ORIGINAL RESEARCH article
Front. Agron.
Sec. Agroecological Cropping Systems
Impact of intercropping on agronomic and metabolic responses of Medicago sativa and Hordeum marinum under nutrient deficiency and drought stress
Provisionally accepted- 1Laboratory of Extremophile Plants, Centre of Biotechnology of Borj-Cedria, Hammam-Lif, Tunisia
- 2Universite de Tunis El Manar, Tunis, Tunisia
- 3University of Mpumalanga, Nelspruit, South Africa
- 4Universidad de Navarra, Pamplona, Spain
- 5Centre de Biotechnologie de Borj Cedria, HammamLif, Tunisia
- 6Universidad Publica de Navarra, Pamplona, Spain
Select one of your emails
You have multiple emails registered with Frontiers:
Notify me on publication
Please enter your email address:
If you already have an account, please login
You don't have a Frontiers account ? You can register here
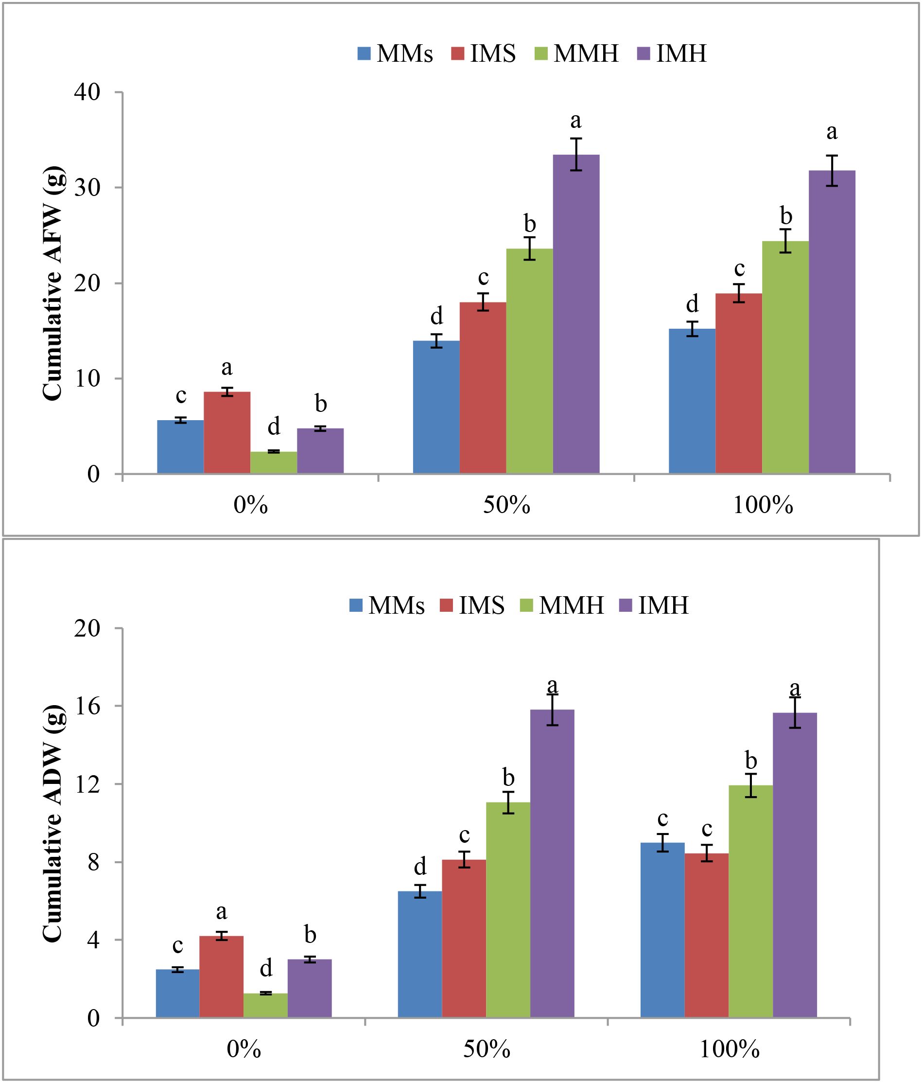
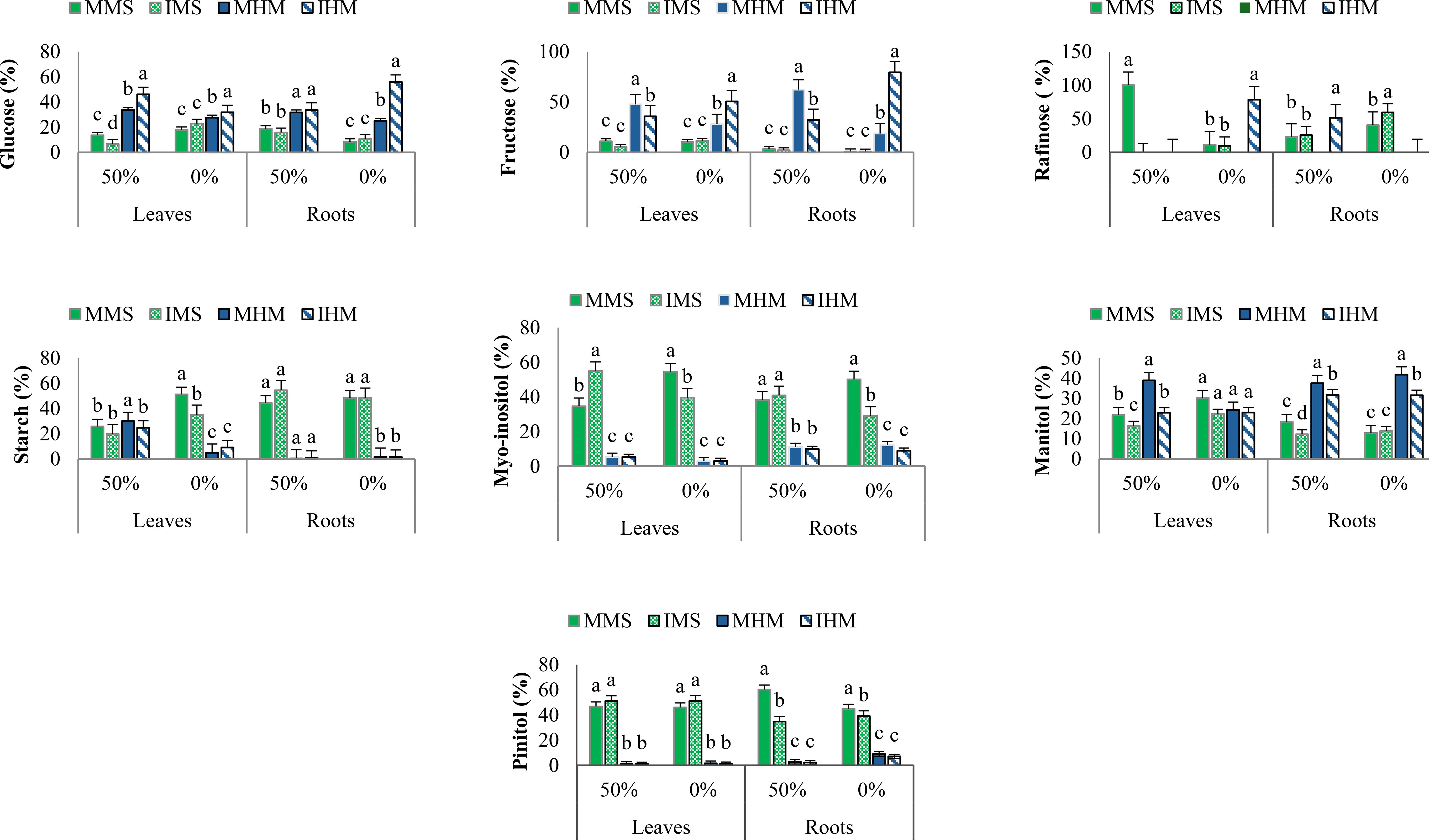
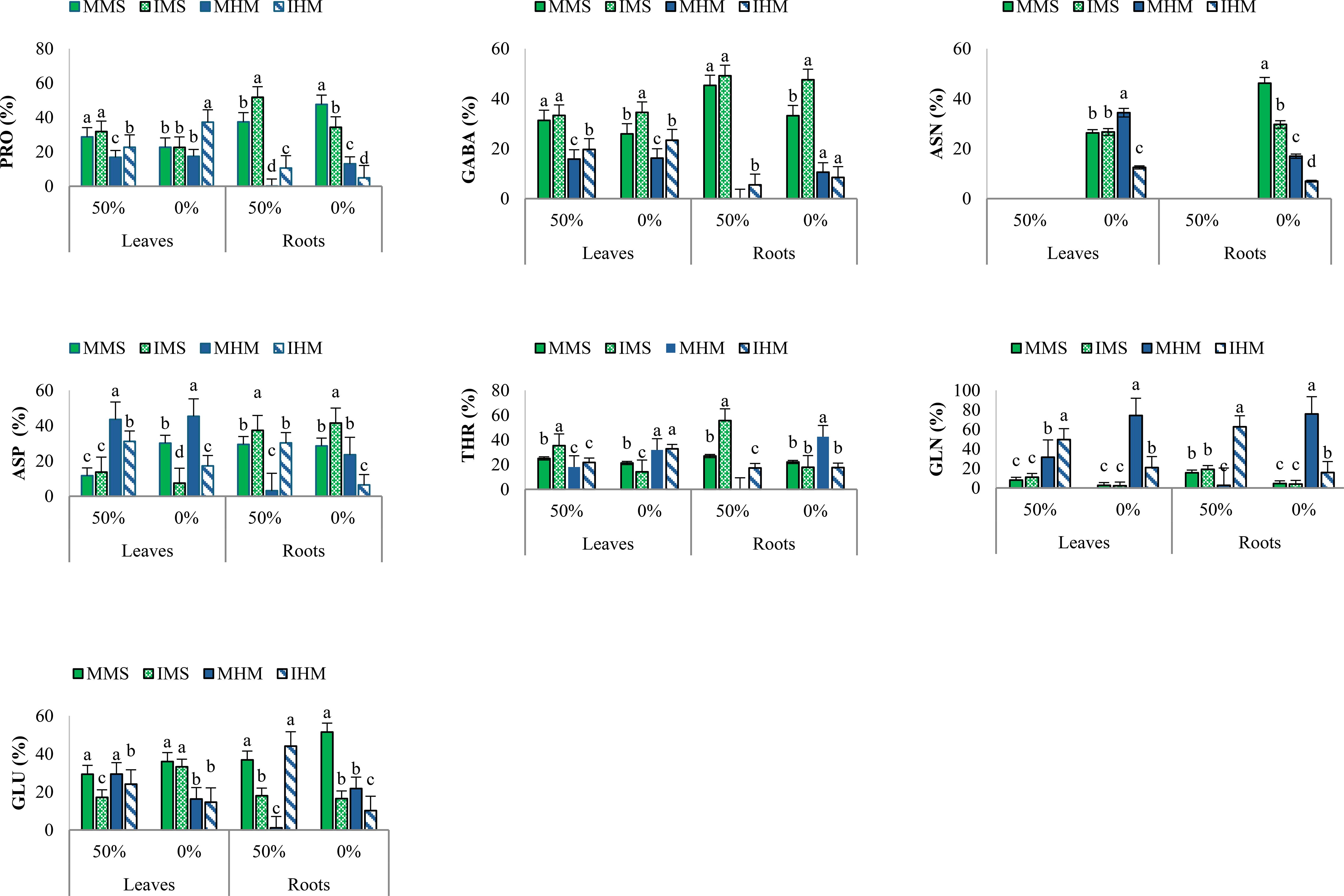
Intercropping is increasingly recognized as a sustainable strategy to improve crop performance under abiotic stress. This study examined the effects of monocropping versus intercropping of Medicago sativa and Hordeum marinum under drought (40% field capacity) and three fertilization levels (0%, 50%, and 100% of nutrient demand) across three harvests. Biomass production was significantly affected by cultivation system, nutrient supply, and their interaction. Intercropping consistently enhanced productivity in both species. Ion profiling showed that intercropping modified nutrient dynamics, increasing Cl⁻ and NO₃⁻ concentrations in leaves, as well as Ca²⁺ and Na⁺ in roots of H. marinum. Metabolomic analyses revealed that intercropping under nutrient stress promoted the accumulation of stress-related carbohydrates (raffinose, fructose, sucrose), organic acids (citric, succinic, oxalic), and amino acids (proline, GABA, glutamine). These changes suggest improved energy metabolism and stress adaptation. Overall, intercropping of M. sativa and H. marinum enhanced both biomass productivity and physiological resilience under combined water and nutrient limitations, highlighting its potential as a sustainable forage production strategy in semi-arid environments.
Keywords: intercropping, Metabolomics, M. sativa, H. marinum, Drought and nutrient stress, stress resilience
Received: 02 Jun 2025; Accepted: 12 Nov 2025.
Copyright: © 2025 Guerchi, Mnafgui, Garijo, Mahjoub, Ludidi, Gonzalez and Badri. This is an open-access article distributed under the terms of the Creative Commons Attribution License (CC BY). The use, distribution or reproduction in other forums is permitted, provided the original author(s) or licensor are credited and that the original publication in this journal is cited, in accordance with accepted academic practice. No use, distribution or reproduction is permitted which does not comply with these terms.
* Correspondence: Mounawer Badri, mounawer.badri@cbbc.rnrt.tn
Disclaimer: All claims expressed in this article are solely those of the authors and do not necessarily represent those of their affiliated organizations, or those of the publisher, the editors and the reviewers. Any product that may be evaluated in this article or claim that may be made by its manufacturer is not guaranteed or endorsed by the publisher.
