doi: 10.1080/0886022X.2024.2395451

PubMed Abstract | Crossref Full Text | Google Scholar

Tuan, Z. X., and Juan, Y. (2013). Health qigong six tactic. Study of effects of mild cognitive impairment rehabilitation of the age. Int. J. Trad. Chin. Med. 35, 968–972. doi: 10.3760/cma.j.issn.1673—4246.2013.11.003

Crossref Full Text | Google Scholar

Wang, Y. T., Goh, C. H., Liao, T., Dong, X. N., Duke, G., Alfred, D., et al. (2021). Effects of wheelchair tai chi ball exercise on physical and mental health and functional abilities among elderly with physical disability. Res. Sports Med. 29, 289–302. doi: 10.1080/15438627.2020.1777553

PubMed Abstract | Crossref Full Text | Google Scholar

Wang, X., Si, K., Gu, W., and Wang, X. (2023). Mitigating effects and mechanisms of tai chi on mild cognitive impairment in the elderly. Front. Aging Neurosci. 14:1028822. doi: 10.3389/fnagi.2022.1028822

PubMed Abstract | Crossref Full Text | Google Scholar

Wayne, P. M., Walsh, J. N., Taylor-Piliae, R. E., Wells, R. E., Papp, K. V., Donovan, N. J., et al. (2014). Effect of tai chi on cognitive performance in older adults: systematic review and meta-analysis. J. Am. Geriatr. Soc. 62, 25–39. doi: 10.1111/jgs.12611

PubMed Abstract | Crossref Full Text | Google Scholar

Wei, L., Chai, Q., Chen, J., Wang, Q., Bao, Y., Xu, W., et al. (2022). The impact of tai chi on cognitive rehabilitation of elder adults with mild cognitive impairment: a systematic review and meta-analysis. Disabil. Rehabil. 44, 2197–2206. doi: 10.1080/09638288.2020.1830311

PubMed Abstract | Crossref Full Text | Google Scholar

Wei, Z., Zhao, X., and Liu, Y. (2024). A meta-analysis of the consequences of cognitive training on the cognitive function of aged mild cognitive impairment patients. Psychogeriatrics. doi: 10.1111/psyg.13177

PubMed Abstract | Crossref Full Text | Google Scholar

Xia, R., Wan, M., Lin, H., Ye, Y., Chen, S., and Zheng, G. (2023). Effects of mind–body exercise Baduanjin on cognition in community-dwelling older people with mild cognitive impairment: a randomized controlled trial. Neuropsychol. Rehabil. 33, 1368–1383. doi: 10.1080/09602011.2022.2099909

PubMed Abstract | Crossref Full Text | Google Scholar

Xu, Y., Zhu, J., Liu, H., Qiu, Z., Wu, M., Liu, J., et al. (2023). Effects of tai chi combined with tDCS on cognitive function in patients with MCI: a randomized controlled trial. Front. Public Health 11:1199246. doi: 10.3389/fpubh.2023.1199246

PubMed Abstract | Crossref Full Text | Google Scholar

Yang, D. M., Wang, X. Z., Dong, J. Q., Liu, Z. Z., and Shang, Q. (2021). Acupuncture combined with Heixiaoyao powder for children with cerebral palsy and its effect on serum immune indexes and nerve growth related protein. Zhongguo Zhen Jiu 41, 288–292. doi: 10.13703/j.0255-2930.20200301-0002

PubMed Abstract | Crossref Full Text | Google Scholar

Yao, K.-R., Luo, Q., Tang, X., Wang, Z.-H., Li, L., Zhao, L., et al. (2023). Effects of traditional Chinese mind–body exercises on older adults with cognitive impairment: a systematic review and meta-analysis. Front. Neurol. 14:1086417. doi: 10.3389/fneur.2023.1086417

PubMed Abstract | Crossref Full Text | Google Scholar

Yin, L., Zhang, X., Zhang, H., Li, R., Zeng, J., Dong, K., et al. (2024). Analysis of the current status and associated risk factors of cognitive function in Tibetan hypertensive patients at various altitudes. Clin. Exp. Hypertens. 46:2393331. doi: 10.1080/10641963.2024.2393331

PubMed Abstract | Crossref Full Text | Google Scholar

Yong, Z., Suisui, Z., and Mengying, Z. (2016). Experimental study on the treatment of senile dementia by Taijiball exercise Liaoning sports. Sci. Technol. 38, 72–74. doi: 10.13940/j.cnki.lntykj.2016.01.021

Crossref Full Text | Google Scholar

You, Y., Min, L., Tang, M., Chen, Y., and Ma, X. (2021). Bibliometric evaluation of global tai chi research from 1980–2020. J. Int. J. Environ. Res. Pub. Health 18:6150. doi: 10.3390/ijerph18116150

Crossref Full Text | Google Scholar

You, T., and Ogawa, E. F. (2020). Effects of meditation and mind-body exercise on brain-derived neurotrophic factor: a literature review of human experimental studies. Sports Med. Health Sci. 2, 7–9. doi: 10.1016/j.smhs.2020.03.001

Crossref Full Text | Google Scholar

Yu, S. Z. (2021). Clinical study of acupuncture and tai chi in the treatment of mild cognitive impairment caused by small cerebral vascular disease. Fujian University of Traditional Chinese Medicine. doi: 10.27021/d.cnki.gfjzc.2021.000236

Crossref Full Text | Google Scholar

Yu, A. P., Chin, E. C., Yu, D. J., Fong, D. Y., Cheng, C. P., Hu, X., et al. (2022). Tai chi versus conventional exercise for improving cognitive function in older adults: a pilot randomized controlled trial. Sci. Rep. 12:8868. doi: 10.1038/s41598-022-12526-5

PubMed Abstract | Crossref Full Text | Google Scholar

Yu, J., Li, J., and Huang, X. (2012). The Beijing version of the Montreal cognitive assessment as a brief screening tool for mild cognitive impairment: a community-based study. BMC Psychiatry 12, 1–8. doi: 10.1186/1471-244X-12-156

Crossref Full Text | Google Scholar

Zhang, X., Huang, M., Yu, Y., Zhong, X., Dai, S., Dai, Y., et al. (2024). Is transcranial direct current stimulation effective for cognitive dysfunction in substance use disorders? A Systematic Review. Brain Sci. 14:80754. doi: 10.3390/brainsci14080754

Crossref Full Text | Google Scholar

Zhang, L., Wei, J., Liu, X., Li, D., Pang, X., Chen, F., et al. (2024). Gut microbiota-astrocyte axis: new insights into age-related cognitive decline. Neural Regen. Res. 20, 990–1008. doi: 10.4103/NRR.NRR-D-23-01776

Crossref Full Text | Google Scholar

Zhang, Z., Xu, X., and Ni, H. (2013). Small studies may overestimate the effect sizes in critical care meta-analyses: a meta-epidemiological study. Crit. Care 17:R2. doi: 10.1186/cc11919

PubMed Abstract | Crossref Full Text | Google Scholar

Zhicheng, S., Jinlin, M., Xiaomei, G., and Yanggang, O. (2021). To explore the effects of virtual reality-based Baduanjin exercise on elderly patients with mild cognitive impairment in nursing homes. Chin. J. Phys. Med. Rehab. 43, 322–326. doi: 10.3760/cma.j.issn.0254-1424.2021.04.007

Crossref Full Text | Google Scholar

Zhou, K., Liu, M., Bao, D., and Zhou, J. (2022). Effects of traditional Chinese exercises on cognitive function in older adults with mild cognitive impairment: a systematic review and meta-analysis. Front. Hum. Neurosci. 16:849530. doi: 10.3389/fnhum.2022.849530

PubMed Abstract | Crossref Full Text | Google Scholar

Ziccardi, S., Tamanti, A., Ruggieri, C., Guandalini, M., Marastoni, D., Camera, V., et al. (2024). CSF Parvalbumin levels at multiple sclerosis diagnosis Predict future worse cognition, physical disability, fatigue, and gray matter damage. Neurol. Neuroimmunol. Neuroinflamm. 11:e200301. doi: 10.1212/NXI.0000000000200301

PubMed Abstract | Crossref Full Text | Google Scholar

Keywords: Tai Chi, traditional Chinese exercises, Qigong, cognitive impairment, medical treatments

Citation: Qiu J and Kim S (2024) Effects of traditional Chinese exercises or their integration with medical treatments on cognitive impairment: a network meta-analysis based on randomized controlled trials. Front. Aging Neurosci. 16:1475406. doi: 10.3389/fnagi.2024.1475406

Received: 03 August 2024; Accepted: 14 October 2024;
Published: 11 November 2024.

Edited by:

Guohao Wang, National Institutes of Health (NIH), United States

Reviewed by:

Haisheng Zhang, University of East-West Medicine, United States
Kang Yu, National Institute of Arthritis and Musculoskeletal and Skin Diseases (NIH), United States

Copyright © 2024 Qiu and Kim. This is an open-access article distributed under the terms of the Creative Commons Attribution License (CC BY). The use, distribution or reproduction in other forums is permitted, provided the original author(s) and the copyright owner(s) are credited and that the original publication in this journal is cited, in accordance with accepted academic practice. No use, distribution or reproduction is permitted which does not comply with these terms.

*Correspondence: Sungmin Kim, bWluYXJ0aHVyQGhhbnlhbmcuYWMua3I=

ORCID: Jiadong Qiu, https://orcid.org/0009-0006-9972-1423
Sungmin Kim, https://orcid.org/0000-0002-0590-9868

Disclaimer: All claims expressed in this article are solely those of the authors and do not necessarily represent those of their affiliated organizations, or those of the publisher, the editors and the reviewers. Any product that may be evaluated in this article or claim that may be made by its manufacturer is not guaranteed or endorsed by the publisher.