ORIGINAL RESEARCH article
Front. Agron.
Sec. Agroecological Cropping Systems
This article is part of the Research TopicEnhancing Ecosystem Services through Conservation Agriculture, Agroforestry, and Traditional Farming SystemsView all 12 articles
The Effect of Long-Term Planting of Poplar Trees on the Morphology and Yield of Neighboring Summer Maize on Cropland in Humid and Semi Humid Regions of China
Provisionally accepted- Xinyang Normal University, Xinyang, China
Select one of your emails
You have multiple emails registered with Frontiers:
Notify me on publication
Please enter your email address:
If you already have an account, please login
You don't have a Frontiers account ? You can register here
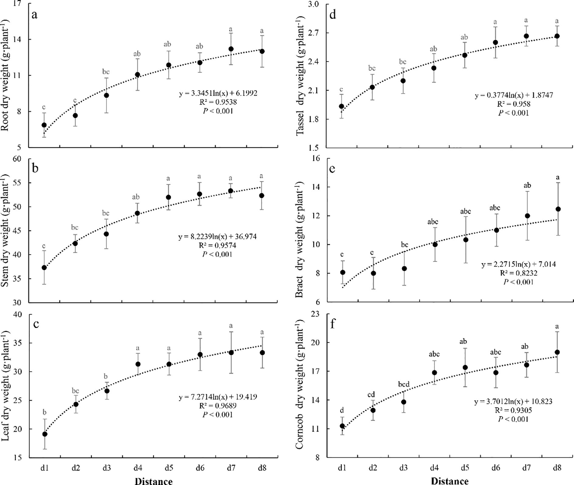
Abstract: Rapid urbanization has led to a large-scale loss of cropland to nonagricultural uses. To avoid losses caused by abandonment, farmers working in cities have converted part of their farmland into economic forests (Primarily poplar). To assess how converting cropland to forest land negatively impacts neighboring grain production, we selected five agroforestry interfaces in humid and semi-humid regions of China. We investigated the effects of long-term poplar planting on the production process of summer maize in neighboring fields. Eight sampling points (d1-d8) were established at 1-meter intervals along the agroforestry interface extending into the maize field, at each interface. During the maize maturity stage, morphological structure, yield, and dry matter distribution were measured. The results showed that long-term planting of poplar trees had a significant effect on the growth and harvest parameters of neighboring summer maize. Compared to the farthest distance (control), the maize plants closest to the poplar trees exhibited reductions in plant height, stem diameter, and leaf area by 46.4%, 34.9%, and 60.2%, respectively. Compared to control, root, stem, leaf, tassel, bract, and corncob dry weight at d1 were reduced by 47.2%, 28.7%, 42.6%, 27.5%, 35.3%, and 40.5%, respectively,and the yield per spike and total dry weight at d1 were reduced by 94.9% and 58.0%, respectively. Furthermore, trend analysis revealed that these parameters exhibited logarithmic growth trends with increasing distance (All R2 > 0.80). Structural equation modeling demonstrated that summer maize morphological structure and dry matter distribution directly and indirectly influenced yield per spike and total dry weight through distinct pathways. These findings provide management implications for mitigating the negative impacts of agroforestry systems on agricultural production in humid regions, while also providing a parameter basis for accurately assessing the grain yield reduction effect resulting from the large-scale conversion of agricultural land to forestry.
Keywords: Agroforestry system, Dry matter distribution, grain yield, Plant Morphology, poplar, Summer maize
Received: 23 Jun 2025; Accepted: 23 Oct 2025.
Copyright: © 2025 Zhong, Li, Li and Tang. This is an open-access article distributed under the terms of the Creative Commons Attribution License (CC BY). The use, distribution or reproduction in other forums is permitted, provided the original author(s) or licensor are credited and that the original publication in this journal is cited, in accordance with accepted academic practice. No use, distribution or reproduction is permitted which does not comply with these terms.
* Correspondence: Jiahui Tang, boningcao@hotmail.con
Disclaimer: All claims expressed in this article are solely those of the authors and do not necessarily represent those of their affiliated organizations, or those of the publisher, the editors and the reviewers. Any product that may be evaluated in this article or claim that may be made by its manufacturer is not guaranteed or endorsed by the publisher.
