SYSTEMATIC REVIEW article
Front. Agron.
Sec. Pest Management
Factors affecting the control of Dactylopius, an invasive pest of cactus crop: Artificial Intelligence-based meta-analysis
Provisionally accepted- 1Institute of Agricultural Research for Development, Yaoundé, Cameroon
- 2Centre de Recherche et d'Accompagnement des Producteurs Agropastoraux du Cameroun, Yaoundé, Cameroon
- 3Universite Mohammed V de Rabat Ecole Nationale Superieure d'Informatique et d'Analyse des Systemes, Rabat, Morocco
Select one of your emails
You have multiple emails registered with Frontiers:
Notify me on publication
Please enter your email address:
If you already have an account, please login
You don't have a Frontiers account ? You can register here
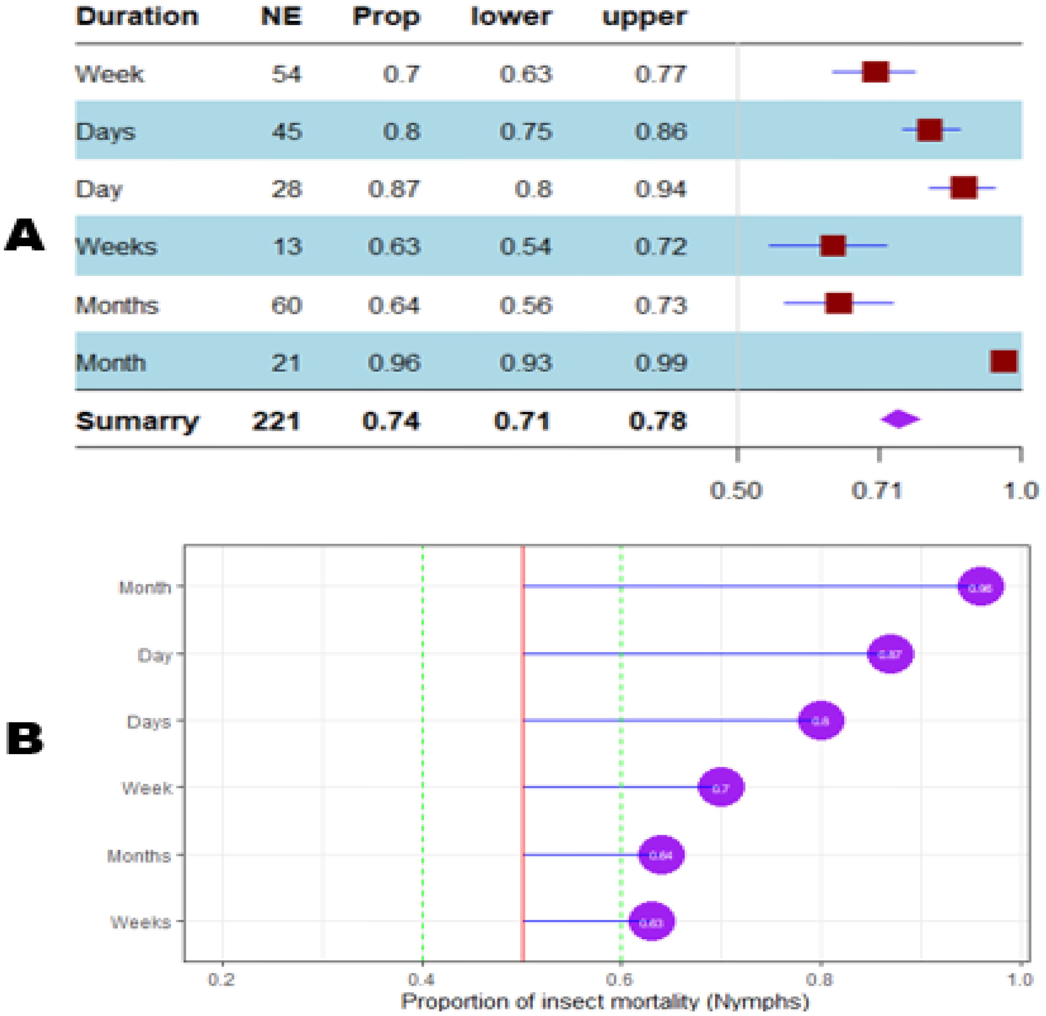
The cochineal scale insect scientifically known as Dactylopius opuntia was first introduced as a biological control methods in regions where cactus was considered as a weed an invasive weedcrop. Today, D. opuntiae insects is seen asare one of the most important limitations tofor the production of edible cactus production. In the present study, a meta-analysis was performed to assessstudy the effectiveness of various control methods against D. opuntiae and key factors the associated key factors. The Artificial Intelligence (AI)-based tools were employedused to screen scientific production reporting the effectiveness of the fight against D. opuntiae, while. The robust variance estimation (RVE) and proportional meta-regressions were applied to deal with the abundance of effect sizes within a single study and perform subgroup meta-analysis respectively. The effect sizes were pooled to 4.19 ± 0.08, I2 = 99.99%, for the nymphs and to 3.99 ± 0.09 I2 = 99.99%, for the adult insects. The proportional meta-analysis pooled the proportion of nymph's mortality by 63%, I2 = 99.1%, and adult mortality by 74%, I2 = 98.6%. In subgroup analysis, a significant difference (p < 0.001) was observed among study locations (countries) and trial durations (times), suggesting that these factors can influence the effectiveness of the fight against Dactylopius pest. (P < 0.001). Importantly, non-chemical control means yielded higher proportion of adult cochineal mortality compared to chemical method. FinallyAccordingly, the scientific information obtainedsorted in the present study provides valuable insight forto decision-makers towards effective, and sustainable control of PAG E white cochineal pest. Therefore, considerationing ofthe environmental influence of the environment (location) and the duration of treatments in this control is recommended.
Keywords: Opuntia spp, Dactylopius opuntiae, Pest, Control, artificial intelligence, Meta-regression
Received: 11 Jul 2025; Accepted: 05 Nov 2025.
Copyright: © 2025 MBO NKOULOU and Elhassouny. This is an open-access article distributed under the terms of the Creative Commons Attribution License (CC BY). The use, distribution or reproduction in other forums is permitted, provided the original author(s) or licensor are credited and that the original publication in this journal is cited, in accordance with accepted academic practice. No use, distribution or reproduction is permitted which does not comply with these terms.
* Correspondence: Luther Fort MBO NKOULOU, joachimnkoulou7.jn@gmail.com
Disclaimer: All claims expressed in this article are solely those of the authors and do not necessarily represent those of their affiliated organizations, or those of the publisher, the editors and the reviewers. Any product that may be evaluated in this article or claim that may be made by its manufacturer is not guaranteed or endorsed by the publisher.
