SYSTEMATIC REVIEW article
Front. Agron.
Sec. Climate-Smart Agronomy
This article is part of the Research TopicCropping Systems Adaptation in the Context of Global Change: Current Trends and Future DirectionsView all 5 articles
Climatic Stresses and Adaptation Options for South Asian Wheat: A Systematic Literature Review
Provisionally accepted- 1ICAR - Indian Agricultural Research Institute, New Delhi, India
- 2Borlaug Institute for South Asia, New Delhi, India
- 3ICAR - Central Research Institute for Dryland Agriculture, Hyderabad, India
Select one of your emails
You have multiple emails registered with Frontiers:
Notify me on publication
Please enter your email address:
If you already have an account, please login
You don't have a Frontiers account ? You can register here
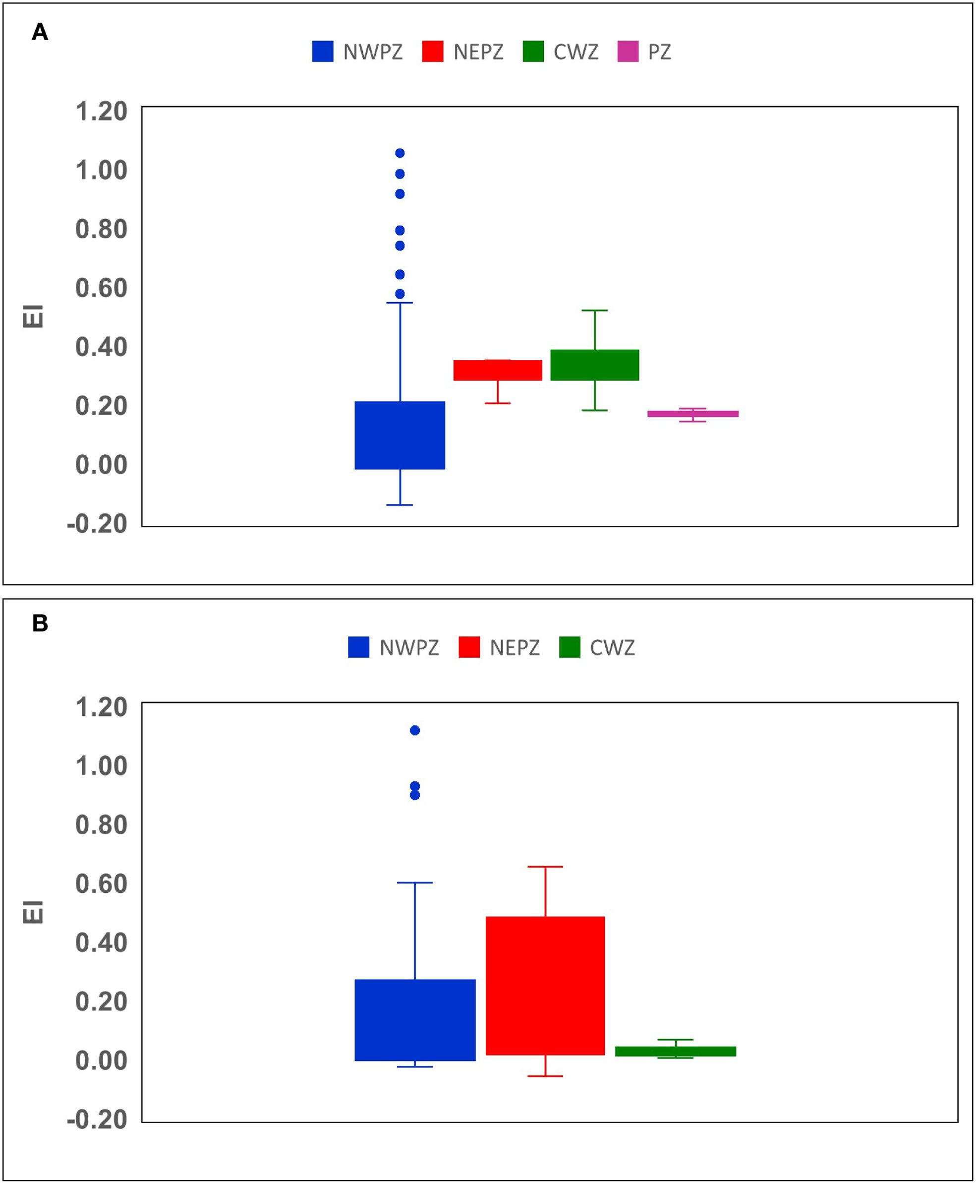
Wheat in South Asia faces multiple climatic stresses. This study systematically reviews the effects of these hazards on wheat and identifies adaptation options to reduce their impact on productivity. Literature searches were conducted using academic databases such as Scopus and Web of Science, along with South Asian sources. The Preferred Reporting Items for Systematic Reviews and Meta-analyses (PRISMA) statement was followed for quantitative synthesis of the literature. Bibliometric analysis of the studies revealed that, heat stress and water stress are major climatic hazard affecting wheat crop of this region. The terminal heat stress was also highlighted in recent publications. Meta-analysis of the extracted data (401 data points) from selected publications (57 papers) provided new evidence on the suitability of different adaptation options under heat and water stress condition in different agroecological regions of South Asia. It was observed that under heat stress condition, adoption of heat tolerant varieties, early sowing and conservation agriculture (CA) practices increased the yield by 13.2%, 16.3% and 8.6%, respectively. Under water stress, yield improvement was 24.7% with growing drought tolerant varieties, 37.8% with CA practices and 13.7% with application of additional irrigation. The overall effectiveness of growing heat and drought tolerant varieties across agroecological zones followed the order CWZ > NEPZ > PZ > NWPZ. The CWZ and NEPZ exhibited the greatest yield gains, driven by the strong positive response to heat-tolerant varieties. In case of early sowing by 7-10 days, the effectiveness will follow the order NEPZ > NWPZ > CWZ. Overall, these findings highlight the importance of considering regional climatic conditions when designing adaptation strategies to enhance wheat productivity under rising temperatures.
Keywords: Adaptation options, Climate Change, Heat stress, Systematic Literature Review, Water stress, wheat
Received: 21 Jul 2025; Accepted: 12 Nov 2025.
Copyright: © 2025 Chakrabarti, Bhatia, Deo, ., Jain, Kumari, Ramarao and Aggarwal. This is an open-access article distributed under the terms of the Creative Commons Attribution License (CC BY). The use, distribution or reproduction in other forums is permitted, provided the original author(s) or licensor are credited and that the original publication in this journal is cited, in accordance with accepted academic practice. No use, distribution or reproduction is permitted which does not comply with these terms.
* Correspondence: Arti Bhatia, artibhatia.iari@gmail.com
Disclaimer: All claims expressed in this article are solely those of the authors and do not necessarily represent those of their affiliated organizations, or those of the publisher, the editors and the reviewers. Any product that may be evaluated in this article or claim that may be made by its manufacturer is not guaranteed or endorsed by the publisher.
