Your new experience awaits. Try the new design now and help us make it even better

BRIEF RESEARCH REPORT article

Front. Agron., 10 October 2025

Sec. Field Water Management

Volume 7 - 2025 | https://doi.org/10.3389/fagro.2025.1659617

Applying IoT sensor-based practices to enhance water/nutrient sustainability in potato production

Damianos Neocleous*Damianos Neocleous*Andreas StylianouAndreas StylianouGeorge AdamidesGeorge AdamidesMichalis OmirouMichalis OmirouDionysis SparaggisDionysis SparaggisKyriaki KaikitiKyriaki KaikitiAnastasis ChristouAnastasis ChristouLoukia VassiliouLoukia VassiliouPanagiotis DaliasPanagiotis Dalias
  • Agricultural Research Institute, Ministry of Agriculture, Rural Development and Environment, Nicosia, Cyprus

Efficient water and nutrient management are critical challenges for sustainable agriculture, particularly in water-scarce regions. This study was conducted in Kokkinochoria, Cyprus, with four replicates to account for field variability, to evaluate an IoT-connected, sensor-based ferti-irrigation tool (GS) in spring potato production compared with conventional practices (CL). The study provides clear, quantitative data on nitrogen and phosphorus potential losses along with key parameters related to water management. Results demonstrate that the GS approach reduced nitrogen (N) and phosphorus (P) potential losses by over 50%, significantly improved water productivity by 37%, and decreased overwatering by 84%. Despite reduced water/nutrient inputs, tuber yields under GS remained at a high range exceeding 50 t/ha, with no compromise in quality. Although yield per unit of nitrogen supplied remained consistent across treatments, the yield per unit of nitrogen lost varied, highlighting differences in environmental impacts among treatments. Sustainability indicators revealed that the GS approach reduced input costs and labor while increasing gross profit, without compromising yield. These findings contribute to better understanding of how agriculture is evolving IoT-based sensor practices to improve water/nutrient management and reduce their environmental impact in potato cropping systems, which is vital in water-scarce regions.

GRAPHICAL ABSTRACT
www.frontiersin.org

Graphical Abstract. Deployment of IoT-based technology to provide farming recommendations

Introduction

The Eastern Mediterranean region, including Cyprus, has experienced warming at twice the global average rate, exceeding the thresholds set by the Paris Agreement. Cyprus experiences some of the most severe freshwater shortages in the EU, significantly affecting both agricultural productivity and ecosystem health. The frequent depletion of surface water resources has led to the overextraction of groundwater, already placing the majority of aquifers under serious threat (Sofroniou and Bishop, 2014). This issue is especially severe in Kokkinochoria, Cyprus’s main potato-producing region, where excessive groundwater pumping, mainly to meet the water demands of potato cultivation, has led to seawater intrusion and nitrate contamination (National Open Data Portal Cyprus, 2024). The problem arises from the fact that, although potatoes are highly sensitive to water stress and nutrient deficiencies (Wang et al., 2021), only 40%–60% of the nitrogen applied is actually absorbed by the plants. The remainder is often leached away through excessive irrigation, posing significant environmental risks (Jones et al., 2021). To overcome this problem, regulatory measures like the Nitrates Directive (1991) within the Water Framework Directive (2000) have been implemented, yet improving resource efficiency remains vital. In recent years, IoT-based sensor practices are being promoted to optimize fertigation in potato systems, reducing nitrate and phosphorus leaching (Berbel and Martínez-Dalmau, 2021). Despite available data and smart farming tools (e.g., Incrocci et al., 2020; Adamides et al., 2020), implementation across crops and regions is complex due to variability in soil and plant characteristics. This complexity limits the adoption rate in small-scale farming (Huber et al., 2023), highlighting the need for tailored, region-specific, and species-specific smart farming solutions.

The potato, the most widely grown non-grain food crop, combines high yield and nutritional value, making it vital for global food security (Economou et al., 2023). In Cyprus, potato is a key crop with a utilized agricultural area of 4,000 ha, producing 110,000–120,000 tons annually (70%–75% of which is exported), while being produced under irrigation consuming over 12 million m³ of freshwater. Planting occurs from November to early February, with harvest from March to mid-June. Potatoes are highly sensitive to soil moisture and nutrient deficits, particularly during tuber development, due to a shallow rooting system. To ensure yields, growers often overapply water and nitrogen, leading to high nitrate (NO3) leaching risks (Venterea et al., 2011; Giletto et al., 2019). Excessive inputs also increase nitrogen losses through leaching, denitrification, and volatilization, with leaching accounting for ~85% of total N losses under irrigated conditions (Zebarth and Rosen, 2007). Despite the importance of N2O and NH3 emissions from fertilized crops, their emissions from potato fields in Cyprus have never been measured. Elsewhere, N2O losses in irrigated systems range from 0.21 to 3.06 kg N ha¹ (Huang et al., 2024). Phosphorus (P) losses via runoff and leaching, due to soil saturation, further exacerbate eutrophication risks (Economou et al., 2023). Therefore, as one of Cyprus’s most water-intensive crops, even minimal irrigation savings can yield significant environmental benefits (Christou et al., 2017; Dalias et al., 2018). Enhancing ferti-irrigation in spring-grown potatoes in Cyprus with sensor-based technology can improve water use efficiency and reduce nutrient losses (Steyn et al., 2016). This approach supports the European Green Deal and aligns with EUMED9 (2024) calls for innovative solutions to mitigate water scarcity impacts on regional crop production.

Since water management is closely linked to nutrient runoff, deploying IoT-based sensor farming strategies offers clear environmental benefits compared with conventional practices (Steyn et al., 2016). However, the effectiveness of such smart systems varies with factors like climate, cultivar choice, and harvest timing, highlighting the need for further research and much improvement in scientific literature. Based on this, the research hypothesis was established: the gaiasense™ system enhances resource-use efficiency and reduces nutrient losses while maintaining the yield and quality of spring potatoes under Mediterranean water-scarce conditions. To test this, the study evaluated whether a regionally calibrated IoT-connected sensor-based ferti-irrigation system (gaiasense™) could enhance water productivity and nutrient use efficiency, reduce nitrogen and phosphorus losses, and sustain tuber yield and quality in spring potato production in Kokkinochoria, Cyprus, compared with conventional farming practices.

Materials and methods

Growing conditions

The field trial was conducted in Kokkinochoria, Cyprus (35°00′N, 33°44′E, 72 m a.s.l.), a key potato-growing region with terra rossa clay–loam soils (35% clay, 25% silt, and 40% sand). Exchangeable soil Ca and Mg averaged 4,800 and 500 ppm, respectively. Spunta potato seed pieces were planted on 25 January and harvested on 1 June 2023, at a density of 38,000 plants/ha (35 cm in row, 75 cm between rows). Irrigation water had an average EC of 0.674 dS/m and typical ion concentrations (meq/l): Cl 2.62, SO42− 2.20, HCO3 1.50, Na+ 2.37, Ca2+ 1.95, Mg2+ 2.05. Two management systems were compared: local farmers’ practice (CL) and a sensor-based system (gaiasense™, GS). The trial followed a randomized block design (n=4), with 156-m² plots (26 m × 6 m, 9 rows each). Fertilization and irrigation details, including application rates and water supply, are shown in Table 1. Irrigation used mini-sprinklers (180 L/h, 1.5–2 bar, 5 × 5 m triangular layout). Soil properties (0–30 cm) were quantified following Estefan et al. (2013). Basal fertilizer was co-applied with planting, and fertigation was used throughout the growing period.

Table 1
www.frontiersin.org

Table 1. Irrigation water (Irrigation), crop evapotranspiration (ETc) drainage water (Drainage), water productivity (tuber yield per volume of water applied), and fertilizer application rates expressed as part of the total amounts (kg/ha) in spring-grown Cyprus potato crops under local farmers’ practice (CL), or based on a sensorial system named gaiasense (GS) during the whole cropping period.

Gaiasense™ smart farming system

The gaiasense™ system (https://www.neuropublic.gr/en/smart-farming-gaiasense/) is a decision support platform calibrated and validated for potato cultivation in Cyprus (Adamides et al., 2020; https://www.neuropublic.gr/en/case-studies/iot4potato/). The main objective when deploying the gaiasense™ solution in a new field is to develop and calibrate irrigation and fertilization models tailored to the soil-climate zone. The process begins with gathering historical information on locally adapted cultivars, cultivation conditions, common practices, and past weather conditions. Next, soil and climate zones are identified, and representative fields are selected for the installation of telemetric sensing stations, with earth observation data from satellites used to enhance zone characterization. These stations are strategically placed to ensure that collected data represent the entire zone, minimizing the need for multiple installations. During the first year, field data are used to adapt existing models to local conditions, an easier process when similarities to other regions exist. The resulting new or calibrated algorithms are coded into software components that, when fed with real-time sensor and environmental data, generate daily, site-specific farming advice for growers. In the current, the system integrated field-installed IoT telemetric stations (gaiatrons), satellite imagery, a digital cultivation calendar, and on-site agronomic assessments. The gaiatrons continuously monitored key atmospheric, soil, and crop parameters, such as air temperature, relative humidity, precipitation, wind speed and direction, soil moisture and salinity, and leaf surface conditions. These real-time data streams were processed by gaiasense™ algorithms (Kalatzis et al., 2019) to calculate parameters such as crop evapotranspiration and to generate dynamic fertilization and irrigation recommendations.

Irrigation management

In the CL plots, irrigation scheduling was based on crop evapotranspiration (ETc), calculated using FAO guidelines (Irrigation and Drainage Papers 24 & 33). Reference evapotranspiration (ET0;) was estimated from historical pan evaporation data (USWB Class A) using ET0 = Kp × Epan, and ETc = Kc × ET0. Coefficients Kp and Kc were sourced from literature and locally validated (Christou et al., 2017). Irrigation dose was based on total available soil water (180 mm/m), depletion fraction (0.5), and root depth (0.3 m), yielding a 27-mm application per event. Water was applied at fixed intervals based on grower experience. In the GS (gaiasense™) plots, irrigation was managed using a real-time decision support system integrating data from the GS telemetric weather station and soil moisture and salinity sensors (Drill & Drop, Sentek Sensor Technologies; https://sentektechnologies.com/products/soil-data-probes/). The sensors were installed at various depths within the root zone and continuously monitored key parameters, including volumetric soil water content and electrical conductivity. These data (climatic-soil-crop) were transmitted to the gaiasense™ platform, where they were processed to determine the timing and quantity of irrigation events. Soil moisture content was maintained between 25% and 35%, predefined for the region’s soils (Adamides et al., 2020). The GS algorithm triggered irrigation when soil water content approached threshold values, accounting for effective rainfall.

Fertilization management

In the conventional (CL) treatment, fertilization followed common smallholder practices based on regional yield-oriented guidelines with estimated requirements of 251 kg/ha of nitrogen (N), 95 kg/ha of phosphorus (P), and 353 kg/ha of potassium (K) (Papadopoulos, 2000). A basal dose supplied one-third of the total nitrogen and potassium and two-thirds of the phosphorus, with the remaining amounts, along with micronutrients, applied at specific crop stages (Table 1; Supplementary S1) for nutrient amounts and timing. In contrast, the gaiasense™ (GS) treatment promoted sustainable nutrient management by meeting crop-specific demands, maintaining optimal soil fertility, and minimizing nutrient losses to deeper soil layers or groundwater. Fertilization advice was generated by gaiasense’s algorithms (Kalatzis et al., 2019) using soil characteristics (texture, pH, organic matter, macro- and micronutrients, and electrical conductivity) and limiting factors (CaCO3 content, leaching, and volatilization risks), along with crop data such as species, irrigation method, expected yield, biomass production, nutrient removal, and temporal variations in nutrient demand. Based on these inputs, the system calculated seasonal nutrient requirements, split into one to three targeted applications, and adjusted fertilizer supply during the season using soil and leaf analyses, considering standard formulations (Nikolaou et al., 2021; Supplementary S2).

Measurements

Soil and plant analyses

Before sowing (pre-fertilize treatment) and at harvest, four sampling points (0–30 cm, topsoil >80% of roots) were taken with the “Z”-type method constituting one mixed sample for each subplot (GS) or a composite sample from all subplots (CL). Selected soil characteristics were measured following the detailed methods described by Estefan et al. (2013). Nitrogen mineralization was quantified through periodic leaching of soil samples with a 2-M KCl solution under aerobic incubation conditions (Stanford and Smith, 1972). The value of mineralized P (not measured in the present study) was not considered, as it likely plays only a minor role in soil P availability (Raguet et al., 2023). Nutrient (N, P) intake by plants was calculated using dry biomass data and tissue nutrient concentrations in plants sampled from the central planting row of each plot.

Tuber yield and quality

At harvest, fresh potatoes from the two central rows in each experimental plot (i.e., 156 m2) were weighed. Then, considering the tuber yield of the plot, product yield per hectare was calculated. To assess tuber quality under each treatment, the following parameters were also analyzed: total sugars (g/100 g), moisture (g/100 g), dry matter (g/100 g), total nitrates (mg NO3/kg), and pesticide residues (data not shown). For this purpose, a 2-kg random tuber sample per plot was outsourced for chemical analysis.

Calculating water productivity

Irrigation water productivity (WP, kg/m3) was determined as yield divided by added volume of water calculated as: WP = 1000Y/WV, where Y is the fresh tuber yield (t/ha) and WV is the water volume applied (m3/ha) (Wang et al., 2021).

Calculating agronomic (Nagr, Pagr) efficiency and environmental (Nenv, Penv) effectiveness of nitrogen and phosphorous use

Here, we define yield as tuber fresh yield. Thus, N, P agronomic efficiency (Nagr, Pagr) was calculated as 1,000Y/Fappl where Y is the fresh tuber yield (t/ha) and Fappl is the amount of N or P nutrient applied (kg/ha, EU Nitrogen Expert Panel, 2015). Here, we also define environmental N, P effectiveness (Nenv, Penv) as 1,000Y/Floss, where Y is the fresh tuber yield (t/ha) and Floss is the potentially lost amount of N or P (kg/ha, yield to loss ratio).

N potential losses

N losses during the crop-growing season were estimated by the partial N mass balance, as previously described by Giletto et al. (2022) as follows (Equation 1):

Nlosses= Ninitial+ Nfertilizer+ Nmineralized+ NirrigationNplant Nresidual(1)

N losses is the sum of N lost in gas and leached form, N initial = NO3-N + NH4-N content in soil (0–30 cm) at planting, N fertilizer = applied with fertilizers, N mineralized = N released from organic residues, N irrigation = NO3-N content in irrigation water (avg. 2–4 mg/L), N plants = N removed from shoots, roots, and tubers, and N residual = NO3-N + NH4-N content in soil (0–30 cm) at harvesting.

P potential losses

This is the amount of phosphate in water passing over or through soils. This contributes to P loss by runoff and leaching to water bodies. The daily mass balance of inorganic phosphorus in the soil is given by the Equation 2:

TPd= (TPd-1+ FEPd+ MNPd+ RP) – (ROLPd+ PRCLPd+ SEDLPd+ UPPd)(2)

where TP is the total phosphorus in the soil (kg/ha), FEP is the phosphorus applied with fertilizers (kg/ha), MNP is mineralized phosphorus (kg/ha), RP is the input phosphorus with irrigation (kg/ha), ROLP is the outflow with surface runoff (kg/ha), PRCLP is the effluent by deep filtration (kg/ha), SEDLP is the effluent during sedimentation, and transport with soil fragments during erosion (kg/ha), UPP is the intake by plants (kg/ha), and d is the time (day) (Equations 3, 4).

Assuming as Plosses= ROLPd+ PRCLPd+ SEDLPd(3)

then we estimate,

Plosses= (TPd-1+ FEPd+ MNPd+ RP)  (TPd+ UPPd)(4)

Drainage water

The drainage water was calculated by the water balance as follows (Equation 5):

Drainage water= Irrigation - ETc (mm)(5)

Effective rainfall was taken into account and subtracted from ETc values.

Sustainability indicators

To assess the gaiasense™ system’s impact on potato farming sustainability, context-specific socioeconomic indicators were selected following established methodologies (Stylianou et al., 2020; Kasimati et al., 2024): gross output (€); fertilizer, pesticide, irrigation, variable, and total costs (€); gross profit (€); labor input (hours); and economic irrigation water productivity (€/m³). All monetary values reflected 2023 market prices, and calculations for CL and GS treatments used detailed gaiasense™ digital farm calendar records. Sustainability indicators are presented as the percentage change from CL to GS.

Statistical analysis

A one-way ANOVA was conducted to evaluate differences between the two treatments (GS vs. CL) at a 5% significance level. Homogeneity of variances was assessed using Levene’s test. Statistical analyses were performed using SAS software (v. 9.2), and all figures were generated in GraphPad Prism (v. 5.0).

Results and discussion

Efficient irrigation management is pivotal for the sustainability of irrigated agriculture, particularly in semiarid regions like Cyprus. The GS (gaiasense™) treatment applied 499.4 mm of irrigation, representing a 31.5% reduction compared with the 728.7 mm applied in the conventional CL treatment. Most of the savings occurred during the later stages of growth, with a maximum reduction of 40.2% (Table 1). As a result, total drainage losses were markedly lower under GS (43.5 mm) than CL (272.8 mm, Table 1), indicating significantly higher water excess and mismanagement in the CL regime. This suggests that CL frequently exceeded crop water needs, increasing the risk of irrigation-induced leaching and inefficient use of water (Table 1; Venterea et al., 2011). Slightly negative drainage values of the GS treatment may reflect more precise water matching with crop demand or even an upward capillary movement. In any case, a soil water content at the upper soil layer within 25–35% (per volume of water content) should be maintained during the whole potato cropping period (Adamides et al., 2020; Figure 1). This suggests that the GS regime more closely aligned irrigation supply with crop water demand. As a result, GS succeeded a notably higher water productivity of 12.66 kg/m³, compared with 9.25 kg/m³ under CL (an increase of 37%). These results are consistent with values reported in studies from Europe and the Mediterranean region, which typically range between 3 and 15 kg/m³ (Steyn et al., 2016). Thus, the results clearly demonstrate that optimized irrigation scheduling not only reduces water waste but also enhances production efficiency per unit of water applied. Excessive irrigation often leads to substantial drainage, which in turn increases the risk of nitrate (NO3) leaching, as NO3 readily moves with drainage water. In irrigated potato systems, nitrate leaching is the primary pathway of nitrogen (N) loss, accounting for approximately 85% of total N losses (Zebarth and Rosen, 2007), and this process seriously threatens groundwater quality (Thompson et al., 2007). Indeed, preliminary measurements of nitrogen (N) gas emissions in the current showed negligible N2O emissions (<0.2% of applied N), with ammonia (NH3) as the primary gaseous N loss. Phosphorus losses from P-saturated soils via leaching and runoff strongly contribute to freshwater eutrophication (Giletto et al., 2022). In this study, reduced P application effectively lowered phosphate concentrations in runoff and leachate (Figure 2). These losses, caused by rainfall or excess irrigation, would have contributed with nitrate to surface water eutrophication (Giletto et al., 2022). Thus, improving irrigation control by shifting from regional averages of evaporation and rainfall to site-specific microclimatic measurements (Figure 1) using IoT-based weather stations is a strategic approach to reduce water and nutrient losses. This study reveals that sensor-based systems optimize irrigation in potato production, conserving water and supporting yield, sustainability, and climate adaptation in the Eastern Mediterranean (Steyn et al., 2016).

Figure 1
Table and graphs display agro-environmental data from January to May 2023. The table lists parameters like temperature, humidity, and soil conditions. The first graph shows ETc over time, indicating changes from February to May. The second graph illustrates soil moisture content, irrigation, and precipitation over the same period, with variations in irrigation and precipitation depicted by lines and dots, respectively.

Figure 1. Table lists agro-environmental parameters, the first graph shows evapotranspiration-ETc over time, and the second graph illustrates soil moisture content, irrigation, and precipitation events.

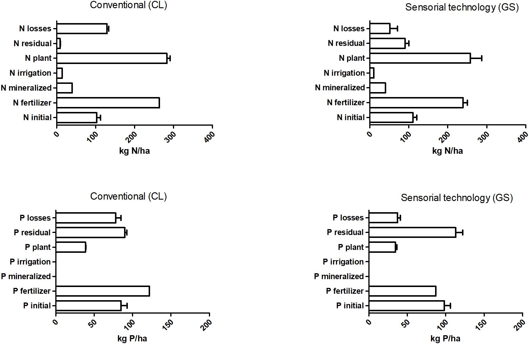
Figure 2
Four bar charts compare nitrogen and phosphorus dynamics between conventional and sensorial technology methods. Nitrogen (N) charts show categories like N losses and N fertilizer with varying values in kg N/ha. Phosphorus (P) charts display P losses and P fertilizer with different values in kg P/ha. Conventional and sensor technology methods are compared for each element's parameters.

Figure 2. N and P potential losses under local farmers’ practices (CL) or based on a sensorial system named gaiasense (GS). Assuming as N losses= the sum of N lost in gas and leached form, N initial = NO3-N + NH4-N content in soil at planting, N fertilizer = applied with fertilizers, N mineralized = N released from organic residues, N irrigation = NO3-N content in irrigation water, N plants = N removed from shoots, roots, and tubers and N residual = NO3-N + NH4-N content in soil at harvesting. Nlosses= Ninitial + Nfertilizer + Nmineralized + Nirrigation – Nplant – Nresidual (1). Assuming as Plosses = the outflow with surface runoff, the effluent by deep filtration, the effluent during sedimentation, and transport with soil fragments during erosion, the mass balance equation of inorganic phosphorus in the soil is given by the equation. Plosses = Pinitial + Pfertilizer + Pmineralized + Pirrigation – Pplant – Presidual (2) where Pinitial: phosphorus in the soil at planting, Pfertilizer: the phosphorus applied with fertilizers, Pmineralized: mineralized phosphorus, Pirrigation: the input phosphorus with irrigation, Pplant: intake by plants and Presidual: phosphorous content in soil at harvesting.

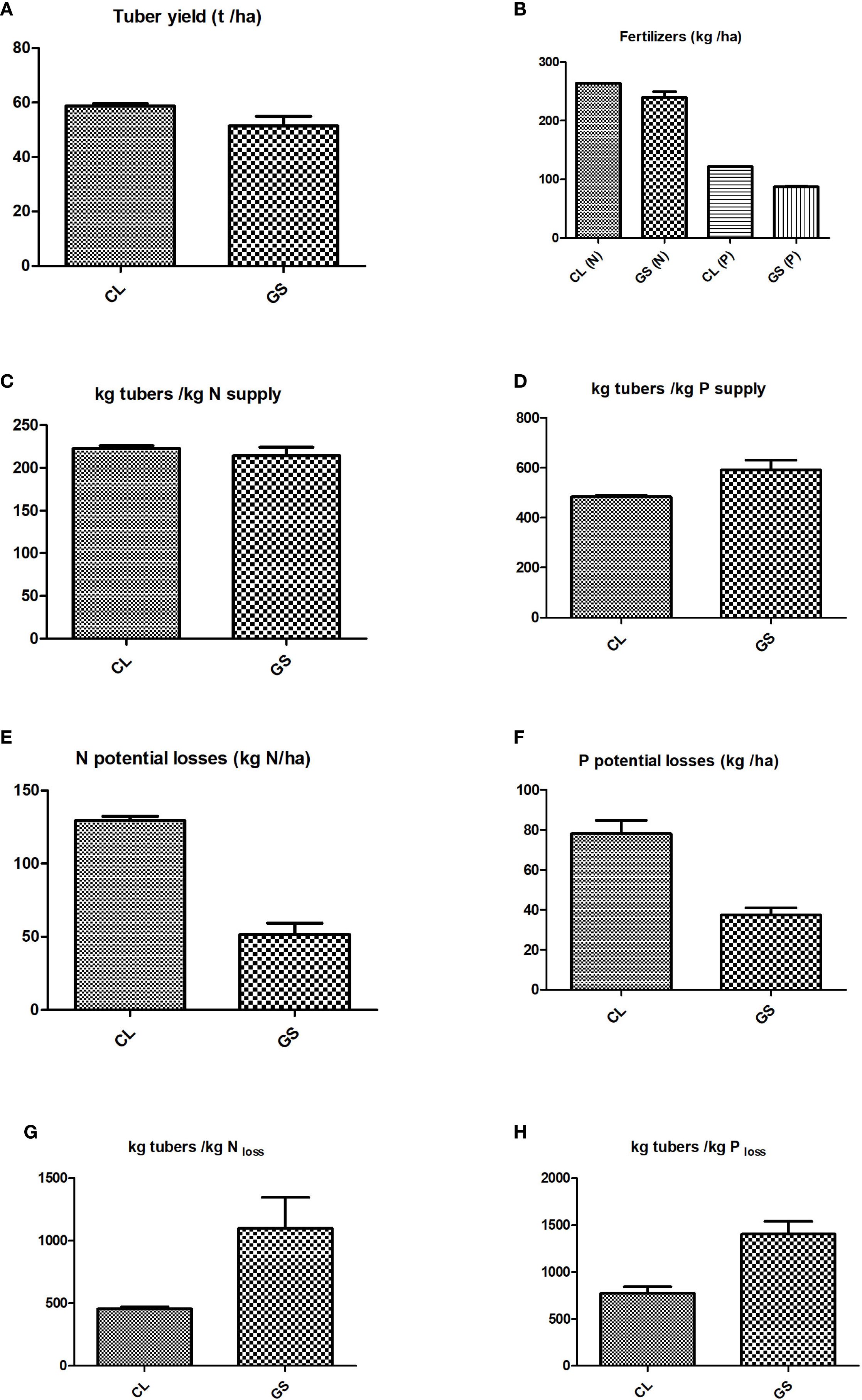
Mismanaged fertilizer application increases nutrient losses and environmental degradation (Economou et al., 2023). Here, fertilizer timing was consistent in both treatments, following a split-application strategy (Table 1) aligning with best practices (Gianquinto et al., 2013; Sha et al., 2022). Fertilizer doses (Table 1) under the GS regime were substantially reduced compared with CL, with total applications of N, P, and K decreased by 9.1%, 27.9%, and 53.6%, respectively. Despite lower macronutrient inputs, GS featured a targeted increase in micronutrients, particularly Zn, Mn, and Cu, likely to support crop performance. Both treatments received relatively high N inputs (Figure 3B) to accommodate high yields exceeding the national average (35.6 t/ha, Economou et al., 2023) and this probably diminished yield effects between treatments (Figure 3A). Indeed, the crop’s good nutritional status was evidenced by comparable N and P uptake across treatments (Figure 2), high yields (52–59 t/ha), uniform large tubers (avg. 225 g), high dry matter (19.5%), and low nitrate content (68 mg NO3/kg FW), meeting European market standards. Similar production levels and nitrogen applications in both treatments resulted in no significant differences in tuber yield per unit of nitrogen, reflecting comparable nitrogen use efficiency (Figure 3C). Total P inputs were significantly lower in GS without reducing yield (Figures 3A, B). GS also increased tuber yield per unit of P (Figure 3D) and markedly reduced potential N and P losses by over 50% compared with CL (Figures 3E, F). As a result, GS showed a more favorable yield to loss ratio, producing over twice as much tuber biomass per unit of N and P lost (Figures 3G, H) This pattern was confirmed by nutrient (N, P) mass balance analysis, highlighting the agronomic and environmental outcomes of the sensor-based GS strategy (Figure 2). Particularly, nitrogen calculations showed that GS treatment resulted in significantly lower nitrogen losses (51.5 kg N/ha) than CL treatment (129.4 kg N/ha, Figure 3E), mainly due to higher residual soil nitrogen and slightly lower fertilizer input (Figure 2). Phosphorus calculations revealed higher P losses in CL treatment (78.0 kg P/ha) compared with GS treatment (37.4 kg P/ha, Figure 3F), in agreement with a greater fertilizer input (121.8 vs. 87.2 kg P/ha) and slightly lower residual soil P (Figure 2). Noteworthily, residual soil nitrate at harvest was markedly higher in GS compared with CL (Figure 2), indicating improved soil fertility and a greater potential for nitrogen carryover effect. This can be explained by the fact that the impact of drainage water was minimal during the later stages of potato growth in GS, indicating limited or no excess water percolation beyond the root zone. Although residual N can be a potential loss pathway (Clément et al., 2020; Bohman et al., 2021), residual nitrate–nitrogen up to certain levels may remain relatively stable within the soil profile. Under conditions unfavorable to leaching, such as the clayey red soils and dry summer conditions observed here, this may result in minimal leaching risk. Therefore, a rotational crop planted after potatoes and before the onset of the rainy season could be used to recover residual soil nitrogen (Bohman et al., 2021; Wu et al., 2022). Lower N application rates might achieve similar yields with less residual NO3–N at harvest, but this requires further study. These results confirm that the GS strategy conserves water and nutrients and enhances their efficiency, supporting sustainable potato production in Mediterranean conditions.

Figure 3
Eight bar graphs compare agricultural parameters between two conditions, CL and GS. A: Tuber yield in tons per hectare. B: Fertilizers in kilograms per hectare, divided into nitrogen (N) and phosphorus (P). C: Kilograms of tubers per kilogram of nitrogen supply. D: Kilograms of tubers per kilogram of phosphorus supply. E: Nitrogen potential losses in kilograms per hectare. F: Phosphorus potential losses in kilograms per hectare. G: Kilograms of tubers per kilogram of nitrogen loss. H: Kilograms of tubers per kilogram of phosphorus loss. Bars show different values indicating comparative performance.

Figure 3. (A) Fresh tuber yield (kg/ha) for potato. (B) Nitrogen (N) and phosphorous (P) fertilizer doses (kg/ha). (C) Agronomic efficiency of N and (D) agronomic efficiency of P. (E) Potential losses (kg/ha) of N. (F) Potential losses (kg/ha) of P. (G) Environmental effectiveness of N. (H) Environmental effectiveness of P, under local farmers’ practices (CL) or based on a sensorial system named gaiasense (GS). N, P agronomic efficiency is defined as fresh tuber yield (t/ha) per mass of N or P applied (kg/ha). N, P environmental effectiveness is defined as yield per mass of N or P potential losses (t/ha). Nlosses or Plosses is the mass of nutrient (N, P) potential loss (kg/ha). Vertical columns in figure parts are means of four replicates ± standards errors.

A reduction exceeding 50% in potential nitrogen and phosphorus losses was achieved under the GS (sensor-based) treatment compared with the conventional CL system, alongside a 37% increase in water productivity as mentioned elsewhere. Furthermore, the dataset reveals a direct correlation between increased drainage volumes and higher N and P losses under CL, supporting findings by Giletto et al. (2022), who reported a strong link between drainage and nutrient leaching. This suggests that substantial N and P losses occurred beyond the root zone under conventional management, raising environmental concerns. Similarly, Economou et al. (2023) reported that nutrient runoff, particularly N, P, and SO3, significantly contributes to freshwater eutrophication in spring potato systems in Cyprus (2.19 kg P eq./t). Interestingly, while agronomic efficiency (kg tubers per kg N supplied) was similar across treatments, the yield to loss ratio (kg tubers per kg N lost) more than doubled under GS (Figure 3G). A similar pattern occurred for P, where the yield to P loss ratio far exceeded yield to P supply ratio (Figures 3D, H), reflecting the environmental rather than agronomic perspective. However, achieving a better synchrony between the two is fundamental in modern intensive agriculture and it demonstrates that sustainability does not necessarily come at the expense of productivity (Souza et al., 2021). In this direction, the IoT sensor-based tools can save water and minimize nutrient leaching, without compromising productivity in potato cropping systems, aligning technological improvements in the fields of nutrients use, irrigation, and sustainability (Berbel and Martínez-Dalmau, 2021). Indeed, compared with conventional farming (CL), the GS (gaiasense™) system reduced variable and total costs by 25% and 19%, respectively, with notable decreases in fertilizer (37%), pesticide (51%), irrigation (32%), and labor (10%) costs. Gross profit and irrigation water productivity increased by 24% and 22%, respectively, whereas no pesticide residues exceeded maximum limits (data not shown). These benefits are especially relevant to small-scale farming and to climate hotspot regions facing water scarcity and degraded aquifers, such as the Eastern Mediterranean, empowering environmental sustainability in potato farming systems, suggesting while also highlighting that socioeconomic and environmental sustainability are not mutually exclusive (Stylianou et al., 2020). Nevertheless, this study was limited to a single growing season in Kokkinochoria, Cyprus, under specific soil and climate conditions, which may affect the generalizability of results to other regions or years. Moreover, while the system was calibrated for potatoes, its application to other crops would require crop-specific and site-specific adjustments. Multiyear, multicrop trials across diverse agroecological zones may be needed to confirm the broader applicability of these findings.

Conclusion

This study highlights the critical role of IoT-based sensor ferti-irrigation strategies in enhancing environmental sustainability and resources (water/nutrient) efficiency in intensive potato cropping systems in Cyprus. By integrating IoT-connected microclimatic monitoring into irrigation management, the GS system achieved environmental gains without sacrificing tuber yield or quality. Further research is ongoing to determine whether reduced nitrogen inputs can sustain these outcomes in high-yield potato crops, particularly when implementing the system on a larger scale and across diverse growing conditions. Overall, this approach exemplifies how smart technologies can bridge the gap between agricultural productivity and environmental protection, advancing the objectives of the EU Green Deal contributing to climate-resilient farming systems.

Data availability statement

The raw data supporting the conclusions of this article will be made available by the authors, without undue reservation.

Author contributions

DN: Conceptualization, Data curation, Formal analysis, Funding acquisition, Investigation, Methodology, Project administration, Resources, Software, Supervision, Validation, Visualization, Writing – original draft, Writing – review & editing. AS: Data curation, Methodology, Writing – original draft. GA: Data curation, Writing – original draft. MO: Writing – review & editing. DS: Data curation, Writing – original draft. KK: Data curation, Writing – original draft. AC: Data curation, Writing – original draft. LV: Data curation, Project administration, Writing – original draft. PD: Writing – review & editing.

Funding

The author(s) declare financial support was received for the research and/or publication of this article. This work was supported by the Agricultural Research Institute of Cyprus and received funding from the European Union Horizon Europe Innovation program under the Grant Agreement No. 101081858, titled “ECONUTRI: Innovative concepts and technologies for Ecologically sustainable Nutrient management in agriculture aiming to prevent, mitigate and eliminate pollution in soils, water and air”.

Conflict of interest

The authors declare that the research was conducted in the absence of any commercial or financial relationships that could be construed as a potential conflict of interest.

Generative AI statement

The author(s) declare that no Generative AI was used in the creation of this manuscript.

Any alternative text (alt text) provided alongside figures in this article has been generated by Frontiers with the support of artificial intelligence and reasonable efforts have been made to ensure accuracy, including review by the authors wherever possible. If you identify any issues, please contact us.

Publisher’s note

All claims expressed in this article are solely those of the authors and do not necessarily represent those of their affiliated organizations, or those of the publisher, the editors and the reviewers. Any product that may be evaluated in this article, or claim that may be made by its manufacturer, is not guaranteed or endorsed by the publisher.

Supplementary material

The Supplementary Material for this article can be found online at: https://www.frontiersin.org/articles/10.3389/fagro.2025.1659617/full#supplementary-material

References

Adamides G., Kalatzis N., Stylianou A., Marianos N., Chatzipapadopoulos F., Giannakopoulou M., et al. (2020). Smart farming techniques for climate change adaptation in Cyprus. Atmosphere 11, 557. doi: 10.3390/atmos11060557

Crossref Full Text | Google Scholar

Berbel J. and Martínez-Dalmau J. (2021). A simple agro-economic model for optimal farm nitrogen application under yield uncertainty. Agronomy 11, 1107. doi: 10.3390/agronomy11061107

Crossref Full Text | Google Scholar

Bohman B. J., Rosen C. J., and Mulla D. J. (2021). Relating nitrogen use efficiency to nitrogen nutrition index for evaluation of agronomic and environmental outcomes in potato. Field Crops Res. 262, 108041. doi: 10.1016/j.fcr.2020.108041

Crossref Full Text | Google Scholar

Christou A., Dalias P., and Neocleous D. (2017). Spatial and temporal variations in evapotranspiration and net water requirements of typical Mediterranean crops on the island of Cyprus. J. Agric. Sci. 155, 1311–1323. doi: 10.1017/S0021859617000405

Crossref Full Text | Google Scholar

Clément C. C., Cambouris A. N., Ziadi N., Zebarth B. J., and Karam A. (2020). Growing season nitrate leaching as affected by nitrogen management in irrigated potato production. Agron. J. 112, 3773–3787. doi: 10.1002/agj2.20387

Crossref Full Text | Google Scholar

Dalias P., Christou A., and Neocleous D. (2018). Adjustment of irrigation schedules as a strategy to mitigate climate change impacts on agriculture in Cyprus. Agriculture 9, 4. doi: 10.3390/agriculture9010004

Crossref Full Text | Google Scholar

Economou F., Papamichael I., Voukkali I., Loizia P., Klontza E., Lekkas D. F., et al. (2023). Life cycle assessment of potato production in insular communities under subtropical climatic conditions. Case Stud. Chem. Environ. Eng. 8, 100419. doi: 10.1016/j.cscee.2023.100419

Crossref Full Text | Google Scholar

Estefan G., Sommer R., and Ryan J. (2013). Methods of Soil, Plant, and Water Analysis: A manual for the West Asia and North Africa region. 3rd (Beirut, Lebanon: International Center for Agricultural Research in the Dry Areas (ICARDA).

Google Scholar

EUMED9 (2024). Joint Declaration of the Ministers of Agriculture of the MED9 (Threat of Drought to the Primary Sector in Mediterranean Member States). Available online at: https://www.gov.cy/en/agriculture-rural-development-and-environment/joint-declaration-of-the-ministers-of-agriculture-of-the-med9/ (Accessed July 07, 2025).

Google Scholar

EUNEP (2015). “EU Nitrogen Expert Panel,” in Nitrogen Use Efficiency (NUE) - an indicator for the utilization of nitrogen in agriculture and food systems (Wageningen University, Alterra, The Netherlands).

Google Scholar

Gianquinto G., Muñoz P., Pardossi A., Ramazzotti S., and Savvas D. (2013). “Soil fertility and plant nutrition, in: Good Agricultural Practices for greenhouse vegetable crops Principles for Mediterranean climate areas,” in Good Agricultural Practices for greenhouse vegetable crops Principles for Mediterranean climate areas. Ed. FAO (Food and Agriculture Organization of the United Nations, Rome, Italy).

Google Scholar

Giletto C. M., Calvo N. R., and Echeverría H. (2019). Predicting nitrogen losses in potato crop with soil nitrogen and plant tests. Agron. J. 111, 2493–2503. doi: 10.2134/agronj2019.02.0098

Crossref Full Text | Google Scholar

Giletto C. M., Carciochi W. D., Mateos Inchauspe F., Alejandro A., Delfino J., Silva S. E., et al. (2022). Nitrogen agronomic efficiency and estimated losses in potato with enhanced-efficiency fertilizers. Arch. Agron. Soil Sci. 69, 948–961. doi: 10.1080/03650340.2022.2047943

Crossref Full Text | Google Scholar

Huang Y., Qin R., Wei H., Chai N., Yang Y., Li Y., et al. (2024). ). Plastic film mulching application improves potato yields, reduces ammonia emissions, but boosts the greenhouse gas emissions in China. J. Environ. Manage. 353, 120241. doi: 10.1016/j.jenvman.2024.120241

PubMed Abstract | Crossref Full Text | Google Scholar

Huber R., Späti K., and Finger R. (2023). A behavioural agent-based modelling approach for the ex-ante assessment of policies supporting precision agriculture. Ecol. Econ. 212, 107936. doi: 10.1016/j.ecolecon.2023.107936

Crossref Full Text | Google Scholar

Incrocci L., Thompson R. B., Fernandez-Fernandez M. D., De Pascale S., Pardossi A., Stanghellini C., et al. (2020). Irrigation management of European greenhouse vegetable crops. Agric. Water Manage. 242, 106393. doi: 10.1016/j.agwat.2020.106393

Crossref Full Text | Google Scholar

Jones C. R., Michaels T. E., Schmitz Carley C., Rosen C. J., and Shannon L. M. (2021). Nitrogen uptake and utilization in advanced fresh-market red potato breeding lines. Crop Sci. 61, 878–895. doi: 10.1002/csc2.20297

Crossref Full Text | Google Scholar

Kalatzis N., Marianos N., and Chatzipapadopoulos F. (2019). “IoT and data interoperability in agriculture: A case study on the gaiasense TM smart farming solution,” in Global IoT Summit (GIoTS). (Aarhus, Denmark: IEEE). doi: 10.1109/GIOTS.2019.8766423.2

Crossref Full Text | Google Scholar

Kasimati A., Papadopoulos G., Manstretta V., Giannakopoulou M., Adamides G., Neocleous D., et al. (2024). Case Studies on Sustainability-Oriented Innovations and Smart Farming Technologies in the Wine Industry: A Comparative Analysis of Pilots in Cyprus and Italy. Agronomy 14, 736. doi: 10.3390/agronomy14040736

Crossref Full Text | Google Scholar

National Open Data Portal Cyprus (2024). Water pollution by nitrates from agricultural sources (Nitrate Vulnerable Zones). Available online at: https://data.gov.cy/en/dataset/water-pollution-nitrates-agricultural-sources (Accessed July 07, 2025).

Google Scholar

Nikolaou G., Neocleous D., Christou A., Polycarpou P., Kitta E., and Katsoulas N. (2021). Energy and Water Related Parameters in Tomato and Cucumber Greenhouse Crops in Semiarid Mediterranean Regions. A Review Part II: Irrigation Fertigation Hortic. 7, 548. doi: 10.3390/horticulturae7120548

Crossref Full Text | Google Scholar

Nitrates Directive (1991). Council directive 91/676/EEC concerning the protection of waters against pollution caused by nitrates from agricultural sources. Off. J. 375, 1–8.

Google Scholar

Papadopoulos I. (2000). “Fertigation: Present Situation and Future Prospects,” in Plant Nutrient Management under Pressurized Irrigation Systems in Mediterranean Region. Ed. Ryan J. (Beirut, Libanon: ICARDA), 3–49, ISBN: 82-9127-101-2.

Google Scholar

Raguet P., Cade-Menun B., Mollier A., Abdi D., Ziadi N., Karam A., et al. (2023). Mineralization and speciation of organic phosphorus in a sandy soil continuously cropped and phosphorus-fertilized for 28 years. Soil Biol. Biochem. 178, 108938. doi: 10.1016/j.soilbio.2022.108938

Crossref Full Text | Google Scholar

Sha S., Zhao X., Li Y., Li C., Zhu L., Wang Y., et al. (2022). Nutrient expert system optimizes fertilizer management to improve potato productivity and tuber quality. J. Sci. Food Agric. 102, 1233–1244. doi: 10.1002/jsfa.11461

PubMed Abstract | Crossref Full Text | Google Scholar

Sofroniou A. and Bishop S. (2014). Water scarcity in Cyprus: a review and call for integrated policy. Water 6, 2898–2928. doi: 10.3390/w6102898

Crossref Full Text | Google Scholar

Souza E. F., Rosen C. J., and Venterea R. T. (2021). Co-application of DMPSA and NBPT with urea mitigates both nitrous oxide emissions and nitrate leaching during irrigated potato production. Environ. Pollut. 284, 117124. doi: 10.1016/j.envpol.2021.117124

PubMed Abstract | Crossref Full Text | Google Scholar

Stanford G. and Smith S. J. (1972). Nitrogen mineralization potential of soil. Soil Sci. Soc Am. J. 36, 465–472. doi: 10.2136/sssaj1972.03615995003600030029x

Crossref Full Text | Google Scholar

Steyn J. M., Franke A. C., van der Waals J. E., and Haverkort A. J. (2016). Resource use efficiencies as indicators of ecological sustainability in potato production: A South African case study. Field Crops Res. 199, 136–149. doi: 10.1016/j.fcr.2016.09.020

Crossref Full Text | Google Scholar

Stylianou A., Sdrali D., and Apostolopoulos C. D. (2020). Integrated Sustainability Assessment of Divergent Mediterranean Farming Systems: Cyprus as a Case Study. Sustainability 12, 6105. doi: 10.3390/su12156105

Crossref Full Text | Google Scholar

Thompson R. B., Martínez-Gaitan C., Gallardo M., Giménez C., and Fernández M. D. (2007). Identification of irrigation and N management practices that contribute to nitrate leaching loss from an intensive vegetable production system by use of a comprehensive survey. Agric. Water Manage. 89, 261–274. doi: 10.1016/j.agwat.2007.01.013

Crossref Full Text | Google Scholar

Venterea R. T., Hyatt C. R., and Rosen C. J. (2011). Fertilizer management effects on nitrate leaching and indirect nitrous oxide emissions in irrigated potato production. J. Environ. Qual 40, 1103–1112. doi: 10.2134/jeq2010.0540

PubMed Abstract | Crossref Full Text | Google Scholar

Wang H., Cheng M., Zhang S., Fan J., Feng H., Zhang F., et al. (2021). Optimization of irrigation amount and fertilization rate of drip-fertigated potato based on Analytic Hierarchy Process and Fuzzy Comprehensive Evaluation methods. Agric. Water Manage. 256, 107130. doi: 10.1016/j.agwat.2021.107130

Crossref Full Text | Google Scholar

Water Framework Directive (2000). Directive 2000/60/EC of the European Parliament establishing a framework for Community action in the field of water policy. Off. J. 327, 1–73. Available online at: http://data.europa.eu/eli/dir/2000/60/oj (Accessed July 07, 2025).

Google Scholar

Wu L., Li L., Ma Z., and Fan M. (2022). Improving potato yield, water productivity and nitrogen use efficiency by managing irrigation based on potato root distribution. Int. J. Plant Prod 16, 547–555. doi: 10.1007/s42106-022-00205-4

Crossref Full Text | Google Scholar

Zebarth B. J. and Rosen C. J. (2007). Research perspective on nitrogen BMP development for potato. Amer J. Potato Res. 84, 3–18. doi: 10.1007/BF02986294

Crossref Full Text | Google Scholar

Keywords: sensors, environmental losses, irrigation, fertilization, sustainability, potato crops

Citation: Neocleous D, Stylianou A, Adamides G, Omirou M, Sparaggis D, Kaikiti K, Christou A, Vassiliou L and Dalias P (2025) Applying IoT sensor-based practices to enhance water/nutrient sustainability in potato production. Front. Agron. 7:1659617. doi: 10.3389/fagro.2025.1659617

Received: 07 July 2025; Accepted: 22 September 2025;
Published: 10 October 2025.

Edited by:

Shicheng Yan, Lanzhou University, China

Reviewed by:

Abdelraouf M Ali, National Authority for Remote Sensing and Space Sciences, Egypt
Stephan Adriansyah Hulukati, University of Gorontalo Ichsan, Indonesia

Copyright © 2025 Neocleous, Stylianou, Adamides, Omirou, Sparaggis, Kaikiti, Christou, Vassiliou and Dalias. This is an open-access article distributed under the terms of the Creative Commons Attribution License (CC BY). The use, distribution or reproduction in other forums is permitted, provided the original author(s) and the copyright owner(s) are credited and that the original publication in this journal is cited, in accordance with accepted academic practice. No use, distribution or reproduction is permitted which does not comply with these terms.

*Correspondence: Damianos Neocleous, ZG5lb2NsZW91c0BhcmkubW9hLmdvdi5jeQ==

Disclaimer: All claims expressed in this article are solely those of the authors and do not necessarily represent those of their affiliated organizations, or those of the publisher, the editors and the reviewers. Any product that may be evaluated in this article or claim that may be made by its manufacturer is not guaranteed or endorsed by the publisher.