- 1International Potato Center, Lilongwe, Malawi
- 2International Potato Center, Nairobi, Kenya
- 3International Potato Center, Lima, Peru
Crop diversification through integration of sweetpotato with legumes such as soybean presents a viable option for achieving food and nutrition security, income generation, soil fertility improvement, and adaptation to climate change in Malawi. However, knowledge regarding the choice of sweetpotato variety specifically adapted to intercropping systems remains a major obstacle to its optimization. The objective of the study was to evaluate three sweetpotato varieties under different intercropping systems. A field experiment was conducted using three Orange- fleshed Sweetpotato varieties (OFSP) with different vine length and growth habits (Kadyaubwerere -long vines, Royal choice-short vines, and Chipika - compact vines) under five spatial arrangements across three different agroecological zones during 2023–2024 cropping season. Five spatial arrangements including i) sole sweetpotato (Sole SP); ii) sole soybean (sole SB); iii) sweetpotato - soybean (1:1); iv) sweetpotato – soybean (2:1); and v) sweetpotato – soybean (2:2) were evaluated using a randomized complete block design in a split-plot arrangement with three replications. Agronomic data were subjected to analysis of variance using R programing. Land equivalent ratios (LERs) and absolute merit effect (AME) were also used to determine the productivity of the intercropping system. Variety architecture, locations, and intercropping systems significantly (P< 0.001) influenced the yields, and other traits of sweetpotato and soybean. Sweetpotato varieties responded differently under diverse spatial arrangements, indicating varietal effects on crop performance. LERs indicate significantly higher yield advantage in intercropping compared to sole cropping. LERs were greater than one (LER>1) in many of the intercrops, indicating higher productivity of intercropping over sole cropping. Across locations, Chipika and Royal choice sweetpotato varieties intercropped in ratios 1:1 and 2:1 gave the highest LERs as compared to Kadyaubwelere. The results suggest the combinations of Chipika-soybean in ratios 2:1 and 2:2 and Royal choice -soybean in ratios 1:1 and 2:2 for sweetpotato-intensification in Malawi due to the less competitiveness of the two varieties under the different intercropping arrangements.
1 Introduction
Sweetpotato is increasingly becoming one of the most widely grown crops in smallholder farms in Malawi, due to its adaptive capacity to climate change, contributions to food and nutrition security, animal feed, and income generation (Low et al., 2009). The crop is drought tolerant with short harvesting period of 3–5 months, hence provides an alternative crop in the face of unreliable and changing weather patterns (Motsa et al., 2015; Vithu et al., 2019). Its production, consumption, and commercialization have grown steady in recent years and has become more important food crop (Miyazaki et al., 2013). Malawi is the second world’s largest producer of sweetpotato and largest producer in Africa with an estimated annual production of 8.1 million metric tons, covering over 330,000 hectares (FAO, 2023). However, productivity remains low, with average yields estimated at 12 tons/ha, which is still below potential yields (van Vugt et al., 2018). Additionally, production remains at a subsistence level, with sweetpotato plot sizes averaging 0.2ha per household. Low productivity is due to limited access to quality planting material, lack of access to structured markets and limited value addition (Gatto et al., 2021).
Soybean is one of the most important food and cash crops for smallholder farmers in Malawi for income generation, food and nutrition security. It contributes to soil fertility improvement on marginal lands through nitrogen fixation, provision of good ground cover and plant residues. In recent years, the production of soybeans has steadily increased through expansion in the cultivated areas. Its areas of production has increased from 4.4 thousand hectares in 2012 to about 10.0 thousand hectares in 2020 (Omondi et al., 2023). Malawi made more than 17 million USD from soybean exports, ranking as the 38th global soybean exporter country (OECD, 2022). However, despite the potential and growth in production, soybean yields have remained low in Malawi. The national mean yield is around 880 kg/ha, while the attainable yield is between 2000 and 2500 kg/ha (Van Vugt et al., 2016).
In Malawi, intercropping of sweetpotato with legumes, such as soybean and pigeon pea has been identified as one of the innovative cropping systems that can sustainably improve land utilization, food and nutrition security, income generation, soil fertility improvement, variability of food supply, and insurance against crop failure in the face of changing climate and rapidly declining land holding size in Malawi (NAP, 2016; ASWAP, 2010).
Intercropping system involves simultaneous cultivation of two or more crops on a piece of land during a growing season as a way of diversifying agricultural production systems (Mousavi et al., 2011). Intercropping systems have been documented to offer numerous benefits including an increase in total crop yield, more efficient use of land and natural resources, soil health improvement, controlling weeds, insects and diseases (Paul et al., 2023; Katuromunda et al., 2021; Demie et al. (2022). These benefits can be attributed to more efficient use of land and natural resources such as light, water, and nutrients, reduction of pest and disease as companion crops serve as barriers for pest and disease transmission (Stomph et al., 2020; Zhang et al., 2017). It was also reported by Paul et al., 2023 hat intercropping is 17-30% more efficient in using available land than sole cropping Land equivalent ratio (LER) is usually used to measure the productivity of intercropping systems and it indicates the land area required for pure stands in order to produce the same yield as intercropping. An LER greater than one indicates that intercropping uses the land more efficiently than sole cropping to produce the expected outputs (Mead and Willey, 1980). The results of meta-analysis studies encompassing compilation of studies on the effects of cultivars in intercropping indicated that 85% of the LER data points of cereal/legume intercropping were greater than 1, while 15% of the specific cereal/legume cultivar combinations resulted in LER< 1 (Demie et al. (2022). Sweetpotato and legumes are compatible and have limited competition for nutrients, contribute to biological nitrogen fixation, and provide both protein and carbohydrates rich food to the smallholder farmers’ households (Abidin et al., 2015). The intercropping of sweetpotato and legumes on the same piece of land offers numerous benefits as compared to when the two crops are grown separately as sole cropping. The combination of the two crops leads to an increase in yields and total harvests for farmers as it makes better use of land, nutrients and water resources, and reduces damage by pests and diseases (Egbe and Idoko, 2009; Egbe and Moses, 2012). Legumes increase the availability of nitrogen in the soil during and after cultivation which stimulates tuber production in sweetpotato and saves on inputs of nitrogen fertilizer. Additionally, the intercropping of sweetpotato and legumes, especially Orange-fleshed sweetpotato (OFSP) leads to a more nutritional diet for farmers and offers a buffer against seasonal hunger, especially when one of the crops fails due to drought or disease outbreak. The growing awareness of these benefits is leading to increasing intercropping of sweetpotato- legumes in Malawi.
Despite the importance of intercropping in providing higher and stable yields, the knowledge regarding the choice of sweetpotato variety specifically adapted to intercropping systems and the mechanisms involved in genotype × cropping system interactions remain a major obstacle to its productivity (Demie et al. (2022). The selection of crop varieties for specific intercropping systems is very important for designing a productive intercropping system. Generally, intercropping systems use crop varieties selected under monocropping systems, which are not always suitable for intercropping conditions (Lithourgidis et al., 2011; Annicchiarico et al., 2019). According to Annicchiarico et al. (2019) and Baxevanos et al. (2017) the variety grown in pure stand as sole cropping may not perform the same way when it’s grown in a combination with other crops. This could be attributed to the natural selection pressures generated by inter-plant interactions in the mixtures (Annicchiarico et al., 2019). Several studies have also shown that the general performance of intercropping systems in terms of productivity and land use efficiency depends on the varietal combination in the intercrops (Hauggaard-Nielsen and Jensen, 2001). Different crop varieties may have different responses in terms of phenology and morphology when grown as sole crops compared to when grown in mixtures with other crops. The varietal choice within each species is likely to affect canopy traits, intra-plant competition for both above and below resources and performance of the mixtures. In most cases, farmers base their varietal choice on traits and performances of varieties evaluated in sole cropping due to limited information on the varietal effect on the performance of intercropping. This practice may be unproductive, since some of these traits and performances are not always predictive of those observed in intercrops, perhaps the reason for low productivity of some intercropping systems (Hauggaard-Nielsen and Jensen, 2001; Moutier et al., 2018, 2021; Annicchiarico et al., 2019). Accordingly, it is important to examine the suitability of different sweetpotato varieties with contrasting vine length and growth habits across multiple environments to improve the selection of variety for intercropping. We therefore conducted field experiments to evaluate the performance of three sweetpotato varieties with variability in terms of vine length and growth habits for the identification of high-yielding intercrop combinations across three contrasting environments.
2 Materials and methods
This section describes the materials and methods that were used to carry out the study. Specifically, it comprises the description of area where the study was conducted, nature of soils in the experimental plots, materials and experimental design that were used, field preparation and crop management, and the data collection methods and analysis.
2.1 Description of study sites
The field experiments were conducted in three contrasting agroecological zones in the central (Lilongwe and Salima) and southern (Zomba) regions of Malawi. The target sites, namely Chitedze research station in Lilongwe, Chitala research station in Salima and Makoka research station in Zomba represent three contrasting agro-ecological zones (AEZ) as defined in Malawi (Saka et al., 2006): Chitedze represents the mid-elevation upland plateau at 760–1300 masl, and AEZ 3 the highlands at > 1300 masl. Chitala represents lake shore, middle and upper Shire at an elevation of 200–760 m above sea level (masl), while Makoka represents representing low, mid, and high agroecological zones with elevation ranging from 600 to 1400 meters above sea level. At Chitedze research station, the trial was established at longitude 13°59′S, 33°38′E, altitude of 1153m.a.s.l. with an elevation ranging from 760- to 650 meters above sea level. At Chitala, the trial was established at 13°40’S and longitude of 34°15’E, at an elevation ranging from 525 to 650 meters above sea level. In Makoka, the trial was conducted at latitudes 15°50’ - 16°03’ South and longitudes 35°30’ - 35°47’ E at an elevation ranging from 700 to 1400 meters above sea level. In Malawi the mid altitude agroecology lies between 600–1415 meters above sea level (m.a.s.l) with mean annual rainfall of 600–1420 mm. During the cropping season, the effective rainfall exposure period and amount received differ significantly across locations as shown in Figure 1.
2.2 Land preparation, soil sampling and analysis and properties
The three sites were ploughed and ridged with a tractor. The ridges were 6m long, 0.75m wide at the base and 0.4m high. The plot size was 10.0m x 5.0m, and each plot contained ten ridges. At the beginning of the experiment, soil samples were collected from the three sites at the depth of 0-30cm using a soil auger. The soil samples were taken randomly in a W-shaped pattern from the whole experimental plots. From this mixture, sample weighting 1.0kg was taken and replicated three times for analysis. Before analysis, the sample soil was air-dried, sieved through a 2mm sieve mesh. The composite soil sample was analyzed for selected physicochemical properties mainly textural analysis (sand, silt, and clay), soil pH, total nitrogen (N), organic matter content (OM), organic carbon (OC), available phosphorus (P), cation exchangeable (CEE) capacity, and exchangeable potassium using the appropriate laboratory procedures.
2.2.1 Soil properties
Soil analysis results show that soils in all stations are acidic ranging from slightly to strongly acidic and soils were mostly low in N, P and K content (Table 1) as regards to the critical values and ratings for Malawi soils (Snapp et al., 1998). Soils pH below 5.2 are considered acidic and SOC, N, P and K levels below 0.8%, 0.1%, 13 mgkg-1 and 0.2 Cmol/Kg are considered low for proper growth of plants. At Chitedze soils were moderately acidic with pH level for top (5.65) and subsoil (6.05) above the critical value, P (3.28 ug/g) and K (0.01 Cmol/Kg) were also low except OC, N, and Ca levels were all above the critical levels with soils being classified sandy loamy. At Chitala, soils were also acidic, pH level for topsoil (5.04) below critical value and K was also low for both top and subsoil, 0.03 Cmol/kg below critical value while the rest of other measured properties were above critical values with the soil texture classified sand loamy (Table 1). Soils at Makoka were strongly acidic, with pH of 4.53 for topsoil and 4.44 for subsoil, topsoil OC (1.19%) was above the critical value and topsoil N (0.1%) was just within adequate range while rest of the properties were below critical values with soils classified as sandy loam.
2.3 Experimental set up
The experiment was laid out using randomized complete block design in a split-plot arrangement with three replications. The main plot consisted of three sweetpotato varieties with different architectures, namely Kadyaubwelere (long vines), Chipika (Compact vines) and Royal choice (medium vines). The subplot consisted of soybean variety (Tikolore) while the sub-sub plot consisted of spatial arrangement at four levels (sole, 1:1, 2:1 and 2:2), making a total of 13 treatments. Each plot consisted of ten ridges of 5.0m length with a spacing of 0.75cm between ridges. The sweetpotato and soybean varieties were planted in November 2023–2024 cropping season across three locations. Vine cuttings of about 30cm long with five nodes of each sweetpotato variety were used. Planting was done by inserting two-thirds length of each vine cutting into the soil inclined at about 45 degrees at a spacing of 0.3m in between plants; whilst two seeds of soybean treated with inoculant were planted at a spacing of 0.1m within plant in a double row arrangement within ridges. Soybean seeds were treated with inoculant at 50g per 10kg of seed to ensure maximum nitrogen fixation. All crops were kept weeds free by hand hoeing, when necessary. No supplemental irrigation was applied, and the experiments were carried out in rainfed conditions without any irrigation. Earthing up sweetpotato ridges with soil was done as deemed necessary. Soybeans were harvested upon attaining physiological maturity (103 days after planting) which was indicated by 85% browning of leaves and yellowing of pods. Sweetpotato harvesting was done 155 days after planting at the point when the vines had started turning yellow. This was done by hand digging with hoes to remove the tubers.
2.4 Data collection and analysis
Sweetpotato was harvested five months after planting whilst soybean was harvested four months after planting. Net plots were harvested for all the treatments. Data collected on sweetpotato were vine length, total biomass, light intersection, number of marketable roots; number of non-marketable roots; weight of marketable roots; weight of non-marketable roots. Roots were harvested and separated into marketable (> 100g) and non-marketable (< 100g) sizes. The number and total weights of marketable and non-marketable roots were recorded separately. Data including plant height, number of pods per five plants, 100 seed weight, and grain yield were collected on soybean. At 60 days after planting, light interception data were taken at leaf level between 09:00 and 11:00 under artificial photosynthetically active radiation using a Fluor Pen FP 100 portable fluorometer. The data collected were subjected to analysis of variance in GenStat Discovery Edition and means were separated by the least significant difference (LSD0.05). Partial Land Equivalent Ratio (PLER) for sweetpotato was used to determine effects of legume intercrops on sweetpotato productivity. The absolute mixture effect (AME) was used to calculate the difference between the observed root and grain yields in the mixture with the average root and grain yield in the monoculture (Elsalahy et al., 2021).
2.5 Land equivalent ratios
Partial land equivalent ratio (pLERs) and total land equivalent ratio (LERs) were used to measure the productivity of various crop combinations (Willey and Rao, 1980). LER is the amount of land needed to grow a sole crop to the amount of land required to intercrop crops at the same level of management to produce the same economic output. The result of dividing each component crop before summing up to get LER is called partial LER (Equation 1). The partial LER indicates which component crop of the intercropping is more competitive than the other in exploiting resources. The component crop with more competitive advantage will have a higher partial LER than the other. To calculate LER, the yields of intercropped crops are divided by the net yield of each component crop, and the results are added together (Deb and Dutta, 2022).
In this case, Y1 and Y2 are the yields of intercrops of sweetpotato and soybean; M1 and M2 are the yields of monocrops of sweetpotato and soybean. An LER > 1.0 indicates an advantage in intercropping, while an LER< 1.0 indicates a disadvantage of intercropping. A LER >1, intercropping is more efficient than monocropping. LER of 1.0 means that the land area needed to grow a component crop in an intercrop is the same as when growing a component crop in a pure stand.
3 Results
3.1 Combined analysis of sweetpotato parameters across three locations
The combined analysis of variance across locations showed that sweetpotato varieties, cropping systems, locations and their interactions significantly (P< 0.05) influenced sweetpotato vine length, total biomass, number of marketable roots/ha, number of non- marketable roots/ha, weight of marketable roots (kg/ha) and weight of non-marketable roots(t/ha) (Table 2). The results also reveal that the performance of sweetpotato varieties differed significantly (P< 0.001) for all the traits measured except at P< 0.05 in the amount of light intercepted. Overall, sweetpotato variety x location x cropping system interactions were highly significant in explaining the variations observed in all the parameters measured except for the quantity of light intercepted that showed non-significant difference (Table 2).

Table 2. Variation due to location, variety, spatial arrangement and their interactive effects on light interception (LI), number of marketable roots (NMR), number of non-marketable (NNMR), weight of marketable roots (WMR), weight of non-marketable roots (WNMR), Vine length (VL) and total biomass (TB).
3.2 Sweetpotato yields and its components
3.1.1 Light interception of sweetpotato-soybean intercrops across locations
The results of the light interception across the three locations indicate that light interception significantly differed between different crop combinations at Chitedze research station as compared to other locations, where no significant difference was observed among different cropping patterns (Table 7). At Chitedze, the highest light interception percentage was recorded on intercropping, and it varies from 78% for Chipika-soybean (2:1) to 68% in royal choice sole cropping. Comparison among intercrops, Chipika-soybean (2:1) intercepted the highest percentage of light (78%) and closely followed by Chipika- soybean (2:2) with 77% light interception while the lowest value of 68% was recorded on royal choice sole cropping. Generally, among the intercrops involving different varieties, Chipika - soybean (1:1), (2:1) and (2:2) intercepted more light of 78, 77 and 77% respectively than 74% in Kadyaubwelere 1:1 and 72% in Royal Choice (2:2). At Chitala, there was no significant difference in the percentage of light intercepted, however, Chipika-soybean (2:1), (1:1) and (2:2) gave the highest light interception of 78, 76 and 75% respectively. At Makoka, the percentages of light interceptions were generally high across all the cropping systems, however, the differences between intercrops were not significant (Table 3).

Table 3. Proportional light intercepted of sweetpotato-soybean intercrops across three locations during the 2023/2024 cropping season.
3.1.2 Sweetpotato vine length(cm) and total biomass(t/ha) across the three locations
The results of analysis of variance show that vine length and total plant biomass were significantly (P< 0.005) affected by cropping systems, sweetpotato varieties and locations (Table 4). Interestingly, across locations, vine length, and total biomass were significantly higher in intercrops than in sole cropping. Vine length varies from 226.70cm in Kadyaubwelere sole cropping in Chitala to 49.60cm for Chipika + Tikolore (2:1) in Makoka. In comparison among the intercrops, Kadyaubwelere-soybean (2:2) produced the highest vine length of 214.40cm in Chitala and 141.90cm in Chitedze while ratio (1:1) of the same combination recorded the highest vine length of 129.07cm in Makoka. The lowest vine length of 49.60cm was obtained from Chipika + Tikolore (2:1) at Makoka research station. Across locations, the performance of sweetpotato varieties under different cropping systems indicated that Kadyaubwelere intercrops in ratios (2:2) recorded the highest vine lengths of 214.40, 141.90 and 129.07cm in Chitala, Chitedze and Makoka respectively when compared to the intercrops of other two sweetpotato varieties. Similarly, total biomass ranged from 44.93 t/ha on Royal Choice sole cropping in Chitala to 6.98t/ha on Kadyaubwelere - soybean (1:1) in Makoka. Among the intercrops, royal choice intercrops (2:2) gave the highest total biomass of 40.98t/ha in Chitala and 22.81t/ha in Chitedze.

Table 4. Vine length (cm) and total biomass (t/ha) of sweet potato intercropped with soybean across locations during the 2023/2024 cropping season.
3.1.3 Total number of roots ha-1 of sweetpotato across the three locations
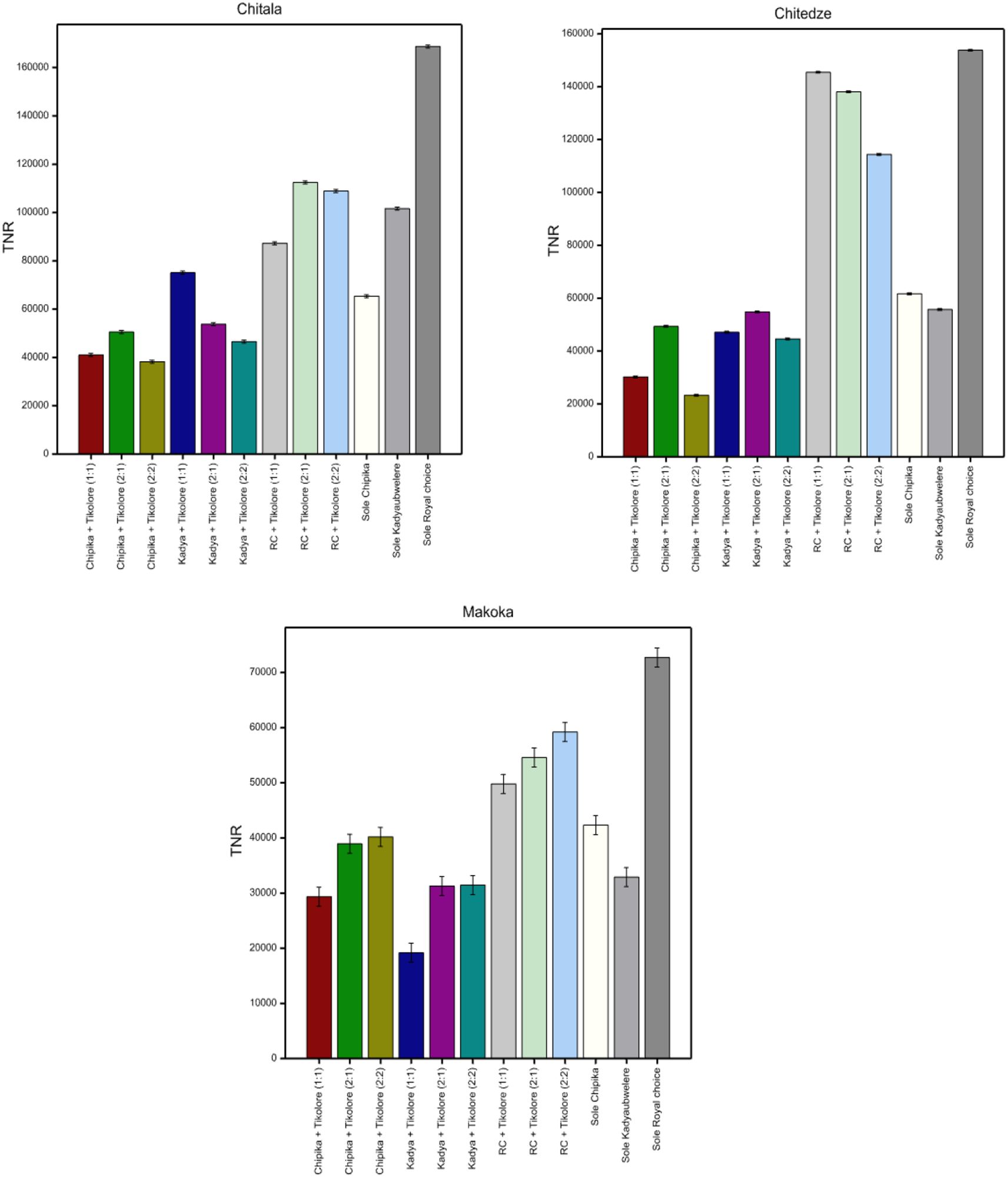
Figure 2 present the total number of roots of sweet potato across the three locations. The results show significant variations between cropping systems, varieties and locations. The number of roots was observed to be generally higher in Royal choice sole cropping than in the intercrops. It varies from 168741ha-1 for Royal Choice sole cropping in Chitala to 19200ha-1 for Kadyaubwelere - Tikolore (1:1) in Makoka. Generally, the results show that royal choice sole cropping consistently produced the highest total root number which were significantly higher than those produced by intercropping systems across the three locations. Among the varieties, the results further reveal that the total number of roots were significantly higher in royal choice (medium vine length) than in Kadyaubwelere (long vine length) and Chipika (Compact/short vine length) varieties in all the locations. Comparison among the intercrops, all the Royal Choice intercrops gave the highest total number of roots across the three locations. On the other hand, Kadyaubwelere - Tikolore (1:1) recorded the lowest total number of roots of 19200ha-1 at Makoka. However, the total number of roots was relatively higher in Kadyaubwelere intercrops than in Chipika in Chitedze and Chitala stations. Regardless of the intercropping systems, it was observed that the total number of roots were generally low at Makoka research station as compared to the other two research stations.

Figure 2. Showing total number of sweetpotato roots across three locations, Chitedze, Chitala and Makoka.
3.2 Weight of marketable and non-marketable roots (tha-1) of sweetpotato
The results of analysis of variance as shown in Table 5 indicate that the weights of marketable and non-marketable roots were significantly influenced by cropping systems, varieties, and locations. The root weights vary from 22.31 tha-1 for Royal Choice - soybean (1:1) in Chitala to 4.71tha-1 for Kadyaubwelere - soybean (2:2) in Chitedze. Generally, the results demonstrated that intercrops produced the highest root weight (22.31 tha-1) of marketable roots which was significantly greater than those obtained from the sole cropping across the three locations. Among the intercrops, Royal Choice - soybean (1:1) gave the highest root weight (22.31 tha-1) of marketable roots in Chitala research station and was significantly higher than the values obtained from the corresponding intercrops across the locations. The results obtained from the sole cropping show that the weights of marketable root were significantly higher in royal choice (medium vines) than in Kadyaubwelere (long vines) and Chipika (Compact vines) varieties in all the locations. Regardless of intercropping system, it was observed that the weights of marketable roots were generally low at Makoka research station as compared to the other two research stations. Similarly, highly significant differences (p<0.001) were observed in the weight of no-marketable roots between intercropping and sole cropping across the three locations. It varies from 2.82tha-1 for Kadyaubwelere sole cropping in Chitala to 0.12tha-1 for Kadyaubwelere + soybean (1:1 and 2:1) in Makoka. Comparison among the intercrops shows that Royal Choice-soybean (2:1) produced weights (1.75tha-1) of non-marketable roots that were significantly higher than other intercrops in Chitala. Regardless of cropping systems, Kadyaubwelere sole cropping recorded the highest weights of non-marketable roots of 2.82 tha-1 in Chitala research station and closely followed by Royal choice sole cropping with non-marketable root weight of 1.69tha-1. On a general note, intercropping significantly influenced the weight of non-marketable roots in all the three locations.

Table 5. Weight of marketable roots (t/ha) and weight of non-marketable roots (t/ha) of sweet potato intercropped with soybean across locations during the 2023/2024 cropping season.
3.3 Soybean yields and its components under the sweetpotato-soybean intercropping
3.3.1 Combined analysis of soyabean parameters across the three locations
The results of the combined analysis of variance across the three locations show that cropping systems, varieties, locations, and their interactions significantly (P< 0.05) affected all the soybean parameters evaluated. The response of soyabean under different cropping systems across locations differed significantly for plant height, number of pods/plants, 100 seed weight and grain yield. On the other hand, Location x Soy.Variety x Cropping systems interactions were only significant for number of pods/plants and grain yields (Tables 6).

Table 6. Variation due to location, variety, spatial arrangement and their interactive effects on plant height, number of pods/plants, 100 seed weight and grain weight.
3.3.2 Proportional radiation intercepted and plant height (cm) of soybean intercropped with sweet potato across
The results of the light interception across the three locations indicated that light interception significantly differed between different crop combinations at Chitala research station as compared to other locations where no significant difference was observed among different cropping systems. At Chitedze, the highest light interception percentage of 69% was recorded by soybean under Chipika + Tikolore (2:1) and closely followed by Royal choice + Tikolore (1:1), having 56% while Kadyaubwelere + Tikolore (2:1) recorded the least value of 39%. Generally, more lights were intercepted by soybean intercropped with Chipika and Royal choice sweetpotato varieties as compared to Kadyaubwelere variety. Similarly, plant heights differed significantly among different cropping systems. It varies from 67.53cm for Chipika + Tikolore (2:1) at Chitedze to 44.38cm cm on Kadyaubwelere + Tikolore (1:1) at Chitala. Among the intercrops, Chipika + Tikolore (2:1) recorded the highest plant height of 67.53cm and closely followed by Royal choice + Tikolore (2:1) having 65.67cm while the least value of 44.38cm cm was recorded on Kadyaubwelere + Tikolore (1:1). On a general note, soybean intercropped with Chipika, and royal choice were generally taller than those ones intercropped with Kadyaubwelere, the long vine sweetpotato variety. Regardless of cropping systems, soybean plants were generally taller at Chitedze than the other two locations.

Table 7. Proportional radiation intercepted and plant height (cm) of soybean intercropped with sweet potato across locations during the 2023/2024 growing season.
3.3.3 Number of pods per plant and 100 grain weight(g) of soybean under sweetpotato intercropping
Table 8 presents the results of the number of pods per plant and 100 grain weights of soybean under different sweetpotato - soybean intercropping arrangements. Number of pods per plant was influenced by cropping systems and varies across locations. The highest numbers of pods per plant of 72 was produced by Chipika - Tikolore (2:1) at Chitedze and closely followed by Chipika + Tikolore (1:1) having 55 pods in Makoka. Surprisingly, Chipika - Tikolore (1:1) recorded the lost value of 31pods at Chitedze. Interestingly, soybean produced more pods in Makoka and Chitedze research stations than in Chitala (Table 8). Similarly, 100 grain weights differed significantly among different combinations. It ranges from13.43 g in Chipika - Tikolore (2:1) at Makoka to 10.12g in Kadyaubwelere - Tikolore (2:2). Among the intercrops, Royal choice and Chipika intercrops produced heavier grains across the three locations.

Table 8. Number of pods/plant and 100 seed weight (g) of soybean intercropped with sweet potato across locations during the 2023/2024 growing season.
3.3.4 Soybean total grain yield(kgha-1) under sweetpotato intercropping
The results of soyabean grain weights as shown in Table 9 show that soybean grain yields were significantly affected by cropping systems, varieties and locations. The grain yield ranges from 2701.00Kg ha-1 for soybean sole cropping in Makoka to 475.60 Kg ha-1 on Chipika - Tikolore (2:1) at Chitala. Soybean sole cropping consistently recorded the highest grain yield values across the three locations. Among the intercrops, Royal choice + Tikolore (1:1) gave the highest grain yields of 1428.00 Kg ha-1 at Chitedze and closely followed by Chipika + Tikolore (1:1) having a grain yield of 1308.00Kg ha-1. Regardless of cropping system, soybean grain yields were higher in Chitedze than in Chitala and Makoka locations (Table 9). Generally, grain yields were higher when soybeans were intercropped with Royal choice and Chipika sweetpotato varieties.

Table 9. Grain weight (kg/ha) of soybean intercropped with sweet potato across locations during the 2023/2024 growing season.
3.3.5 Partial and total land equivalent ratio of sweetpotato – pigeon pea intercropping
The results of partial land equivalent ratio (pLER) and Land equivalent ratio (LER) of sweetpotato intercropped with soybean across three locations are shown in Table 10, indicate a significant yield advantage of intercropping over sole cropping except in Chitala and Chitedze research stations where Kadyaubwelere (long spreading vines) - soybean (2:1) and (2:2) recorded land equivalent ratios of less than 1 ((LER<1). In most cases, the LERs were greater than one (LER>1) indicating a significant yield advantage of intercropping over sole cropping. Comparison among intercrops indicates that the highest total LER of 1.83 was recorded on Chipika (compact vines) - soybean (2:1) in Chitedze, followed by Royal Choice (medium vines) + soybean (1:1) with 1.78 in the same location. Interestingly, at Makoka, land equivalent ratios (LERs) were generally greater than one (LER>1) for all the intercrops with Royal Choice + Tikolore (2:2) having the highest values of 1.53. It was also observed that LERs were higher when Royal choice (medium vine length) and Chipika (short vine length) sweetpotato varieties were intercropped with soybean in all the sites. Similarly, the pLER values indicated that in Chitedze, sweetpotato contributed the highest pLER value of 0.90 in Chipika - Tikolore (2:2) to the total productivity while the remaining 0.47came from soybeans. Similarly, at Chitala, sweetpotato contributed the pLER value of 1.03 in Royal Choice + Tikolore (1:1) to the total productivity while the remaining 0.41 were produced by soybeans. A similar trend was also observed at Chitedze. Across the three sites, the pLERs of sweetpotato were always higher than those of soybean, which reflects that sweetpotato as primary crop contributed more to the total productivity than soybean. In most cases, the pLER of sweetpotato exceeded 0.5 in all the intercrops indicating that sweetpotato yield under intercropping is more than half of the sole cropping. PLER values of above 0.4 were also recorded for soybean under Chipika + Tikolore (1:1) and Royal Choice + Tikolore (1:1) intercrop systems across the three locations indicating that soybean is also competitive for crop growth resources under that cropping arrangements.

Table 10. Partial (pLER) and total land equivalent ration (LER) of sweet potato intercropped with soybean across locations during the 2023/2024 cropping season.
3.3.6 Absolute mixture effect and LER for sweetpotato-soybean across three locations
The Absolute Mixture Effect (AME) in intercropping is a way to quantify how the combined yield of crops in an intercrop system differs from the average yield of the same crops grown separately in monocultures. It essentially measures the total benefit or detriment of growing crops together, compared to their individual yields.
The results of AME in Table 11 shows that sweetpotato – soybean intercrops are more productive than sole cropping as they recorded significant yield increase above the sole cropping except in Kadyaubwelere - Tikolore (2:2) that recorded negative AME (-0.084). Comparing the intercrops, Chipika - Tikolore (2:1) had the highest yield increase of 2.488tha−1, above the sole cropping with the LER of 1.490(Table 11). Also, the Royal choice -Tikolore (1:1) was on average 59% more productive than sole cropping and had a yield increase of 1.613tha− 1 than sole cropping (Figures 3–5). However, Kadyaubwelere - Tikolore (2:2) had a negative yield advantage of -0.044 tha−1 and contributed -0.084%) to the total productivity (Figures 3–5).
4 Discussion
In this study, the effects of sweetpotato varieties were assessed under different intercropping arrangements across three contrasting environments. Three varieties that vary in growth habits and vine length were used to provide variability in terms of the variety’s effect under intercropping. These traits and others were reported by Demie et al., 2022 as being potentially critical in determining species interactions in intercropping systems. Total land equivalent ratio (LER) and absolute mixture effect (AME) were used to evaluate the potential advantages of intercropping over sole cropping (Bedoussac and Justes, 2011; Yu et al., 2015). The results show that locations, intercropping systems, and variety architecture significantly influenced the yields, and other traits of sweetpotato and soybean, indicating high level of variabilities within the varieties, cropping systems and study sites that represent variation in rainfall, temperature, solar radiation, humidity. These results corroborate the findings of Pankou et al., (2022); Moutier et al. (2022); Naudin et al. (2010) who reported that growing seasons, treatments and their interactions significantly affected most of the characteristics that were measured when they evaluated wheat–pea intercropping systems for high productivity. Munda et al. (2019) also reported similar results when they evaluated the effects of intercropping and phosphorous application on the growth and yield of sweetpotato, groundnut and soybean in Mozambique. Similarly, it was observed that all the sweetpotato varieties produced significantly higher vine length, total biomass and root numbers under the sole cropping system than when they were intercropped with soybean. The vine lengths were longer in sole cropping than in intercropping. These findings also align with the results of many other studies that shown that sweetpotato sole cropping was exposed to maximum sunlight throughout the growth period which enhanced their ability to intercept maximum light for photosynthesis and biomass accumulation as compared to intercropping systems where there was a degree of interplant competition for sunlight, nutrients and water due to the shading effect of component crops which reduced the ability of intercrops to intercept light and other resources required for vegetative growth Pankou et al. (2022), Egbe and Osang (2015). Belehu (2003) had reported that solar radiation and soil nutrients had significant influence in the formation of root primordial in sweet potato. Egbe and Osang (2015) also observed higher folder weight in sole cropping than intercrop when they evaluated intercrop advantage of sweetpotato and soybean in Makurdi, Nigeria. The result also agrees with the findings of Egbe and Idoko (2012), Idoko et al. (2018) who reported high number of marketable roots in sole cropping than intercropping when they evaluated the effect of intercropping orange fleshed sweetpotato varieties with maize in Makurdi. On the contrary, the yields of marketable roots were significantly higher in intercropping than the sole cropping. These results can be attributed to more efficient use of light, water, nutrients, reduction of pests and diseases and better weed control in intercrops than in sole cropping as reported by Stomph et al., 2020; and Pankou et al., 2021; Kammounda et al., 2021. There was a significant interaction effect of the three varieties on the relative performance of the intercrops. Sweetpotato varieties react differently under different cropping systems as yield performance differed from variety to variety, indicating that sweetpotato varieties response differently to different cropping arrangements. Root yield performance was significantly different among varieties as evidenced in the intercrops that involved erect and short vine varieties (Royalchoice and Chipika) which consistently produced significantly higher weights of marketable roots compared to the long vine variety (Kadyaubwelere) across the three locations. The higher root yield recorded by the erect and short vines sweetpotato varieties could be explained by the fact that the erect variety did not spread much and as such was not affected by competition for light as compared to the intercrops of long and spreading variety. The observed variations in the performance of different varieties could be further attributed to the differential response of varieties in the use of natural resources and seasonal variation in weather conditions (Hauggaard-Nielsen and Jensen, 2001). Demie et al., 2022 also reported a trend of shorter cereal cultivars being associated with higher intercropping performance, due to less competitive ability of shorter cereals cultivars that resulted to higher productivity in intercropping systems. These results also align with the earlier findings of Stomph et al., 2020 who reported that differences in plant architecture could affect the interspecific competition and efficient exploration of both the above and below resources. The result implies that the productivity of an intercrop system largely depends on the variety used as well as the environment. This finding reinforces the need to consider variety-specific characteristics, especially vine length and growth habits of sweetpotato during the selection of varieties for intercropping (Ajal et al., 2021; Santalla et al., 2001). Additionally, different growing environments had a highly significant effect on the average performance of different intercrops as they reacted differently under multiple environments. For example, sweetpotato root yields at Chitala were significantly higher than in Makoka and Chitedze research stations. The reason for yield variability across the three growing environments confirmed the influence of weather variations such as the amount of rainfall received, soil water exchange, solar radiation and contrasting soil conditions as reported by several authors such as Paul et al., 2023; Moutier et al., 2022; Naudin et al., 2010; Yu et al., 2016), indicating the influence of environments on the total productivity of intercropping. Similar to the main effect of environment, the interactions between spatial arrangements and sweetpotato varieties were significantly different across the three sites. Among the intercrops, Royal Choice - soybean (1:1) gave the significantly highest root weight of marketable roots than those obtained from Kadyaubwelere and Chipika varieties. One of the reasons for the differential yield performance is that different varieties react differently to resource use under different spatial arrangements (Hauggaard-Nielsen and Jensen, 2001). These findings corroborate the findings of Yu et al., 2016 who indicated the importance of sowing densities on the total productivity of intercropping.
The results of partial land equivalent ratio (pLERs) and Land equivalent ratio (LER) of sweetpotato intercropped with soybean indicate significant higher yield in sweetpotato intercropped with soybean compared to the sole sweetpotato cropping. In all cases, the LERs were greater than one (LER>1) indicating yield advantage of intercropping over sole cropping Our results confirmed the findings of Demie et al. (2022) who reported that 85% of the LER data points of cereal/legume intercropping were greater than 1, while 15% of the specific cereal/legume cultivar combinations resulted in LER< 1 when a compilation of studies on the effects of cultivars intercropping were analyzed. Furthermore, the results LER (1.83) and AME (6.59tha− 1) recorded by Chika- Soybean (2:1) intercrop at Chitedze, indicate that the intercrop was 83% more productive than the sole cropping and had a greater yield increase of 6.59tha− 1 than sole cropping. Similarly, in Chitala, Royal Choice - Tikolore (1:1) recorded the highest yield advantage of 45% over sole cropping and had a greater yield increase of 12.10 tha-1 over the sole cropping. The result is in agreement with the earlier findings of Li et al., 2023; Demie et al., 2022; Paul et al., 2024 who reported that intercropping is a more efficient cropping system than sole cropping. It was also observed that LERs were generally higher when Royal choice (medium vine length) and Chipika (short/compact vine length) sweetpotato varieties were intercropped with soybean in all the sites. On the contrary, Kadyaubwelere (long spreading vines) - soybean (2:2) recorded land equivalent ratios of less than 1 (LER<1) at Chitedze and Chitala and had 0.23 and -0.86 tha-1 respectively. This result could be attributed to the competitiveness of this variety under different intercropping arrangements. This result is in line with the findings of Paul et al., 2023 which indicated importance of variety specific characteristics in intercropping systems.
5 Conclusion
This study has indicated that the productivity of an intercrop system largely depends on the variety selection, spatial arrangements, growing environment, as well as their interactions. Our results suggest that to obtain maximum productivity in sweetpotato - soybean intercropping, key attention should be given to varietal choice, growing conditions, and spatial arrangements. The results further imply the need to consider variety-specific characteristics, especially vine length and growth habits of sweetpotato during the selection of varieties for intercropping. We therefore recommend the intercropping of Chipika-soybean in ratios 2:1 and 2:2 and Royal choice-soybean in ratios 1:1 and 2:2 for farmers in Malawi due to the less competitiveness of the two varieties under the different intercropping arrangements.
Data availability statement
The original contributions presented in the study are included in the article/supplementary material. Further inquiries can be directed to the corresponding author.
Author contributions
GA: Conceptualization, Data curation, Formal analysis, Funding acquisition, Investigation, Methodology, Project administration, Resources, Supervision, Validation, Visualization, Writing – original draft, Writing – review & editing. HC: Methodology, Conceptualization, Investigation, Formal analysis, Writing – original draft, Writing - review & editing. OM: Methodology, Investigation, Formal analysis, Writing – original draft, Writing – review & editing. FC: Conceptualization, Methodology, Writing – original draft, Writing – review & editing. PD: Funding acquisition, Conceptualization, Methodology, Investigation, Supervision, Validation, Writing – original draft, Writing – review & editing. WJ: Funding acquisition, Project administration, Supervision, Writing – original draft, Writing – review & editing. JK: Supervision, Validation, Project administration, Writing – original draft, Writing - review & editing.
Funding
The author(s) declare financial support was received for the research and/or publication of this article. The author(s) declare that financial support for this research and the publication of this article was received from the European Union (EU) under the DeSIRA Program: Development-Smart Innovation through Research in Agriculture (DeSIRA) project in Malawi. Grant number: FOOD/2019/413-081.
Acknowledgments
The authors are grateful to the European Union (EU) who funded this study and the International Potato Center (CIP) for offering an environment for its successful implementation. The authors’ gratitude also goes to the Department of Agricultural Research Services (DARS) who supported the establishment and monitoring of field experiments.
Conflict of interest
The authors declare that the research was conducted in the absence of any commercial or financial relationships that could be construed as a potential conflict of interest.
Generative AI statement
The author(s) declare that no Generative AI was used in the creation of this manuscript.
Any alternative text (alt text) provided alongside figures in this article has been generated by Frontiers with the support of artificial intelligence and reasonable efforts have been made to ensure accuracy, including review by the authors wherever possible. If you identify any issues, please contact us.
Publisher’s note
All claims expressed in this article are solely those of the authors and do not necessarily represent those of their affiliated organizations, or those of the publisher, the editors and the reviewers. Any product that may be evaluated in this article, or claim that may be made by its manufacturer, is not guaranteed or endorsed by the publisher.
References
Abidin P. E., Chipungu F., Nyekanyeka T., Chilanga T., Mwenye O., Kazembe J., et al. (2015). Potato and sweetpotato in Africa: transforming the value chains for food and nutrition security. 405–413. doi: 10.1079/9781780644202.0405
Ajal J., Jäck O., Vico G., and Weih M. (2021). Functional trait space in cereals and legumes grown in pure and mixed cultures is influenced more by cultivar identity than crop mixing. Perspect. Plant Ecol. Evol. Syst. 50, 125612. doi: 10.1016/j.ppees.2021.125612
Annicchiarico P., Collins R. P., De Ron A. M., Firmat C., Litrico I., and Hauggaard-Nielsen H. (2019). Do we need specific breeding for legume-based mixtures. Adv. Agron. 157, 141–215. doi: 10.1016/bs.agron.2019.04.001
Baxevanos D., Tsialtas I. T., Vlachostergios D., Hadjigeorgiou I., Dordas C., and Lithourgidis A. (2017). Cultivar competitiveness in pea-oat intercrops under Mediterranean conditions. Field Crops Res. 214, 94–103. doi: 10.1016/j.fcr.2017.08.024
Bedoussac L. and Justes E. (2011). A comparison of commonly used indices for evaluating species interactions and intercrop efficiency: application to durum wheat–winter pea intercrops. Field Crops Res. 124, 25–36. doi: 10.1016/j.fcr.2011.05.025
Belehu T. (2003). Agronomical and physiological factors affecting growth, development, and yield of sweet potato in Ethiopia. University of Pretoria, South Africa.
Deb D., Dutta S., and Erickson R. (2022). The robustness of land equivalent ratio as a measure of yield advantage of multi-crop systems over monocultures. Experimental Results 3, e2.
Demie D. T., Döring T. F., Finckh M. R., van der Werf W., Enjalbert J., and Seidel S. J. (2022). Mixture × genotype effects in cereal/legume intercropping. Front. Plant Sci. 13. doi: 10.3389/fpls.2022.846720
Egbe O. M. and Idoko J. A. (2012). Evaluation of pigeonpea genotypes for intercropping with maize and sorghum in southern Guinea Savanna: economic benefits. Int. J. Agric. Forestry 2, 108–114. doi: 10.5923/j.ijaf.20120201.17
Egbe M. O. and Osang P. O. (2015). Intercrop advantages of some improved sweet potato + soybean in Makurdi, Benue State, Nigeria. Int. Lett. Natural Sci. 39, 28–39. doi: 10.18052/www.scipress.com/ILNS.39.28
Elsalahy H., Bellingrath-Kimura S., Kautz T., and Döring T. (2021). Effects of mixing two legume species at seedling stage under different environmental conditions. PeerJ 9, 10615. doi: 10.7717/peerj.10615
Food and Agriculture Oganization (FAO) (2023). Food and Agriculture Organization of the United Nations – Production: Crops and livestock products. Wallingford UK: CABI.
Gatto M., Naziri D., San Pedro J., and Béné C. (2021). Crop resistance and household resilience – The case of cassava and sweetpotato during super-typhoon Ompong in the Philippines. Int. J. Disaster Risk Reduction 62, 102392. doi: 10.1016/J.IJDRR.2021.102392
Hauggaard-Nielsen H. and Jensen E. S. (2001). Evaluating pea and barley cultivars for complementarity in intercropping at different levels of soil N availability. Field Crops Res. 72, 185–196. doi: 10.1016/S0378-4290(01)00176-9
Idoko J. J., Oorlamen T., and Offordile A. E. (2018). Effect of intercropping some crop species with orange-flesh sweet potato varieties in Makurdi. Int. J. Agric. Policy Res. 6, 28 37.
Kammoun B., Journet E.-P., Justes E., and Bedoussac L. (2021). Cultivar grain yield in durum wheat-grain legume intercrops could be estimated from sole crop yields and interspecific interaction index. Front. Plant Sci. 12. doi: 10.3389/fpls.2021.733705
Li C., Stomph T.-J., Makowski D., Li H., Zhang C., Zhang F., et al. (2023). The productive performance of intercropping. Proc. Natl. Acad. Sci. 120, e2201886120. doi: 10.1073/pnas.2201886120
Lithourgidis A. S., Vlachostergios D. N., Dordas C. A., and Damalas C. A. (2011). Dry matter yield, nitrogen content, and competition in pea–cereal intercropping systems. Eur. J. Agron. 34, 287–294. doi: 10.1016/j.eja.2011.02.007
Low J. W., Lynam J., Lemaga B., Crissman C., Barker I., Thiele G., et al. (2009). “Sweetpotato in Sub-Saharan Africa,” in The Sweetpotato. Eds. Loebenstein G. and Thottappilly G. (Springer Science Business Media B.V, Dordrecht), 359–390.
Mead R. and Willey R. (1980). The concept of a ‘land equivalent ratio’and advantages in yields from intercropping. Exp. Agric. 16(3), 217–228.
Ministry of Agriculture. (2016). Malawi National Adaptation Plan Framework (NAP 216). Ministry of Agriculture, Irrigation and Water Development P.O. Box 30134 Capital City Lilongwe 3.
Miyazaki H., Ishimoto Y., Tanaka U., and Umetsu C. (2013). the role of the sweet potato in the crop diversification of small-scale farmers in southern province, Zambia. Afr. Study Monogr. 34, 119–137.
Motsa N. M., Modi A. T., and Mabhaudhi T. (2015). Sweetpotato [Ipomoea batatas (L.) Lam] as a drought tolerant and food security crop. South Afr. J. Sci. 111, 11–12. doi: 10.17159/sajs.2015/20140252
Mousavi S. R., Shahsavari M., and Rezaei M. (2011). A general overview on manganese (Mn) importance for crops production. Aust. J. Basic Appl. Sci. 5, 1799–1803.
Moutier N., Baranger A., Fall S., Hanocq E., Marget P., Floriot M., et al. (2022). Mixing ability of intercropped wheat varieties: stability across environments and tester legume species. Front. Plant Sci. 13. doi: 10.3389/fpls.2022.877791
Munda E., Pieterse P. J., Andrade M. I., Makunde G. S., and Pereira E. I. (2019). Improving productivity of orange-fleshed sweetpotato (Ipomoea batatas) through intercropping with legumes and moderate phosphorus application. South Afr. J. Plant Soil 36, 221–228. doi: 10.1080/02571862.2018.1548659
Naudin C., Corre-Hellou G., Pineau S., Crozat Y., and Jeuffroy M.-H. (2010). The effect of various dynamics of N availability on winter pea–wheat intercrops: crop growth, N partitioning and symbiotic N2 fixation. Field Crops Res. 119, 2–11. doi: 10.1016/j.fcr.2010.06.002
OECD (2022). OECD Economic Outlook, Volume 2022 Issue 2: Confronting the Crisis (Paris: OECD Publishing). doi: 10.1787/f6da2159-en
Omondi J. O., Mkuhlani S., Mugo J., Chibeba A. M., Chiduwa M. S., Chigeza G., et al. (2023). Closing the yield gap of soybean (Glycine max (L.) Merril) in Southern Africa: a case of Malawi, Zambia, and Mozambique. Front. Agron. 5, 1219490. doi: 10.3389/fagro.2023.1219490
Pankou C., Lithourgidis A., and Dordas C. (2021). Effect of Irrigation on Intercropping Systems of Wheat (Triticum aestivum L.) with Pea (Pisum sativum L.). Agronomy 11, 283.
Pankou C., Lithourgidis A., Menexes G., and Dordas C. (2022). Importance of selection of cultivars in wheat–pea intercropping systems for high productivity. Agronomy 12(10), 2367.
Paul M. R., Demie D. T., Seidel S. J., and Döring T. F. (2023). Effects of spring wheat/faba bean mixtures on early crop development. Plant Soil. 506 (1), 311–326. doi: 10.1007/s11104-023-06111-6
Paul M. R., Demie D. T., Seidel S. J., and Döring T. F. (2024). Evaluation of multiple spring wheat cultivars in diverse intercropping systems. European Journal of Agronomy 152, 127024.
Saka A. R., PMtukuso A., Daudi A. P., Banda A. T., and Pand Phiri M. H. (2006). Agricultural technology released by the ministry of agriculture and food security 2000-20005.
Santalla M., Rodino A. P., Casquero P. A., and de Ron A. M. (2001). Interactions of bush bean intercropped with field and sweet maize. Eur. J. Agron. 15, 185–196. doi: 10.1016/S1161-0301(01)00104-6
Snapp S. S., Mafongoya P. L., and Waddington S. (1998). Organic matter technologies for integrated nutrient management in smallholder cropping systems of Southern Africa. Agric. Ecosyst. Environ. 71, 185–200. doi: 10.1016/S0167-8809(98)00140-6
Stomph T., Dordas C., Baranger A., de Rijk J., Dong B., Evers J., et al. (2020). Designing intercrops for high yield, yield stability and efficient use of resources: Are there principles? Adv. Agron. 160, 1–50. doi: 10.1016/bs.agron.2019.10.002
The Agriculture Sector Wide Approach (ASWAP (2010). Malawi’s prioritised and harmonised Agricultural Development Agenda: 2010-2014.
van Vugt D., Franke A. C., and Giller K. E. (2018). Understanding variability in the benefits of N2-fixation in soybean-maize rotations on smallholder farmers’ fields in Malawi. Agriculture Ecosyst. Environ. 261, 241–250. doi: 10.1016/j.agee.2017.05.008
Vithu P., Dash S., and Rayaguru K. (2019). Post-harvest processing and utilization of sweet potato: a review. Food Reviews International 35 (8), 726–762. doi: 10.1080/87559129.2019.1600540
Willey R. W. and Rao M. R. (1980). A competitive ratio for quantifying competition between intercrops. Exp. Agric. 16, 117–125. doi: 10.1017/S0014479700010802
Yu Y., Stomph T.-J., Makowski D., and van der Werf W. (2015). Temporal niche differentiation increases the land equivalent ratio of annual intercrops: a metaanalysis. Field Crops Res. 184, 133–144. doi: 10.1016/j.fcr.2015.09.010
Yu Y., Stomph T. J., Makowski D., Zhang L., and van Der Werf W. (2016). A meta-analysis of relative crop yields in cereal/legume mixtures suggests options for management. Field Crops Research 198, 269–279.
Keywords: intercropping, legumes, productivity, yield, sweetpotato, variety
Citation: Akinwale GM, Chalie H, Mwenye OJ, Chipungu F, Demo P, Jogo W and Kreuze J (2025) The effects of variety selection on the yield and productivity of sweetpotato-legume intercropping options in Malawi. Front. Agron. 7:1679366. doi: 10.3389/fagro.2025.1679366
Received: 04 August 2025; Accepted: 08 September 2025;
Published: 07 October 2025.
Edited by:
Rosa Francaviglia, Council for Agricultural Research and Agricultural Economy Analysis | CREA, ItalyReviewed by:
Amit Anil Shahane, Central Agricultural University, IndiaYaya Nadiala Coulibaly, Université Nangui Abrogoua, Côte d’Ivoire
Copyright © 2025 Akinwale, Chalie, Mwenye, Chipungu, Demo, Jogo and Kreuze. This is an open-access article distributed under the terms of the Creative Commons Attribution License (CC BY). The use, distribution or reproduction in other forums is permitted, provided the original author(s) and the copyright owner(s) are credited and that the original publication in this journal is cited, in accordance with accepted academic practice. No use, distribution or reproduction is permitted which does not comply with these terms.
*Correspondence: Gbenga Moses Akinwale, Zy5ha2lud2FsZUBjZ2lhci5vcmc=