- 1Department of Agronomy and Horticulture, University of Nebraska-Lincoln, Lincoln, NE, United States
- 2Facultad de Ciencias Agropecuarias, Universidad Nacional de Córdoba, Córdoba, Argentina
- 3Syngenta Group, Basel, Switzerland
- 4Department of Biological Systems Engineering, University of Nebraska-Lincoln, Lincoln, NE, United States
- 5Department of Agricultural Economics, University of Nebraska-Lincoln, Lincoln, NE, United States
Optimizing nitrogen (N) fertilization is essential for enhancing nitrogen use efficiency (NUE), maximizing crop yields, and minimizing environmental impacts. Sensor-based technologies, integrated with variable rate applications, present a promising approach to site-specific N management. However, their effectiveness can differ across crops, soils, and topographic properties. This study compared sensor-based N management with conventional grower practices in corn and wheat over 17 on-farm site-years. Additionally, we evaluated key site-specific factors influencing sensor performance on a 57 on-farm trial dataset. Our results showed that sensor-based N management significantly improved NUE in corn compared to Grower conventional practices, reducing on average 40 kg N ha-1 without compromising yield. However, in wheat, the differences were not statistically significant across all trials, suggesting that crop-specific responses affect sensor effectiveness. Our findings highlight that corn field yield productivity, its variability, and soil texture were the most influential factors affecting sensor-based NUE. Sensor-based approach in corn outperformed grower practices in moderate to high-variability fields. These results suggest that while sensor-based N management enhances NUE in corn, its effectiveness in wheat may vary more. This study provides valuable insights into the practical limitations and site-specific factors influencing the success of sensor-based technologies, aiding in developing improved decision-support tools for precision nitrogen management.
1 Introduction
The optimal nitrogen (N) rate for crops such as corn (Zea mays L.) and wheat (Triticum aestivum L.) varies spatially and temporally, making nitrogen management a complex challenge for farmers. The optimal rate and crop response to N can differ within a field, across different fields, and among growing seasons due to variations in soil properties, rainfall conditions, and crop requirements (Kravchenko et al., 2005; van Es et al., 2005; Morari et al., 2021; Sadras et al., 2022). Despite this variability, many farmers still rely on uniform, traditional N application rate with no split without accounting for site-specific nutrient needs (Scharf et al., 2011; Banger et al., 2018). This can lead to suboptimal fertilizer efficiency, increased environmental risks, and reduced agronomic and, in some cases, economic performance.
Recent precision agriculture advancements have transformed nitrogen management by enabling data-driven, site-specific fertilization strategies. Technologies such as active canopy sensors and variable rate technology (VRT) allow real-time assessment of crop nutrient status and facilitate precise N application based on crop demand (Barker and Sawyer, 2010; Barbosa Júnior et al., 2024). These innovations offer the potential to increase nitrogen use efficiency (NUE), enhance yield potential, and reduce environmental impacts. However, adoption remains limited due to challenges such as high initial costs, technological complexity, interoperability issues, and grower reluctance to transition from conventional practices (Pignatti et al., 2015; Fountas et al., 2020).
Over the past few decades, crop canopy sensors have emerged as a valuable tool for non-destructive monitoring of crop N content (Barker and Sawyer, 2010; Cammarano et al., 2011; Basso et al., 2016). By integrating real-time sensor data with VRT, farmers can adjust N applications dynamically, addressing field variability more effectively (Thompson et al., 2015). Studies have demonstrated the potential of proximal canopy sensors for site-specific N management in grain crops (Shanahan et al., 2001; Barker and Sawyer, 2010; Scharf et al., 2011; Basso et al., 2016; Cao et al., 2017), cotton (Marang et al., 2021; Wang et al., 2021), rice (Lu et al., 2022), and sugarcane (Li et al., 2022; Soltanikazemi et al., 2022). Consequently, sensor-based N management has become one of the most actively researched topics in precision agriculture. However, there is a lack of research directly comparing sensor-based technologies in corn and wheat.
Despite their proven ability to assess in-season crop status and optimize fertilization, sensor-based N management strategies remain sensitive to within-field site-specific characteristics. Site-specific factors such as soil texture, organic matter, and soil water storage capacity can significantly affect Site-specific soil characteristics, such as organic matter or water storage, can affect N surpluses (Mittermayer et al., 2021). Additionally, texture and organic matter content play a crucial role in determining crop N response (Nyiraneza et al., 2012; Tremblay et al., 2012). This spatial variation in crop N response and NUE makes VRT more profitable and efficient (Munnaf et al., 2022). While many studies have evaluated sensor-based recommendations against grower practices, fewer have examined how underlying soil properties influence sensor performance and the outcomes of VRT strategies (Bean et al., 2018). By combining agronomic data from multiple on-farm trials with geostatistical techniques, this study contributes new insights into the conditions under which sensor-based nitrogen management is most effective.
Therefore, the objectives of this study were to (i) assess the agronomic performance of sensor-based nitrogen management compared to conventional grower practices across multiple on-farm experiments conducted in corn and wheat; and (ii) identify the main site-specific drivers of NUE in corn through a geostatistical analysis combining several years of on-farm experiments; to identify scenarios where these practices performed the best.
2 Materials and methods
2.1 Field experiments
Crop canopy sensors were evaluated over three years (2021–2023) through 17 on-farm experiments conducted on commercial farms across Nebraska, USA (Figure 1). The experiments included 7 corn (Zea mays L.) fields and 10 winter wheat (Triticum aestivum L.) fields. The predominant soil textures across the study sites were silt loam, sandy loam, and loamy sand (Figure 1).

Figure 1. On-farm experiments sites locations conducted in corn and wheat in three years (2021-2023) (top-left), texture triangle of soils in the experiments obtained from SSURGO (top-right), and treatment layout of one on-farm experiment (bottom).
The experimental design featured field-length strips, comparing sensor-based N management (Sensor-based) with the growers’ conventional N practices (Grower). High N reference areas were established in each site-year by applying a high N rate to make possible the calculation of the sufficiency index (Figure 1). This index is needed for N recommendation using the formula proposed by Holland and Schepers (2010) for corn and also used in wheat (Stamatiadis et al., 2018).
Were is de N application rate; is the optimal N rate, derived from the coefficients of a quadratic regression; is the sufficiency index, calculated as the ratio of the real-time sensed vegetation index value to a known standard crop reference value; and is the difference between 1 (the sufficiency index of a fully fertilized crop) and the sufficiency index corresponding to zero nitrogen application (i.e., the y-intercept of the quadratic regression).
Data collected for each site-year included grain yield (t ha-1) and total N rate applied (kg N ha-1), which were used to calculate nitrogen use efficiency (NUE) as partial factor productivity (kg yield kg-1 N-1) (Congreves et al., 2021). The number of replicates varied from 4 to 12 in each trial. Experimental areas ranged from 2.7 ha to 78.2 ha. Field management decisions, including N application before sensing (N base), were determined by the farmers. All sites received an N base rate, followed by the establishment of the in-season strips for the experiment. For corn, N base rates ranged from 16 to 120 kg N ha-1, with an average of 70 kg N ha-1. For wheat, base N rates ranged from 0 to 75 kg N ha-1, averaging 32 kg N-1 (Table 1).
2.2 Fertilizer prescriptions
A high-clearance applicator was equipped with an Ag Leader® Integra in-cab monitor and four OptRx® sensors. A master module enables connection between the OptRx® sensors, which capture the normalized difference red edge (NDRE) index, and Ag Leader® in-cab monitor, computing the recommended N rate. An application rate module communicates the target rate from the Ag Leader® monitor to the rate controller. The applicator was equipped with straight stream drop nozzles to apply UAN fertilizer to the crop, as it was Sensor-based. This configuration of active sensors with a high-clearance machine has several benefits. Nitrogen rates are prescribed in real-time by the system and account for spatial variability across the field. Application can occur up to the V12 growth stage in corn and Feekes 6 in wheat. Sensing does not rely on sunlight, as the active sensors provide their own light source, meaning that prescriptions will not change depending on cloud coverage or other environmental conditions. The high-clearance applicator delivered a flat N rate determined by the grower for the Grower treatment.
2.3 Treatment performance analysis
To explore the treatment effects on yield (t ha-1), applied N (kg N ha-1), and NUE (kg grain kg-1 N-1), linear mixed models were fitted (Pinheiro and Bates, 2000; Pinheiro et al., 2023). The model fitted for each trial was:
where is the value of the average response variable (yield, N rate, or NUE) for the -th treatment in -th replication, is a constant, represents the effect of treatment (Sensor-based or Grower). The replication effect was considered as random. The random error term was assumed normally distributed with mean zero and heteroscedastic variances for each treatment or replication if residuals analysis suggested that. The model selection was based on the Akaike Information Criterion (AIC) (Sakamoto et al., 1986), with the model yielding the lowest values being chosen. The models were estimated by Restricted Maximum Likelihood (REML) using the function lme from the nlme package (Pinheiro et al., 2023) in R software version 4.4.2 (R Core Team, 2024).
The overall treatment effect (across trials) on yield, N, and NUE for each crop was assessed using bootstrapping. A 95% confidence interval was estimated from bootstrapped samples of the adjusted mean differences between treatments (Sensor-based minus Grower), based on model-fitted means. If the 95% confidence interval did not include zero, it was considered evidence of a significant treatment effect, indicating that the treatments differed from each other.
A partial profit analysis was conducted to assess the probability of the Sensor-based approach outperforming the Grower treatment. A simulation study was performed under various nitrogen fertilizer and grain price scenarios. For each observation within each field, partial profit ($ ha-1) was calculated using the following equation:
Grain and nitrogen prices ($ kg-1) used in the simulations were drawn from historical data spanning 2002 to 2024, obtained from the USDA National Agricultural Statistics Service (USDA, 2025) and DTN Retail Fertilizer Trends (Quinn, 2022, 2025). For each trial, a grid was overlaid across the field to divide it into spatial cells. Each grid cell was 7 meters length and spanned both treatments (Sensor-based and Grower), ensuring that observations from both treatments were present within each cell. Within each cell, observations belonging to the two treatments were used to calculate the probability that the Sensor-based treatment outperformed the Grower in terms of partial profit. VR technology cost was not included in the analysis.
2.4 Site-specific drivers of NUE
To investigate the site-specific drivers of NUE improvements between treatments, a separate dataset comprising 57 on-farm corn experiments was analyzed. NUE was evaluated as a summary metric combining yield and N rate, calculated as partial factor productivity of nitrogen (kg grain kg-1 N-1) (Congreves et al., 2021). This analysis was conducted only for corn, as treatment differences in NUE were more pronounced in this crop compared to wheat, and the number of trials and variability in site characteristics were also greater. The dataset included 7 corn sites from the present study and 50 sites from a previous study conducted in Nebraska by Project SENSE at the University of Nebraska between 2015 and 2019. In total, eight years of data (2015–2019 and 2021–2023) were analyzed. This dataset included NUE values for both Sensor-based and Grower treatments, calculated as the partial factor productivity of nitrogen (kg grain kg-1 N-1) (Congreves et al., 2021; Ferguson et al., 2025; Thompson et al., 2015). For each site-year, the difference in NUE between treatments (relative to the Grower) was calculated based on spatially proximate observations. The dataset was augmented with site-specific soil characteristics and elevation data.
Auxiliary site-specific data were obtained from publicly available sources to better characterize treatment performance. Soil information was retrieved from the SSURGO database, while elevation data were obtained from the U.S. Geological Survey (2023) 1/3 arc-second digital elevation model (DEM), with an approximate resolution of 10 meters. From SSURGO, the following soil variables were extracted for the top 20cm: available water storage, organic matter content, and the percentages of sand, silt, and clay. From the DEM, several terrain-derived indices were computed: slope, topographic position index (TPI), terrain ruggedness index (TRI), and topographic wetness index (TWI) (Beven and Kirkby, 1979). Data retrieval and computation were performed using the rstac (Simoes et al., 2021), gdalcubes (Pondi et al., 2024), soilDB (Beaudette et al., 2024), and terra (Hijmans, 2024) R packages (R Core Team, 2024).
The data were summarized by soil type and replication. For each combination, both NUE and auxiliary variables were aggregated. Site yield variability and median yield from the Grower treatment were used to characterize the productivity and heterogeneity of each field. These variables were standardized (mean-centered and scaled by standard deviation) and categorized into three levels: low (< –1), moderate (–1 to 1), and high (> 1). Slope was also categorized into three classes: low (< 1%), moderate (1–3%), and high (> 3%). This resulting dataset was used to investigate the main factors influencing NUE differences between Sensor-based and Grower treatments.
To explore the relationship between site-specific characteristics and NUE differences (relative to the Grower), a conditional inference tree was fitted. Unlike traditional classification or regression trees, this method uses formal statistical hypothesis testing for variable selection and stopping criteria (Hothorn et al., 2006). The resulting tree provides a set of interpretable binary decisions that reveal how combinations of site-specific variables influence NUE outcomes under sensor-based nitrogen management relative to the grower approach.
3 Results and discussion
3.1 Overall treatment performance
For corn, the Sensor-based treatment consistently applied lower N rates than the Grower treatment. The average N rate for the Sensor-based treatment was 167 kg ha-1, which was 18.9% lower than the Grower treatment’s average of 206 kg ha-1. In contrast, for wheat, the differences between treatments were smaller, with the Sensor-based treatment applying 105 kg ha-1 and the Grower treatment applying 111 kg ha-1 (5.4% higher). According to empirical cumulative distribution, 50% of the observations for corn (i.e., the interquartile range) for the Grower treatment were between 181 and 236 kg N ha-1, while for the Sensor-based treatment, they ranged from 125 to 188 kg N ha-1. These results suggest that the Sensor-based strategy not only tended to apply less nitrogen but also showed greater variability in application rates compared to the Grower-defined approach (Figure 2). For wheat, 50% of the observations ranged from 88 to 123 kg N ha-1 for the Grower treatment and from 78 to 102 kg N ha-1 for the Sensor-based technologies. Interestingly, the interquartile range was wider for the Grower approach (35 kg N ha-1) compared to the Sensor-based approach (24 kg N ha-1), suggesting that, in contrast to corn, nitrogen application was more variable under the Grower strategy than under the Sensor-based approach in wheat.

Figure 2. Empirical cumulative distribution functions (ECDFs) of N rate (kg N ha-1), yield (t ha-1), and nitrogen use efficiency (NUE; kg yield kg-1 N-1) for two treatments: sensor-based nitrogen management (Sensor-based) and grower’s usual N management (Grower). The ECDF curves indicate the proportion of observations (Y axis) below a given value (X axis), allowing comparison of the overall distribution between treatments (e.g., a leftward shift means lower values, and a rightward shift means higher values –N rate, Yield, and NUE–).
Despite these reductions in N inputs in corn and wheat, there were no substantial differences in crop yields between the two treatments. For corn, median yields were 14.3 t ha-1 under the Sensor-based treatment and 14.5 t ha-1 under the Grower treatment, representing a difference of 1.6%. Similarly, for wheat, median yields were 3.8 t ha-1 for Sensor-based and 3.1 t ha-1 for Grower (Figure 2). These differences in yield suggest that reducing N inputs did not compromise crop productivity. The cumulative relative frequency curves for yield in both corn and wheat showed overlapping patterns between treatments. This suggests that yield performance remained comparable despite the significant reductions in N application under the Sensor-based treatment (Figure 2). In corn, 50% of the observations (interquartile range) fell between 13.2 and 15.7 t ha-1 for the Grower treatment and between 12.9 and 15.3 t ha-1 for the Sensor-based treatment. In wheat, the interquartile ranges were 2.8 to 5.3 t ha-1 for the Grower and 2.4 to 4.9 t ha-1 for the Sensor-based approach, indicating similar distributions. The interquartile ranges were similar across treatments for both crops, although relative yield variability (compared to mean values) appeared greater in wheat than in corn. This suggests that yield responses in wheat were more variable regardless of N management strategy.
The NUE was higher under the Sensor-based treatment compared to the Grower treatment for corn. The mean NUE was 95 kg yield kg-1 N under the Sensor-based treatment, which was 30.9% higher than the Grower treatment’s NUE of 72 kg yield kg-1 N-1. Cumulative frequency distributions further highlight this trend, with the Sensor-based treatment curves consistently shifted toward higher NUE values (Figure 2). Conversely, for wheat, NUE under the Sensor-based treatment was 42 kg yield kg-1 N compared to 36 kg yield kg-1 N for the Grower treatment, representing an improvement of 17% in NUE compared to the Grower. Overall, the Sensor-based treatment reduced N rates and achieved improved NUE while maintaining comparable yields. This effect was more pronounced in corn than in wheat. The interquartile range for NUE in corn was 58 to 81 kg yield kg-1 N-1 for the Grower treatment and 71 to 101 kg yield kg-1 N-1 for the Sensor-based treatment, indicating both higher efficiency and greater variability under the Sensor-based technology (Figure 2). In wheat, the interquartile ranges were similar between treatments: 23 to 52 for the Grower and 26 to 55 for the Sensor-based treatment. These results suggest that improvements in NUE were more substantial and variable in corn, whereas NUE in wheat was similar between treatments.
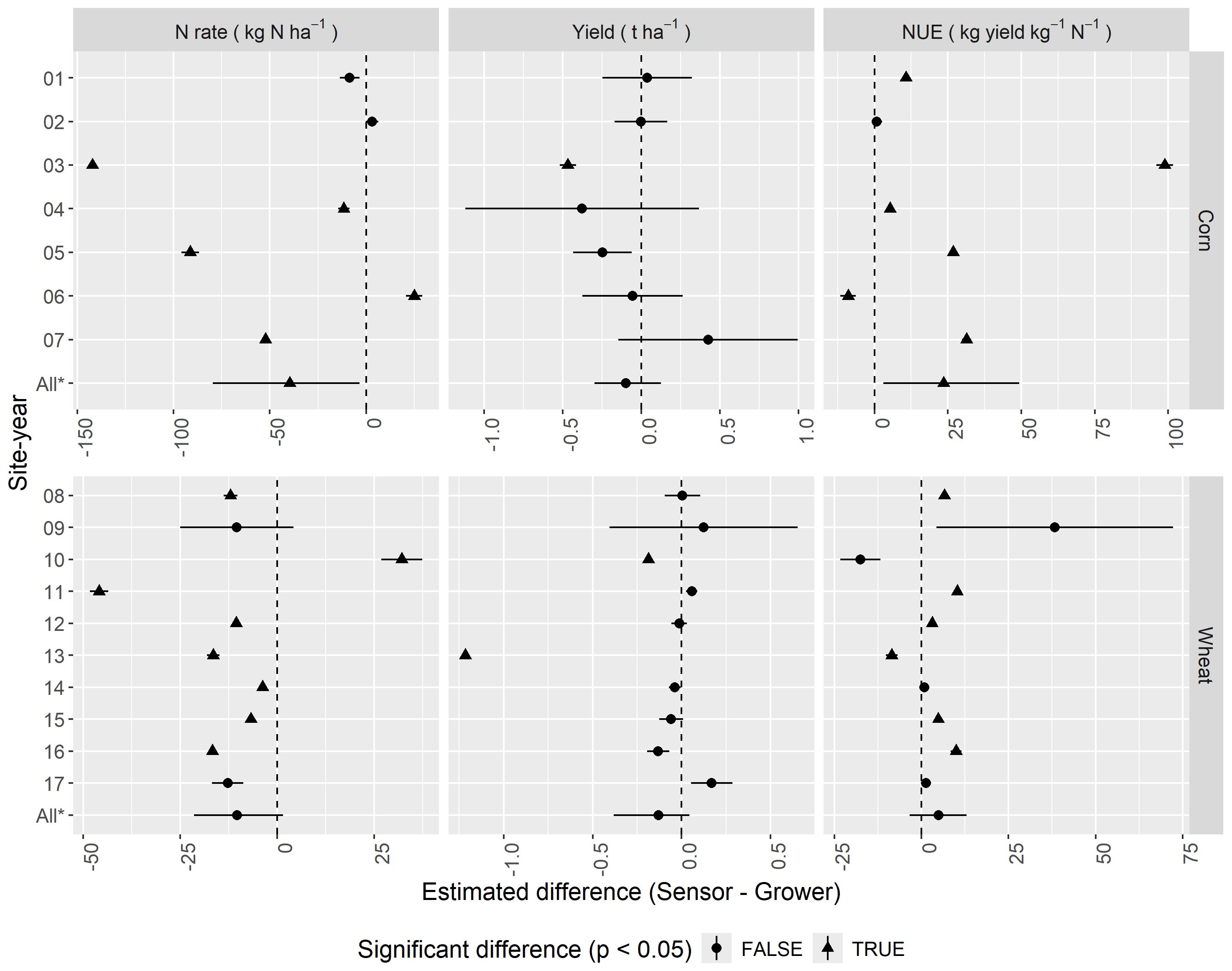
The performance of Sensor-based and Grower nitrogen application strategies varied significantly between crops (Figure 3). In corn specifically, growers applied higher nitrogen rates than the Sensor-based treatment in 57.1% of the fields (n = 4). On average across all corn trials, the Grower applied rate was 40 kg N ha-1 higher than the Sensor-based rate, with a bootstrap 95% CI for the difference ranging from -81 kg N ha-1 to -3 kg N ha-1, showing that Sensor-based approach recommended to apply less N rate than the Grower based on crop status at the moment of in season fertilization. Despite these differences in application rates, yield differences between treatments were not statistically significant in 85.7% of the fields (n = 6). Only one field showed a statistically significant higher yield for the grower treatment. Across all corn trials, Sensor-based had an average yield advantage of 98 kg ha-1 compared to the Grower, though the bootstrap CI (-288 kg ha-1 to 103 kg ha-1) indicated this difference was not significant. Regarding NUE, the Sensor-based approach outperformed Grower applications in 71.4% of the fields (n = 5), indicating higher nitrogen efficiency. The mean difference in NUE (Sensor-based minus Grower) was 24 kg yield kg-1 N-1 in favor of the Sensor-based strategy, with a 95% bootstrap CI of 3.7 to 50.1 kg yield kg-1 N-1. While there were no statistically significant differences in yield, the Sensor-based approach demonstrated superior nitrogen use efficiency in corn because of the lower N rates.

Figure 3. Mean differences in nitrogen rate (N rate, kg N ha-1), yield (t ha-1), and nitrogen use efficiency (NUE, kg yield kg-1 N-1), between sensor-based nitrogen (N) management (Sensor-based) and Grower treatment across 17 on-farm experiments conducted in Nebraska, USA, from 2020 to 2023. Error bars indicate the standard error of the difference within each site-year. *For the overall treatment effect (All), error bars represent the 95% bootstrap confidence interval for the average difference.
For wheat, the average nitrogen rate difference between the Sensor-based and Grower treatments was 10 kg N ha-1 (Sensor-based minus Grower), with a 95% bootstrap CI ranging from -21.6 to 1.3 kg N ha-1. This suggests that, across all fields, the Sensor-based strategy applied nitrogen at rates statistically similar to those of the Grower approach. However, in 70% of the fields (n = 7), growers applied significantly more nitrogen than the Sensor-based treatment (p-value < 0.05). Despite this, growers did not consistently achieve higher yields. The average yield difference between treatments was -129 kg ha-1, with a CI of -390 to 35 kg ha-1. This indicates a non-significant trend toward slightly higher yields under the Grower approach. Only one out of ten fields (Site-year 11) showed a statistically significant yield advantage for the grower, while in two fields (Site-year 08 and 17), no significant yield differences were observed between treatments. In terms of nitrogen use efficiency (NUE), four fields showed no difference between approaches, while the Sensor-based treatment outperformed the grower in five fields. Only one field (Site-year 10) exhibited higher NUE under the Grower strategy (Figure 3). On average, there was no statistically significant difference in NUE across all wheat trials, with the Sensor-based approach exceeding the Grower by 4.88 kg grain kg-1 N-1 (95% CI: -3.17 to 12.9 kg grain kg-1 N-1).
These results suggest that for wheat, both approaches yielded comparable outcomes in terms of nitrogen rates, yield, and NUE. Conversely, Sensor-based treatments outperformed the Grower approach in corn, for N rate and NUE. Sensor-based technologies have been demonstrated to enhance NUE by improving crop performance and reducing N rates and environmental impacts. Specifically for corn, research has shown that canopy reflectance sensors can increase NUE compared to traditional nitrogen management practices without yield penalty (Shanahan et al., 2001; Solari et al., 2008; Mulla, 2013).
In wheat, multiple studies have highlighted the benefits of using sensor-based methods to reduce nitrogen application rates without significant yield losses when compared to conventional grower practices (Cao et al., 2017; Stamatiadis et al., 2018). Other research conducted in India has shown that sensor-based technologies may support the rational management of nitrogen fertilizer in wheat under changing climate conditions (Mitra et al., 2023a, 2023b). In this study, no statistically significant differences between treatments for wheat were observed. This lack of significant differences could be attributed because the farmers involved in trials, part of On-Farm Experiments (OFE), may already implement efficient nitrogen management practices, as many of them are affiliated with university research (Bramley et al., 2022). Although the overall mean difference was not statistically significant, seven out of ten site-years showed statistically significant reductions in N rates, and in five out of ten cases, the NUE sensor-based approaches were more efficient. Therefore, increasing the number of on-farm research trials in wheat may be necessary to enhance statistical power.
The average corn yield was 14 t ha-1(Figure 2), which is higher than the 5-year national average of 10 t ha-1 (U.S. Department of Agriculture’s Foreign Agricultural Service, 2025a). For wheat, the average trial yield was 3.8 t ha-1(Figure 2), which is closer to the national average of 3.25 t ha-1 (U.S. Department of Agriculture’s Foreign Agricultural Service, 2025b). This difference in yield potential and productivity may help explain why sensor-based technology performed better in corn than in wheat. In the case of wheat, yield limitations may be due to factors other than nitrogen rates. Therefore, the benefits of VRT may be less pronounced in wheat compared to corn, where fewer yield limitations allow for greater improvements.
Moreover, the lack of differences may stem from field conditions or rainfall patterns. If the soil fertility across the field is already above agronomic requirements, precision fertilization has a reduced impact on yield outcomes (Bongiovanni and Lowenberg-Deboer, 2004). High baseline soil nitrate levels or limited variability in soil fertility across fields could also minimize the potential benefits of precision agriculture approaches (Bundy and Andraski, 2004; Diacono et al., 2013). Additionally, intense rainfall events following fertilizer application may lead to substantial nitrogen losses through leaching, resulting in lower NUE and reduced yields (Sitthaphanit et al., 2010). The lack of differences between treatments in wheat may be attributed to the fact that its nitrogen requirements for achieving maximum yield are less variable than those of corn (Johnson and Raun, 2003). Thus, the research partners growers may have already optimized N rates through previous OFE results, achieving greater efficiency in wheat production.
In summary, while Sensor-based approaches demonstrated significant benefits for corn, particularly in enhancing NUE, their advantages for wheat were less pronounced. The optimal nitrogen rate depends on yield potential and the contribution of non-fertilizer sources to crop nitrogen requirements (Johnson and Raun, 2003). Therefore, variable-rate nitrogen application using sensor-based methods may have greater importance for corn than for wheat.
3.2 Partial profitability - sensitivity analysis
A partial profit analysis coupled with a probability analysis with different input and grain price scenarios can help to show in which situations sensor-based approaches are beneficial and have more chances of success for corn and wheat. The average historical grain prices from 2002 to 2024 were $0.16 kg-1 for corn and $0.19 kg-1 for wheat, while the price of UAN32 fertilizer was $1.12 kg-1. Under this scenario, the probability that the sensor-based approach outperformed the grower’s practice was 0.59 for corn and 0.53 for wheat. The average partial profit was $39.60 (95% CI: $32.20–$47.20) for corn and $-2.55 (95% CI: $-6.75 to $1.69) for wheat. Therefore, while the adoption of a sensor-based approach may improve profitability in corn, it may not lead to increased profitability in wheat under average price scenarios.
Over the three years of the study, the average grain prices were $0.24 kg-1 for corn and $0.29 ha-1, for wheat, while the average N fertilizer price was $1.68 kg-1. Under these price conditions, the average partial profit difference for corn was $59.4 ha-1 (95% CI: $47.7 – $71.0 ha-1), with a 0.59 probability that the sensor-based approach outperformed the Grower practice. In contrast, for wheat, the average profit difference was $-4.36 ha-1 (95% CI: $-10.7; $2.15 ha-1), with a 0.53 probability of the sensor-based approach outperforming the grower (Figure 4). Therefore, while sensor-based technology showed a statistically significant improvement in partial profit for corn, no such advantage was observed for wheat.

Figure 4. Probability of sensor-based nitrogen management achieving higher profit than grower-selected rates across a range of grain and nitrogen fertilizer prices ($ kg-1) for corn (left) and wheat (right). Triangles are the average prices for the three years in the study (2021, 2022, 2023), while the white point is the average price for the three years.
For corn, the probability of the sensor-based approach outperforming the grower’s practice ranged from 0.444 to 0.771, with 50% of the simulations producing probabilities higher than 0.627 (Figure 4). These results indicate that in most simulations, the sensor-based approach had a greater than 0.6 probability of being more profitable than the grower’s method. For wheat, the probability ranged from 0.481 to 0.756. In this case, 50% of the simulations showed probabilities lower than 0.545, and 75% were below 0.852. This suggests that, in general, the probability of the sensor-based approach outperforming the grower’s method was lower than 0.6 for wheat (Figure 4) for the yield scenarios explored in our database.
The highest probabilities of the sensor-based approach being more profitable than the grower’s method were observed under scenarios with low grain prices and high nitrogen fertilizer prices. This indicates that VRT may offer increased profitability under conditions of high input costs. However, the probabilities were consistently higher for corn than for wheat, suggesting that the sensor-based approach is more likely to improve profitability in corn production. These economic advantages, however, should be interpreted with caution, as potential profitability does not automatically ensure widespread adoption. Variable-rate fertilizer has been available for almost two decades, and evidence shows that barriers to adoption extend beyond economic considerations. The cost of application—typically ranging from $15 to $30 ha-1 when accounting for machinery, prescription maps, and labor—can influence decisions, but it is often not the decisive factor. For example, a Nebraska survey reported that lack of information about agronomic value, shortage of qualified labor, limited time, the overwhelming number of available technologies, and the number of service providers were more important constraints than direct technology costs (Balboa et al., 2024). For many farmers, upfront investment in sensors and machinery, the learning curve required to use decision-support tools effectively, and uncertainty about long-term reliability may further limit scalability despite profitability potential. Importantly, our comparative approach between crops highlights that the contrasting outcomes in corn and wheat reflect not only agronomic differences but also the need for crop-specific adoption strategies—an area that remains underexplored in the literature. Previous works had shown a partial profit analysis comparing Sensor-based technologies and grower approaches in corn (Scharf et al., 2011). In this work, the grain price used was $0.2 kg-1 and $1.3 kg-1 for the N fertilizer price. The mean average partial profit difference reported in the work was $42 ha-1 in favor of Sensor-based technologies. Scharf et al. (2011) conducted a partial profit analysis comparing sensor-based technologies and grower practices, using a grain price of $0.20 kg-1 and a nitrogen fertilizer price of $1.30 kg-1. They reported an average partial profit increase of $42 ha-1 in favor of the sensor-based approach.
In the present study, a bootstrap sampling approach was used to estimate partial profit under the same price conditions. The average probability of Sensor-based achieving higher profit was 0.58 (Figure 4). The mean partial profit difference was $46.8 ha-1, with a 95% confidence interval ranging from $3.43 to $89.6 ha-1. This result supports the conclusion that sensor-based approaches can improve partial profitability, and the confidence interval includes the $42 ha-1 value reported by Scharf et al. (2011). Boyer et al. (2011) showed that VRT may improve partial profit under uniform application rates, such as those used by growers. However, after testing different rates and timings and comparing VRT against uniform applications in wheat, they found no statistically significant differences in profit between treatments.
An exhaustive economic analysis is beyond the scope of this paper; a more comprehensive evaluation would be needed to fully assess the economic benefits of these technologies in both crops. In this study, we simplified the complex relationship between environmental, agronomic, and economic factors. However, this approach can still provide some insight into the economic implications, even though it does not account for the cost of the technology or other expenses that farmers may incur if they choose to adopt it. Future work should explicitly integrate technology costs, the time and training required to implement VRTs, and regional differences in farm size and management capacity, since these factors may influence profitability and adoption. It is important to note, however, that profitability can vary considerably depending on context-specific factors, such as local agronomic conditions, market prices, and farm management practices.
3.3 Site-specific drivers of NUE in corn
A site-specific decision tree was developed to evaluate the differences in NUE between Sensor-based and Grower treatments for corn. The tree was fitted with data from 57 corn trials. NUE may be higher at sites where lower N rates were applied, even when yield reductions were significant. The decision tree was based on NUE, as yield values were not negatively impacted, and higher variations occurred in N rates. Therefore, differences in NUE between treatments are attributed to lower N rates rather than reduced yields. The most important variables to explain the differences in NUE were yield average, yield spatial variability, and clay content in the first 20 cm depth.
The decision tree results suggest that, in areas with low spatial yield variability, the benefits of adopting a sensor-based approach may be limited (Figure 5). In contrast, in areas with moderate to high yield variability (CV higher than 1.11%), the difference in NUE tends to be greater in favor of the sensor-based approach over the grower strategy. This indicates that lower N rates may be recommended in those environments. These findings align with previous research showing that within-field variability in soil fertility or yield can influence the potential advantages of VRT (Tisseyre and McBratney, 2008; Diacono et al., 2013).

Figure 5. Partitional tree illustrating the influence of soil and topographic variables on the relative difference in NUE between sensor-based and grower N management (Sensor – Grower), normalized by grower NUE. The response variable is expressed as the relative change in NUE, with positive values indicating improved efficiency from the sensor-based approach. Topographic Wetness Index (TWI).
Under low yield variability conditions, silt content also emerges as an important factor influencing NUE differences. When silt content exceeds 39%, the relative improvement in NUE from the sensor-based approach (compared to the Grower strategy) is reduced, compared to sites with silt content below this threshold (Figure 5). This pattern likely reflects soil texture trade-offs: fields with higher silt and lower sand retain more water, allowing grower practices with higher N rates to better match crop demand. Prior studies have also shown that when the N-rich strip appears visually similar to the surrounding crop at the time of side-dress, a sensor-based variable rate strategy may not be necessary (Kitchen et al., 2010). This scenario often occurs in well-fertilized plots with high NDVI values, where within-field NDVI variability decreases rather than increases its values (Silvestri et al., 2024).
Moreover, nitrate dynamics are influenced by precipitation and soil water retention capacity (van Es et al., 2005; Raza and Farmaha, 2022), further emphasizing the role of soil type in determining N requirements. In wet conditions, particularly in years with abundant spring rainfall, fine-textured soils such as clay loam are more susceptible to precipitation and drainage effects. As a result, these areas may require higher N fertilizer rates to achieve optimal yields (van Es et al., 2005). In short, corn generally responds more strongly to added N in clay-rich soils than in medium-textured soils (Tremblay et al., 2012; Li et al., 2023).
Under moderate and high yield variability, average yield also influences sensor-based performance. In low-yield areas (yield values lower than 11 t ha-1), slope and soil clay content are key factors. In areas with steep slopes, the performance of sensor-based recommendations is further modified by clay content. The sensor-based approach outperformed grower strategies in these areas when clay content exceeded 23% (Figure 5). This interaction reflects two mechanisms: clayey soils often mineralize less N and drain poorly, while slopes reduce infiltration and increase lateral water loss (Huat et al., 2006). Together, these conditions make N management more challenging, where VRT can provide efficiency gains.
In contrast, in high-productivity areas where the average yield is moderate to high (yield values higher than 11.9 t ha-1), sensor-based performance is primarily influenced by clay content and TWI. When clay content exceeds 25%, the advantages of VRT are reduced, possibly because the higher N rates typically applied by growers in these zones may be justified (Figure 5). Lower TWI values may limit mineralization and N availability, while higher TWI may enhance nutrient accumulation (Kumar et al., 2022). Overall, the repeated influence of soil texture can be summarized as follows: clay-rich soils tend to reduce mineralization and drainage, increasing crop dependence on fertilizer N, whereas sandy or mixed soils allow greater responsiveness to sensor-based adjustments. These results align with previous studies reporting higher optimal N requirements in claypan soils compared to loess or alluvial soils (Ping et al., 2008; Kitchen et al., 2010; Shahandeh et al., 2011).
Soil nitrate availability is closely tied to both precipitation and soil moisture dynamics (van Es et al., 2005), reinforcing the importance of soil type in determining N response. Integrating sensor-based in-season nutrient management with soil testing at planting and split N applications may offer an effective strategy to improve NUE (Sharma and Bali, 2017). This highlights the importance of tailoring N management strategies to soil and environmental conditions. In rainy years, clay loam soils are particularly sensitive to excess water, and only under such conditions can higher N rates be justified for fine-textured areas of a field. These results further confirm that corn response to applied N is significantly greater in fine-textured than in medium-textured soils.
3.4 Smart farming for climate-adaptive N management
While precision agriculture emphasizes management practices that address within-field variability—doing the right things, in the right places, with the right intensity—smart farming goes further by generating and applying knowledge through advanced technologies (Zinke-Wehlmann and Charvát, 2021). The integration of sensors, digital technologies, and field-level applications is a key component of smart farming (Finger, 2023). Sensor-based technologies offer valuable tools for N management. When combined with diverse data sources such as weather or environmental conditions, VRT technologies can unlock the full potential of digital innovation and smart farming (Dubuis et al., 2019; McNunn et al., 2019; Finger, 2023). Research has shown that coupling sensor data with soil, weather information, and machine learning algorithms can improve the accuracy of N recommendations (Ransom et al., 2019). Moreover, by integrating these technologies with crop growth models, farmers can optimize their decisions and N management (Bosche et al., 2025). Therefore, integrating smart technologies, such as weather forecasting, remote sensing, and machine learning, can support the development of climate-adaptive nutrient strategies.
Weather patterns have become increasingly variable, with more frequent extreme rainfall events (Easterling et al., 2000). Adapting N applications to real-time crop and environmental conditions can enhance both the quality and quantity of crop production (Blumenthal et al., 2008). Moreover, VRT can improve within-field profitability while supporting sustainability goals (Muth, 2014).
Real-time adjustments to N applications help avoid under- or over-application during abnormal weather events (e.g., excessive spring rainfall or drought), thereby enhancing crop resilience to environmental stress (Finger, 2023). As variable weather becomes more common, smart farming and VRT offer strategies to improve NUE across diverse scenarios. Higher NUE not only reduces N leaching during wet years and over application during dry years, but also lowers greenhouse gas emissions, achieving the same or higher yields with reduced environmental impact (Sehy et al., 2003; Pampolino et al., 2007; Finger et al., 2019). In this context, split-N applications or in-season real-time adjustments offer a practical means to mitigate risks posed by erratic rainfall or temperature fluctuations.
4 Conclusion
This study evaluated the effectiveness of sensor-based N management compared to conventional grower practices in corn and wheat across 57 on-farm trials. In wheat, sensor-based recommendations did not significantly improve N rates, yield, or nitrogen use efficiency (NUE) relative to grower strategies, indicating limited benefit in that crop under the tested conditions. In contrast, for corn, the sensor-based approach outperformed grower practices by recommending lower N rates (-40 kg N ha-1) without compromising yield, thereby increasing NUE. Sensor-based approaches may be more beneficial under low grain price scenarios and high N fertilizer prices, with greater benefits observed in corn than in wheat.
Our findings highlight that the benefits of VRT are highly site-specific. Sensor-based N management was most effective in corn fields characterized by moderate to high yield spatial variability, where the approach better matched N supply to heterogeneous crop demand. Key soil and landscape parameters, including clay content, slope, and TWI, further influenced NUE outcomes. Unlike most previous studies, which were limited to experimental stations, or limited to one crop, our work is based on OFE, enhancing the robustness and practical relevance of the results. Furthermore, the integration of geostatistical analysis and decision tree modeling provides new insights into the drivers of NUE variability and VRT, beyond what has typically been reported.
These insights reinforce the importance of integrating sensor-based recommendations with soil texture, topography, and moisture-related indicators in decision-support tools. Such integration could significantly enhance the performance of precision N management strategies, particularly in corn. Moreover, sensor-based approaches may be especially advantageous under economic scenarios involving low grain prices or high N fertilizer costs. Overall, tailoring N management to both crop type and site-specific conditions is essential to maximizing NUE, minimizing environmental impacts, and improving long-term agricultural sustainability.
In the context of increasing climate variability, sensor-based N management offers a flexible and adaptive strategy that contributes to climate-resilient crop production. By responding to within-field variability and real-time plant needs, this approach helps mitigate the risks associated with environmental stresses such as excessive rainfall, drought, and temperature extremes. Moreover, by reducing unnecessary N inputs and minimizing losses to the environment, sensor-based management supports both productivity and sustainability objectives, positioning it as a key component of smart agriculture systems designed for resilient food production.
To facilitate the adoption of sensor-based technologies, preliminary field characterization to identify suitable candidate areas—along with a thorough economic evaluation—may be a critical first step. Future research should explore the development of automated calibration processes that leverage field history and soil characteristics. Additionally, enhancing sensing algorithms by incorporating soil texture, topographic data, and economic information could further improve the effectiveness of sensor-based technologies in both wheat and corn.
Data availability statement
The raw data supporting the conclusions of this article will be made available by the authors, without undue reservation.
Author contributions
PP: Data curation, Formal analysis, Investigation, Methodology, Software, Validation, Visualization, Writing – original draft. LP: Investigation, Supervision, Data curation, Conceptualization, Methodology, Writing – review & editing, Resources, Visualization, Funding acquisition, Project administration, Writing – original draft. MC: Data curation, Formal Analysis, Writing – review & editing, Software. TM: Data curation, Methodology, Software, Writing – review & editing. RF: Conceptualization, Data curation, Funding acquisition, Investigation, Project administration, Resources, Writing – review & editing. JL: Data curation, Project administration, Resources, Writing – review & editing, Funding acquisition, Investigation. LT: Conceptualization, Data curation, Funding acquisition, Investigation, Methodology, Supervision, Writing – review & editing. GB: Conceptualization, Data curation, Methodology, Project administration, Resources, Supervision, Visualization, Writing – original draft, Writing – review & editing, Funding acquisition, Investigation.
Funding
The author(s) declare financial support was received for the research and/or publication of this article. This work was supported in part by an award from the USDA-NRCS Conservation Innovation Grants, On-Farm Conservation Innovation Trials, award number NR203A750013G014. SENSE funding was provided under the title of “Promoting Adoption of In-Season Canopy Sensor-Based Nitrogen Fertilization of Corn through the Nebraska On-Farm Research Network” from 7 sources: Nebraska Corn Board: Sponsor Award No. 88-R-1415-03, USDA-NIFA: Sponsor Award No. 2015-67028-23559, Lower Platte North NRD: Sponsor Award No. 76343, Central Platte NRD: Sponsor Award No. 76342, Little Blue NRD: Sponsor Award No. 76339, Upper Big Blue NRD: Sponsor Award No. 76334, Lower Loup NRD: Sponsor Award No. 76326
Acknowledgments
We are grateful for the collaborations with numerous farmers, extension educators, graduate students, and technologists, without whom this work would not be possible.
Conflict of interest
The authors declare that the research was conducted in the absence of any commercial or financial relationships that could be construed as a potential conflict of interest.
Generative AI statement
The author(s) declare that no Generative AI was used in the creation of this manuscript.
Any alternative text (alt text) provided alongside figures in this article has been generated by Frontiers with the support of artificial intelligence and reasonable efforts have been made to ensure accuracy, including review by the authors wherever possible. If you identify any issues, please contact us.
Publisher’s note
All claims expressed in this article are solely those of the authors and do not necessarily represent those of their affiliated organizations, or those of the publisher, the editors and the reviewers. Any product that may be evaluated in this article, or claim that may be made by its manufacturer, is not guaranteed or endorsed by the publisher.
References
Balboa G., Puntel L., Paccioretti P., and Thompson L. (2024). Barriers and adoption of precision ag technologies for nitrogen management nebraska (Monticello, IL: International Society of Precision Agriculture).
Banger K., Nafziger E. D., Wang J., Muhammad U., and Pittelkow C. M. (2018). Simulating nitrogen management impacts on maize production in the U.S. Midwest. PloS One 13, e0201825. doi: 10.1371/journal.pone.0201825
Barbosa Júnior M. R., Moreira B. R. D. A., Carreira V. D. S., Brito Filho A. L. D., Trentin C., Souza F. L. P. D., et al. (2024). Precision agriculture in the United States: A comprehensive meta-review inspiring further research, innovation, and adoption. Comput. Electron. Agric. 221, 108993. doi: 10.1016/j.compag.2024.108993
Barker D. W. and Sawyer J. E. (2010). Using active canopy sensors to quantify corn nitrogen stress and nitrogen application rate. Agron. J. 102, 964–971. doi: 10.2134/agronj2010.0004
Basso B., Fiorentino C., Cammarano D., and Schulthess U. (2016). Variable rate nitrogen fertilizer response in wheat using remote sensing. Precis. Agric. 17, 168–182. doi: 10.1007/s11119-015-9414-9
Bean G. M., Kitchen N. R., Camberato J. J., Ferguson R. B., Fernandez F. G., Franzen D. W., et al. (2018). Improving an active-optical reflectance sensor algorithm using soil and weather information. Agron. J. 110, 2541–2551. doi: 10.2134/agronj2017.12.0733
Beaudette D., Skovlin J., Roecker S., and Brown A. (2024). soilDB: soil database interface. Available online at: https://CRAN.R-project.org/package=soilDB (Accessed December 12, 2024).
Beven K. J. and Kirkby M. J. (1979). A physically based, variable contributing area model of basin hydrology/Un modèle à base physique de zone d’appel variable de l’hydrologie du bassin versant. Hydrological Sci. Bull. 24, 43–69. doi: 10.1080/02626667909491834
Blumenthal J. M., Baltensperger D. D., Cassman K. G., Mason S. C., and Pavlista A. D. (2008). “Importance and effect of nitrogen on crop quality and health,” in Nitrogen in the environment (San Diego: Elsevier), 51–70. doi: 10.1016/B978-0-12-374347-3.00003-2
Bongiovanni R. G. and Lowenberg-Deboer J. (2004). Precision agriculture and sustainability. Precis. Agric. 5, 359–387. doi: 10.1023/B:PRAG.0000040806.39604.aa
Bosche L., Gomez F., Palmero F., Kerns A., Hefley T., Ransom C., et al. (2025). Nitrogen nutrition index as an in-season N diagnostic method for maize yield response to N fertilization. Field Crops Res. 328, 109941. doi: 10.1016/j.fcr.2025.109941
Boyer C. N., Wade Brorsen B., Solie J. B., and Raun W. R. (2011). Profitability of variable rate nitrogen application in wheat production. Precis. Agric. 12, 473–487. doi: 10.1007/s11119-010-9190-5
Bramley R. G. V., Song X., Colaço A. F., Evans K. J., and Cook S. E. (2022). Did someone say “farmer-centric”? Digital tools for spatially distributed on-farm experimentation. Agron. Sustain. Dev. 42, 105. doi: 10.1007/s13593-022-00836-x
Bundy L. G. and Andraski T. W. (2004). Diagnostic tests for site-specific nitrogen recommendations for winter wheat. Agron. J. 96, 608–614. doi: 10.2134/agronj2004.0608
Cammarano D., Fitzgerald G., Basso B., Chen D., Grace P., and O’Leary G. (2011). Remote estimation of chlorophyll on two wheat cultivars in two rainfed environments. Crop Pasture Sci. 62, 269. doi: 10.1071/CP10100
Cao Q., Miao Y., Feng G., Gao X., Liu B., Liu Y., et al. (2017). Improving nitrogen use efficiency with minimal environmental risks using an active canopy sensor in a wheat-maize cropping system. Field Crops Res. 214, 365–372. doi: 10.1016/j.fcr.2017.09.033
Congreves K. A., Otchere O., Ferland D., Farzadfar S., Williams S., and Arcand M. M. (2021). Nitrogen use efficiency definitions of today and tomorrow. Front. Plant Sci. 12. doi: 10.3389/fpls.2021.637108
Diacono M., Rubino P., and Montemurro F. (2013). Precision nitrogen management of wheat. A review. Agron. Sustain. Dev. 33, 219–241. doi: 10.1007/s13593-012-0111-z
Dubuis P. H., Bleyer G., Krause R., Viret O., Fabre A.-L., Werder M., et al. (2019). VitiMeteo and Agrometeo: Two platforms for plant protection management based on an international collaboration. Bio Web Conf. 15, 1036. doi: 10.1051/bioconf/20191501036
Easterling D. R., Evans J. L., Groisman P. Y., Karl T. R., Kunkel K. E., and Ambenje P. (2000). Observed variability and trends in extreme climate events: A brief review. Bull. Amer. Meteor. Soc 81, 417–425. doi: 10.1175/1520-0477(2000)081%3C0417:OVATIE%3E2.3.CO;2
Ferguson R. B., Luck J. D., Thompson L. J., Krienke B. T., Crowther J. D., Parrish J., et al. (2025). Demonstrating the improvement of nitrogen use efficiency of irrigated maize through active crop canopy sensor-based in-season management.
Finger R. (2023). Digital innovations for sustainable and resilient agricultural systems. Eur. Rev. Agric. Econ 50, 1277–1309. doi: 10.1093/erae/jbad021
Finger R., Swinton S. M., El Benni N., and Walter A. (2019). Precision farming at the nexus of agricultural production and the environment. Annu. Rev. Resour. Econ. 11, 313–335. doi: 10.1146/annurev-resource-100518-093929
Fountas S., Espejo-Garcia B., Kasimati A., Mylonas N., and Darra N. (2020). The future of digital agriculture: technologies and opportunities. IT Prof. 22, 24–28. doi: 10.1109/MITP.2019.2963412
Hijmans R. J. (2024). terra: spatial data analysis. Available online at: https://CRAN.R-project.org/package=terra (Accessed December 12, 2024).
Holland K. H. and Schepers J. S. (2010). Derivation of a variable rate nitrogen application model for in-season fertilization of corn. Agron. J. 102, 1415–1424. doi: 10.2134/agronj2010.0015
Hothorn T., Hornik K., and Zeileis A. (2006). Unbiased recursive partitioning: A conditional inference framework. J. Comput. Graphical Stat 15, 651–674. doi: 10.1198/106186006X133933
Huat B. B. K., Ali F. H. J., and Low T. H. (2006). Water infiltration characteristics of unsaturated soil slope and its effect on suction and stability. Geotech Geol Eng. 24, 1293–1306. doi: 10.1007/s10706-005-1881-8
Johnson G. V. and Raun W. R. (2003). Nitrogen response index as a guide to fertilizer management. J. Plant Nutr. 26, 249–262. doi: 10.1081/PLN-120017134
Kitchen N. R., Sudduth K. A., Drummond S. T., Scharf P. C., Palm H. L., Roberts D. F., et al. (2010). Ground-based canopy reflectance sensing for variable-rate nitrogen corn fertilization. Agron. J. 102, 71–84. doi: 10.2134/agronj2009.0114
Kravchenko A. N., Robertson G. P., Thelen K. D., and Harwood R. R. (2005). Management, topographical, and weather effects on spatial variability of crop grain yields. Agron. J. 97, 514–523. doi: 10.2134/agronj2005.0514
Kumar H., Srivastava P., Lamba J., Ortiz B. V., Way T. R., Sangha L., et al. (2022). Within-field variability in nutrients for site-specific agricultural management in irrigated cornfield. J. ASABE 65, 865–880. doi: 10.13031/ja.15042
Li X., Ba Y., Zhang M., Nong M., Yang C., and Zhang S. (2022). Sugarcane nitrogen concentration and irrigation level prediction based on UAV multispectral imagery. Sensors 22, 2711. doi: 10.3390/s22072711
Li X., Wang Y., Feng G., Xu Z., Meng F., and Gao Q. (2023). Differential fertilizer nitrogen fates in maize cropping system among three soil textures based on 15N. Field Crops Res. 291, 108780. doi: 10.1016/j.fcr.2022.108780
Lu J., Dai E., Miao Y., and Kusnierek K. (2022). Improving active canopy sensor-based in-season rice nitrogen status diagnosis and recommendation using multi-source data fusion with machine learning. J. Cleaner Production 380, 134926. doi: 10.1016/j.jclepro.2022.134926
Marang I. J., Filippi P., Weaver T. B., Evans B. J., Whelan B. M., Bishop T. F. A., et al. (2021). Machine learning optimised hyperspectral remote sensing retrieves cotton nitrogen status. Remote Sens. 13, 1428. doi: 10.3390/rs13081428
McNunn G., Heaton E., Archontoulis S., Licht M., and VanLoocke A. (2019). Using a crop modeling framework for precision cost-benefit analysis of variable seeding and nitrogen application rates. Front. Sustain. Food Syst. 3. doi: 10.3389/fsufs.2019.00108
Mitra B., Singha P., Roy Chowdhury A., Sinha A. K., Skalicky M., Brestic M., et al. (2023a). Normalized difference vegetation index sensor-based nitrogen management in bread wheat (Triticum aestivum L.): Nutrient uptake, use efficiency, and partial nutrient balance. Front. Plant Sci. 14. doi: 10.3389/fpls.2023.1153500
Mitra B., Singha P., Roy Chowdhury A., Sinha A. K., Skalicky M., Laing A. M., et al. (2023b). Optical sensor-based nitrogen management: an environmentally friendly and cost-effective approach for sustainable wheat (Triticum aestivum L.) production on Eastern plains of India. Front. Sustain. Food Syst. 7. doi: 10.3389/fsufs.2023.1153575
Mittermayer M., Gilg A., Maidl F.-X., Nätscher L., and Hülsbergen K.-J. (2021). Site-specific nitrogen balances based on spatially variable soil and plant properties. Precis. Agric. 22, 1416–1436. doi: 10.1007/s11119-021-09789-9
Morari F., Zanella V., Gobbo S., Bindi M., Sartori L., Pasqui M., et al. (2021). Coupling proximal sensing, seasonal forecasts and crop modelling to optimize nitrogen variable rate application in durum wheat. Precis. Agric. 22, 75–98. doi: 10.1007/s11119-020-09730-6
Mulla D. J. (2013). Twenty five years of remote sensing in precision agriculture: Key advances and remaining knowledge gaps. Biosyst. Eng. 114, 358–371. doi: 10.1016/j.biosystemseng.2012.08.009
Munnaf M. A., Haesaert G., and Mouazen A. M. (2022). Site-specific seeding for maize production using management zone maps delineated with multi-sensors data fusion scheme. Soil Tillage Res. 220, 105377. doi: 10.1016/j.still.2022.105377
Muth D. (2014). Profitability versus environmental performance: Are they competing? J. Soil Water Conserv. 69, 9. doi: 10.2489/jswc.69.6.203A
Nyiraneza J., Cambouris A. N., Ziadi N., Tremblay N., and Nolin M. C. (2012). Spring wheat yield and quality related to soil texture and nitrogen fertilization. Agron. J. 104, 589–599. doi: 10.2134/agronj2011.0342
Pampolino M. F., Manguiat I. J., Ramanathan S., Gines H. C., Tan P. S., Chi T. T. N., et al. (2007). Environmental impact and economic benefits of site-specific nutrient management (SSNM) in irrigated rice systems. Agric. Syst. 93, 1–24. doi: 10.1016/j.agsy.2006.04.002
Pignatti E., Carli G., and Canavari M. (2015). What really matters? A qualitative analysis on the adoption of innovations in agriculture. JAI 6, 73–84. doi: 10.17700/jai.2015.6.4.212
Ping J. L., Ferguson R. B., and Dobermann A. (2008). Site-specific nitrogen and plant density management in irrigated maize. Agron. J. 100, 1193–1204. doi: 10.2134/agronj2007.0174
Pinheiro J. C. and Bates D. M. (2000). Mixed-effects models in S and S-PLUS. (New York: Springer). doi: 10.1007/b98882
Pinheiro J. C., Bates D., and R Core Team (2023). nlme: linear and nonlinear mixed effects models. Available online at: https://CRAN.R-project.org/package=nlme (Accessed May 16, 2024).
Pondi B., Appel M., and Pebesma E. (2024). OpenEOcubes: an open-source and lightweight R-based RESTful web service for analyzing earth observation data cubes. Earth Sci. Inform 17, 1809–1818. doi: 10.1007/s12145-024-01249-y
Quinn R. (2022). DTN retail fertilizer trends. DTN- progressive farmer. Available online at: https://www.dtnpf.com/agriculture/web/ag/crops/article/2022/03/02/average-retail-fertilizer-prices (Accessed April 5, 2022).
Quinn R. (2025). DTN retail fertilizer trends. DTN- progressive farmer. Available online at: https://www.dtnpf.com/agriculture/web/ag/crops/article/2025/03/19/fertilizer-prices-march-potash-still (Accessed April 23, 2025).
Ransom C. J., Kitchen N. R., Camberato J. J., Carter P. R., Ferguson R. B., Fernández F. G., et al. (2019). Statistical and machine learning methods evaluated for incorporating soil and weather into corn nitrogen recommendations. Comput. Electron. Agric. 164, 104872. doi: 10.1016/j.compag.2019.104872
Raza S. and Farmaha B. S. (2022). Contrasting corn yield responses to nitrogen fertilization in southeast coastal plain soils. Front. Environ. Sci. 10. doi: 10.3389/fenvs.2022.955142
R Core Team (2024). R: A language and environment for statistical computing (Vienna, Austria: R Foundation for Statistical Computing). Available online at: https://www.R-project.org/ (Accessed December 16, 2024).
Sadras V. O., Giordano N., Correndo A., Cossani C. M., Ferreyra J. M., Caviglia O. P., et al. (2022). Temperature-driven developmental modulation of yield response to nitrogen in wheat and maize. Front. Agron. 4. doi: 10.3389/fagro.2022.903340
Sakamoto Y., Ishiguro M., and Kitagawa G. (1986). Akaike information criterion statistics Vol. 81 (Dordrecht, The Netherlands: D. Reidel).
Scharf P. C., Shannon D. K., Palm H. L., Sudduth K. A., Drummond S. T., Kitchen N. R., et al. (2011). Sensor-based nitrogen applications out-performed producer-chosen rates for corn in on-farm demonstrations. Agron. J. 103, 1683–1691. doi: 10.2134/agronj2011.0164
Sehy U., Ruser R., and Munch J. C. (2003). Nitrous oxide fluxes from maize fields: relationship to yield, site-specific fertilization, and soil conditions. Agriculture Ecosyst. Environ. 99, 97–111. doi: 10.1016/S0167-8809(03)00139-7
Shahandeh H., Wright A. L., and Hons F. M. (2011). Use of soil nitrogen parameters and texture for spatially-variable nitrogen fertilization. Precis. Agric. 12, 146–163. doi: 10.1007/s11119-010-9163-8
Shanahan J. F., Schepers J. S., Francis D. D., Varvel G. E., Wilhelm W. W., Tringe J. M., et al. (2001). Use of remote-sensing imagery to estimate corn grain yield. Agron. J. 93, 583–589. doi: 10.2134/agronj2001.933583x
Sharma L. and Bali S. (2017). A review of methods to improve nitrogen use efficiency in agriculture. Sustainability 10, 51. doi: 10.3390/su10010051
Silvestri N., Ercolini L., Grossi N., and Ruggeri M. (2024). Integrating NDVI and agronomic data to optimize the variable-rate nitrogen fertilization. Precis. Agric. 25, 2554–2572. doi: 10.1007/s11119-024-10185-2
Simoes R., de Souza F. C., Zaglia M., de Queiroz G. R., dos Santos R. D. C., and Ferreira K. R. (2021). “Rstac: an R package to access spatiotemporal asset catalog satellite imagery,” in 2021 IEEE International Geoscience and Remote Sensing Symposium IGARSS. Brussels, Belgium. p. 7674–7677. doi: 10.1109/IGARSS47720.2021.9553518
Sitthaphanit S., Limpinuntana V., Toomsan B., Panchaban S., and Bell R. (2010). Growth and yield responses in maize to split and delayed fertilizer applications on sandy soils under high rainfall regimes. Kasetsart J. (Nat. Sci.) 44, 991–1003.
Solari F., Shanahan J., Ferguson R., Schepers J., and Gitelson A. (2008). Active sensor reflectance measurements of corn nitrogen status and yield potential. Agron. J. 100, 571–579. doi: 10.2134/agronj2007.0244
Soltanikazemi M., Minaei S., Shafizadeh-Moghadam H., and Mahdavian A. (2022). Field-scale estimation of sugarcane leaf nitrogen content using vegetation indices and spectral bands of Sentinel-2: Application of random forest and support vector regression. Comput. Electron. Agric. 200, 107130. doi: 10.1016/j.compag.2022.107130
Stamatiadis S., Schepers J. S., Evangelou E., Tsadilas C., Glampedakis A., Glampedakis M., et al. (2018). Variable-rate nitrogen fertilization of winter wheat under high spatial resolution. Precis. Agric. 19, 570–587. doi: 10.1007/s11119-017-9540-7
Thompson L., Parrish J., Mueller N. M., Luck J., Krienke B. T., Ingram T., et al. (2015). Project SENSE, Sensors for Efficient Nitrogen Use and Stewardship of the Environment. Nebraska: University of Nebraska. Available online at: https://on-farm-research.unl.edu/sites/unl.edu.ianr.extension.on-farm-research/files/media/file/2015project-sense-quick-sheet.pdf (Accessed June 10, 2025).
Thompson L. J., Ferguson R. B., Kitchen N., Frazen D. W., Mamo M., Yang H., et al. (2015). Model and sensor-based recommendation approaches for in-season nitrogen management in corn. Agron. J. 107, 2020–2030. doi: 10.2134/agronj15.0116
Tisseyre B. and McBratney A. B. (2008). A technical opportunity index based on mathematical morphology for site-specific management: an application to viticulture. Precis. Agric. 9, 101–113. doi: 10.1007/s11119-008-9053-5
Tremblay N., Bouroubi Y. M., Bélec C., Mullen R. W., Kitchen N. R., Thomason W. E., et al. (2012). Corn response to nitrogen is influenced by soil texture and weather. Agron. J. 104, 1658–1671. doi: 10.2134/agronj2012.0184
USDA (2025). NASS - quick stats (Washington, DC: USDA National Agricultural Statistics Service). Available online at: https://quickstats.nass.usda.gov/.
U.S. Department of Agriculture’s Foreign Agricultural Service (2025a). United states corn area, yield and production. Washington, DC.
U.S. Department of Agriculture’s Foreign Agricultural Service (2025b). United states wheat area, yield and production. Available online at: https://ipad.fas.usda.gov/countrysummary/Default.aspx?id=US&crop=Wheat (Accessed April 30, 2025).
van Es H. M., Yang C. L., and Geohring L. D. (2005). Maize nitrogen response as affected by soil type and drainage variability. Precis. Agric. 6, 281–295. doi: 10.1007/s11119-005-1387-7
Wang J., Tian T., Wang H., Cui J., Zhu Y., Zhang W., et al. (2021). Estimating cotton leaf nitrogen by combining the bands sensitive to nitrogen concentration and oxidase activities using hyperspectral imaging. Comput. Electron. Agric. 189, 106390. doi: 10.1016/j.compag.2021.106390
Keywords: nitrogen use efficiency, sensor-based N management, precision agriculture, variable rate technology, site-specific N management
Citation: Paccioretti P, Puntel L, Córdoba M, Mieno T, Ferguson R, Luck J, Thompson L and Balboa G (2025) Site-specific drivers of sensor-based nitrogen management in on-farm corn and wheat experiments. Front. Agron. 7:1651522. doi: 10.3389/fagro.2025.1651522
Received: 21 June 2025; Accepted: 22 September 2025;
Published: 14 October 2025.
Edited by:
María José Gómez-Bellot, Spanish National Research Council (CSIC), SpainReviewed by:
Krishan K. Verma, Guangxi Academy of Agricultural Sciences, ChinaJosé Salvador Rubio-Asensio, Spanish National Research Council (CSIC), Spain
Copyright © 2025 Paccioretti, Puntel, Córdoba, Mieno, Ferguson, Luck, Thompson and Balboa. This is an open-access article distributed under the terms of the Creative Commons Attribution License (CC BY). The use, distribution or reproduction in other forums is permitted, provided the original author(s) and the copyright owner(s) are credited and that the original publication in this journal is cited, in accordance with accepted academic practice. No use, distribution or reproduction is permitted which does not comply with these terms.
*Correspondence: Laila Puntel, bHB1bnRlbDJAdW5sLmVkdQ==; Guillermo Balboa, Z2JhbGJvYTdAdW5sLmVkdQ==