ORIGINAL RESEARCH article
Front. Agron.
Sec. Agroecological Cropping Systems
Comprehensive Evaluation of the Agronomic Traits and Forage Production Performance of Elymus nutans in the Qinghai-Tibet Plateau Zone
Provisionally accepted- Qinghai University School of Animal Husbandry and Veterinary Medicine, Xining, China
Select one of your emails
You have multiple emails registered with Frontiers:
Notify me on publication
Please enter your email address:
If you already have an account, please login
You don't have a Frontiers account ? You can register here
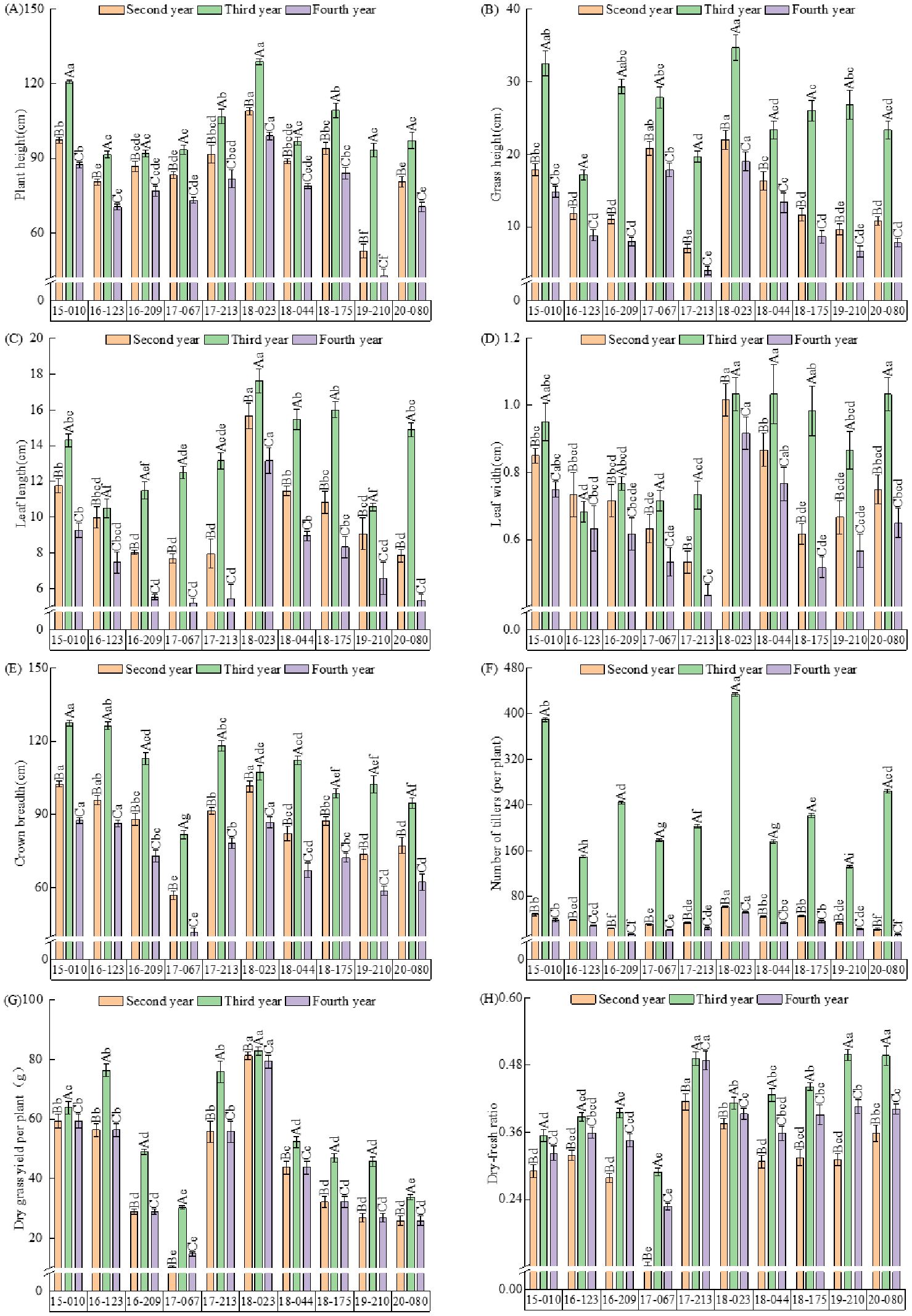
Grass species are crucial for grassland ecological restoration; however, native grass species suitable for ecological restoration are scarce on the Qinghai-Tibet Plateau. Therefore, the collection and screening of local native grass species are of great significance for their ecological adaptability in alternative habitats and introduction into new habitats. Thus, we evaluated the ecological adaptability and yield dynamics of 10 wild Elymus nutans germplasms. It analyzed the agronomic traits and forage yield of different Elymus nutans varieties and uses a piecewise structural equation model to explore how years, varieties, and their interactions affect forage yield by influencing agronomic traits. The TOPSIS model was employed to comprehensively evaluate the tested materials to select high-quality Elymus nutans varieties suitable for planting in the Qinghai-Tibet Plateau zone, thereby providing better grass species varieties for the ecological restoration of degraded grasslands in this zone. The results showed that the agronomic traits and grass yield of the tested Elymus nutans resources were best in the third year, followed by the second year, and worst in the fourth year. During the field trials period, variety 18-023 had a relatively high plant height (99.00–128.83 cm), high grass yield of per plant (79.33– 82.83 g), high grass height (19.00–34.67 cm), high number of tillers (52.51–433.32 per plant), large leaf size with leaf length (13.17–17.61 cm) and leaf width (0.91–1.03 cm). Variety 15-010 had a large crown breadth (87.51–127.53 cm), and variety 17-213 had a high dry-fresh ratio (0.41–0.49). The piecewise structural equation model analysis indicated that plant height, number of tillers, and dry-fresh ratio are the key factors affecting the forage yield of Elymus nutans. The TOPSIS model comprehensive evaluation showed: 18-023 and 15-010 had the best comprehensive production performance and are ideal materials for promotion and planting in the Qinghai-Tibet Plateau zone. They are also parental materials in line with the concept of breeding high-yielding and stable new varieties. Therefore, it is necessary to collect and screen China's unique plant germplasm resources, aiming to supply high-quality materials for the ecological restoration of degraded grasslands in the Qinghai-Tibet Plateau zone.
Keywords: Elymus nutans, Grass species resources, Forage, Model, Comprehensive evaluation
Received: 04 Jul 2025; Accepted: 14 Oct 2025.
Copyright: © 2025 Wang, Wenhui, Liu, Li, Chen and Liang. This is an open-access article distributed under the terms of the Creative Commons Attribution License (CC BY). The use, distribution or reproduction in other forums is permitted, provided the original author(s) or licensor are credited and that the original publication in this journal is cited, in accordance with accepted academic practice. No use, distribution or reproduction is permitted which does not comply with these terms.
* Correspondence: Guoling Liang, qhliangguoling@163.com
Disclaimer: All claims expressed in this article are solely those of the authors and do not necessarily represent those of their affiliated organizations, or those of the publisher, the editors and the reviewers. Any product that may be evaluated in this article or claim that may be made by its manufacturer is not guaranteed or endorsed by the publisher.
