ORIGINAL RESEARCH article
Front. Agron.
Sec. Climate-Smart Agronomy
Almond yield prediction at orchard scale using satellite-derived biophysical traits and crop evapotranspiration combined with machine learning
Provisionally accepted- Institut de Recerca i Tecnologia Agroalimentaries Fruitcentre, Lleida, Spain
Select one of your emails
You have multiple emails registered with Frontiers:
Notify me on publication
Please enter your email address:
If you already have an account, please login
You don't have a Frontiers account ? You can register here
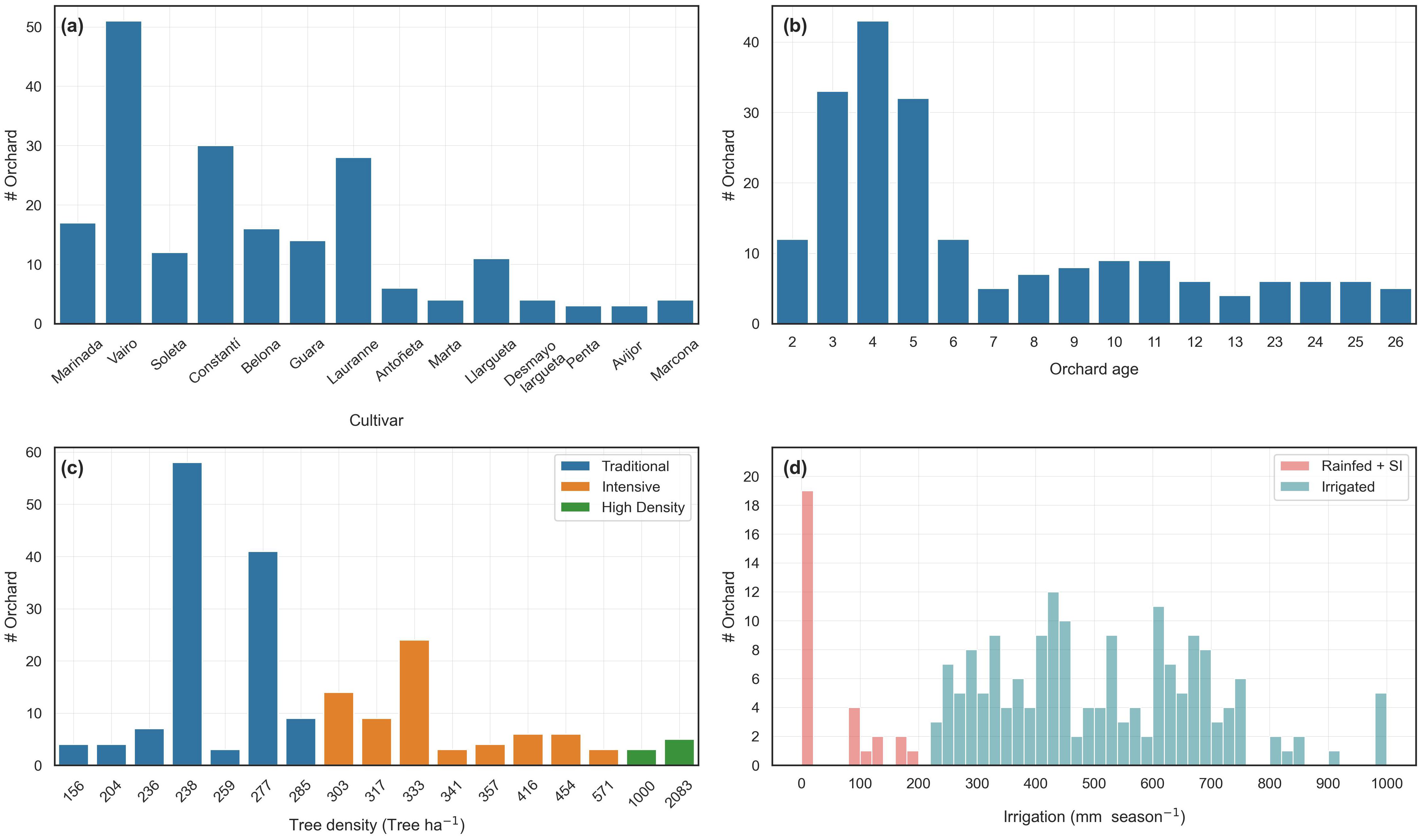
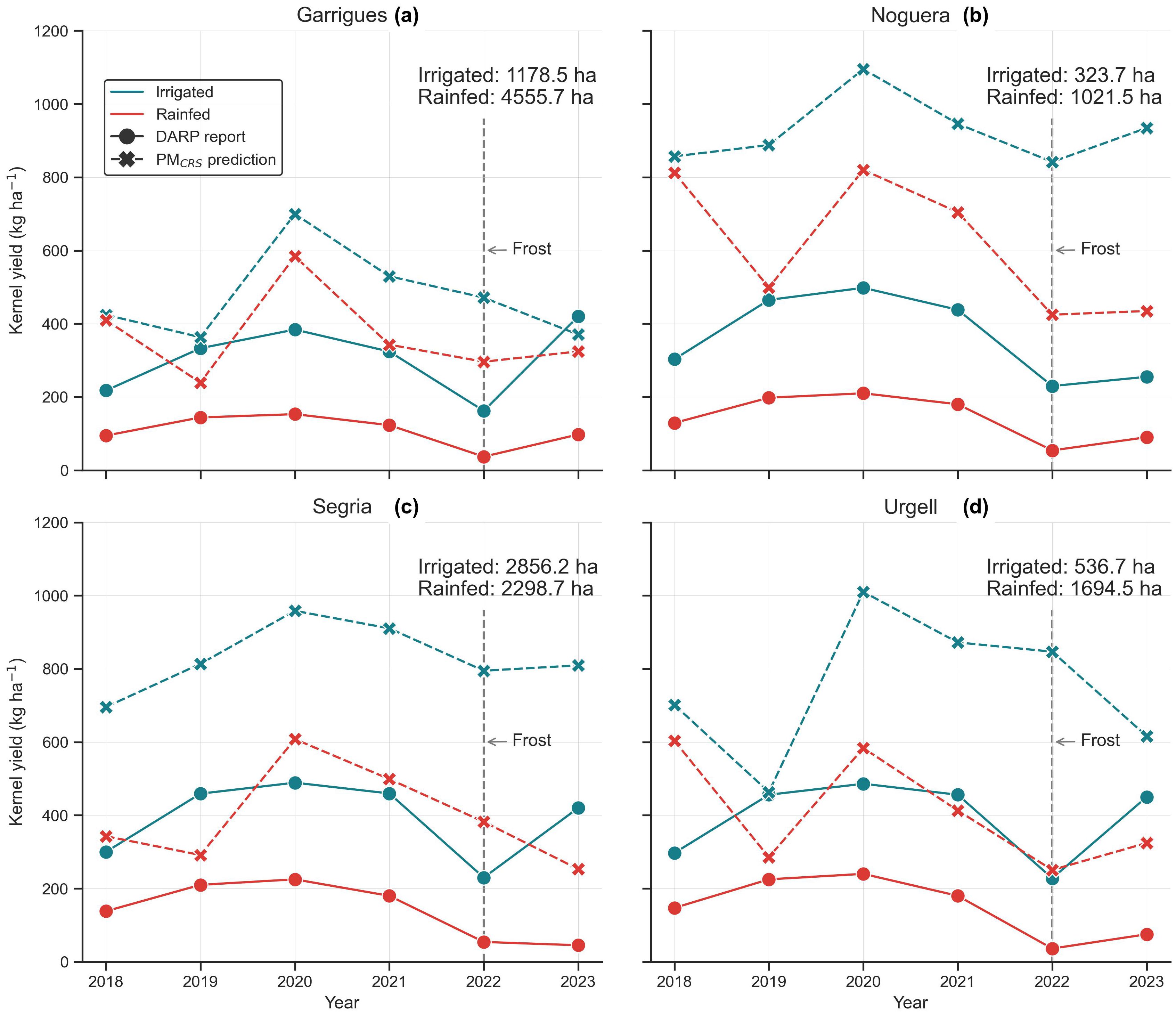
Accurate almond yield prediction is essential for supporting decision-making across multiple scales, from individual growers to international markets. This is crucial in the Mediterranean region, where diminishing water resources pose significant challenges to the almond industry. In this study, remote sensing-based evapotranspiration estimates were evaluated for predicting almond yield at the orchard scale using machine learning (ML) algorithms. The almond prediction models were calibrated and validated using data provided by commercial growers, along with meteorological reanalysis and remote sensing products. The remote sensing products included: i) spectral indices, ii) vegetation biophysical traits retrieved from Sentinel-2, and iii) actual evapotranspiration (ETa) estimated using the Priestley-Taylor two-source energy balance (TSEB-PT) model driven by Copernicus-based data. Almond yield data were collected from commercial orchards located in Spain's Ebro and Guadalquivir basins from 2017 to 2022. Data collected from growers enables the establishment of almond water production functions at the orchard scale, yielding results comparable to those reported in experimental study sites. Almond yield prediction models calibrated with remote sensing data demonstrated predictive accuracy comparable to that of models relying on ground-truth variables provided by farmers, such as irrigation, orchard age, tree density, and cultivar. Among them, the PMCRS model—which integrates the fraction of absorbed photosynthetically active radiation (fAPAR), the normalized difference moisture index (NDMI), canopy chlorophyll content (Cab), ETa, and meteorological data—achieved a RMSE of 399.1 kg ha⁻¹ in July. These findings highlight the potential of remote sensing-based models for accurately estimating almond yield. Furthermore, the PMCRS model proved scalable and effective when applied across four almond-producing regions in the Ebro basin. Future improvements may be realized through enhanced ETa retrieval using upcoming thermal satellite missions, integration of irrigation estimates, and the adoption of advanced machine learning and deep learning algorithms.
Keywords: TSEB, evapotranspiration, machine learning, remote sensing, Almond yield
Received: 16 Jul 2025; Accepted: 27 Oct 2025.
Copyright: © 2025 Quintanilla-Albornoz, Xavier, Pamies-Sans and Bellvert. This is an open-access article distributed under the terms of the Creative Commons Attribution License (CC BY). The use, distribution or reproduction in other forums is permitted, provided the original author(s) or licensor are credited and that the original publication in this journal is cited, in accordance with accepted academic practice. No use, distribution or reproduction is permitted which does not comply with these terms.
* Correspondence: Manuel Antonio Quintanilla-Albornoz, manlbornoz@gmail.com
Disclaimer: All claims expressed in this article are solely those of the authors and do not necessarily represent those of their affiliated organizations, or those of the publisher, the editors and the reviewers. Any product that may be evaluated in this article or claim that may be made by its manufacturer is not guaranteed or endorsed by the publisher.
