Your new experience awaits. Try the new design now and help us make it even better

ORIGINAL RESEARCH article

Front. Anim. Sci., 14 November 2025

Sec. Animal Welfare and Policy

Volume 6 - 2025 | https://doi.org/10.3389/fanim.2025.1694042

Swapping milk for electrolytes: investigating dairy calf activity and hunger after replacing a meal

  • 1Department of Population Medicine, University of Guelph, Guelph, ON, Canada
  • 2Department of Animal and Food Science, University of Wisconsin-River Falls, River Falls, WI, United States
  • 3Department of Animal and Veterinary Sciences, University of Vermont, Burlington, VT, United States

Replacing a milk meal with electrolytes is often done to hydrate pre-weaned calves following transport or diarrhea; however, its impact on the hunger and the activity of calves is unknown. Therefore, the objective of this study was to investigate the effect of replacing a milk feeding with electrolytes on the motivation of dairy calves to drink milk at a subsequent meal, the calf starter intake, and their activity. Healthy pre-weaned dairy calves (n = 100) were enrolled at 23 ± 1 days of age. This crossover study exposed all calves to two treatments over 2 weeks. Each calf received two milk (2.74 L) and two electrolyte (2.74 L of 252 mOSM/L solution) feedings in random order as their morning meal, with a washout period in between. To measure the motivation of calves to drink milk, calves who consumed at least 20% of their morning offered meal, whether milk or electrolytes, received either an unaltered milk replacer or a milk replacer with a bitter additive (0.35 g/L quinine hydrochloride dihydrate) as their evening meal. Over the 2-week study period, the calves were exposed to four daily combinations of treatment (electrolyte vs. milk as the morning meal) and test (bitter vs. regular milk as the evening meal) applications: electrolytes and bitter milk, electrolytes and regular milk, milk and bitter milk, and milk and regular milk. The treatment and test milk order was balanced by calf. The milk replacer, electrolyte, and calf starter quantities were weighed before and after feeding to determine the amount consumed by each calf. A random subset of calves (n = 69) was outfitted with accelerometers to measure the steps, the activity index, the lying time, and the lying bouts. These activity measures were summarized hourly for the 8 h between feedings on each test day. Regardless of the morning treatment, calves consumed less bitter milk than regular milk in the evening feeding, but an increase in calf willingness to consume bitter milk after replacing a meal with electrolytes was not observed. However, electrolyte-fed calves consumed more grain than milk-fed calves after the morning meal, took fewer steps, had a lower activity index, and spent less time lying at 7 and 8 h following the morning feeding compared with the milk-fed calves. The greater grain intake and less lying time during the hours before the evening feeding of the calves fed electrolytes in the morning compared with those fed milk suggest that substituting a milk meal with an electrolyte meal may increase behaviors indicating hunger in pre-weaned calves.

Introduction

Dairy calves are often provided with smaller milk allowances than they would consume with ad libitum access to milk (Borderas et al., 2009). Inadequate milk allowance has been shown to be detrimental to calf welfare as a lower milk allowance can reduce the play behavior (Krachun et al., 2010) and increase non-nutritive sucking (De Paula Vieira et al., 2008), and a reduction in milk allowance can impair cognitive functioning (Lecorps et al., 2023). This may be further exacerbated when milk meals are entirely replaced with an alternative meal, such as electrolytes.

Electrolytes are recommended to combat dehydration caused by illnesses, such as diarrhea (Michell et al., 1992), and environmental factors such as heat stress (Wang et al., 2020). Furthermore, electrolytes have also been explored as a strategy to alleviate the impacts of transportation, which is physiologically challenging (Bajus et al., 2024). While electrolytes are recommended to supplement, not to replace, a milk meal, replacing milk with electrolytes is a common practice in farms. This is likely due to the idea that sick calves may refuse milk during illness (Johnson, 1998). In practice, replacing milk meals with electrolytes may last from one meal to multiple days (Michell et al., 1992; Constable et al., 2001).

To our knowledge, only two studies have explored the effect of replacing milk with electrolytes on the physiology and the activity of calves. Calves that were fed a single electrolyte meal had lower plasma glucose concentrations, had higher creatine kinase concentrations, and lost weight following 6 h of transportation compared with milk-fed calves that gained weight (Marcato et al., 2020). Another study found that calves given electrolytes instead of milk during a rest period between transportation bouts had reduced activity both during transportation and on the day of arrival at a calf-raising facility (Bajus et al., 2024). These studies suggest that milk provides more energy that assists in mitigating the effects of transportation. However, the effect of replacing milk with electrolytes in these studies was confounded by the effects of transportation. The degree to which a single electrolyte meal in lieu of milk impacts the activity and hunger of healthy calves during normal management has not been studied.

While hunger is conceptually difficult to measure, one associative measure is the motivation to eat. Previous research in calf motivation involved tracking the number of unrewarded trips to a milk feeder, the calf activity over time, and the behavior toward other calves, such as displacement from the feeder in calves fed at different planes of nutrition (De Paula Vieira et al., 2008; Rosenberger et al., 2017). While these techniques help to understand hunger and the motivation to eat, they require extensive time to perform and may not be possible in a typical commercial setting without an automated calf feeder. A potential solution to this issue is the use of quinine as a method to assess the motivation of calves to eat. Quinine is a bitter substance often used in rodent research to assess the motivation to consume addictive substances (Crabbe, 2016). This can help quantify motivation: the amount of an addictive substance with quinine that is consumed indicates the amount of motivation the rodent has to obtain the substance. Quinine can be applied for use in other species to measure motivation and has recently been adapted for use in dairy calves to measure motivation to access a milk replacer as they find the flavor to be aversive (Woodrum Setser et al., 2025).

The objectives of this study were to determine the impact of replacing a milk replacer meal with electrolytes on calf hunger, measured through calf motivation to eat when given a meal of bitter milk replacer, calf starter consumption, and activity. We hypothesized that calves given electrolytes for their morning meal would have greater bitter milk replacer intake at their evening feeding, would have greater calf starter intake between feedings, and would move less and spend more time lying between feedings than the calves fed milk in the morning.

Materials and methods

The use of animals for this project was approved by the University of Wisconsin–River Falls Institutional Animal Care and Use Committee (no. 2021-74747). The manuscript is reported following the Reporting Guidelines for Randomized Controlled Trials for Livestock and Food Safety (REFLECT) statement (Sargeant et al., 2010). This trial was conducted at a commercial dairy calf-raising facility in Green Bay, WI, in July 2023. The facility was selected based on willingness to participate in the study.

Housing and exclusion criteria

Pre-weaned calves (n = 100; male = 5, female = 95; Holstein = 7, Holstein–Jersey crosses = 76, dairy–beef terminal crosses = 17) were enrolled at 23 ± 1 days of age. The sample size was determined using the difference in the bitter milk replacer consumed after the milk replacer was withheld for 12 vs. 16 h (mean ± SD = 30.0% ± 44.9% vs. 58.9% ± 47.3% of bitter milk replacer consumed, respectively) reported in Woodrum Setser et al. (in review). Based on these values, 40 experimental units were needed to achieve alpha = 0.05 and power = 0.80. During the pilot testing for this study, it was found that only 40% of the calves ate ≥20% of the electrolytes in the morning feeding allowance. Based on this information, the number of calves enrolled was increased to 100 to reach 40 experimental units.

All calves were individually housed in hutches with outdoor access (2.0-m2 indoor space and 2.2-m2 outdoor space; Small Outdoor Calf Hutch, Calf-Tel, Germantown, WI, USA) and bedded with wood chips. Calves were provided with a texturized calf starter (17.9% crude protein, proprietary blend) and ad libitum water. On non-study days, calves were fed a milk replacer (2.74 L/meal; 26% protein, 20.5% fat, and 13.5% solids) at 0700 and 1600 hours. The calves were health-scored prior to the start of the trial according to Love et al. (2014). Calves were excluded from the study if they showed signs of diarrhea (score >1) (Pempek et al., 2019), respiratory disease (score ≥5) (Love et al., 2014), or if they had a fever (rectal temperature ≥39.5°C). Upon enrollment, all calves were weighed (TruTest S3 Weigh Scale System, Datamars Livestock, Mineral Wells, TX, USA) in 0.5-kg increments.

Electrolyte challenge

Calves were enrolled in the study for 2 weeks, which included four trial days (Monday and Thursday each week), with multiple days between trial days to ensure independent results. All trials were conducted during the usual morning and evening feeding times. On study days, the calves were fed either 2.74 L of novel electrolytes [Techmix; research proprietary formulation: 2.23% protein, 0.0025% fat, osmolality 252 mOsm/L, 2.9 Mcal/kg dry matter (DM)] or a milk replacer (farm formulation: 26% protein, 20.5% fat, 13.5% solids, 5.05 Mcal/kg DM) using a bucket for their morning meal. The buckets were weighed (DT-580 Mini Electronic Price-Computing Scale) prior to feeding, and the calves were given 20 min to finish their meal. During the meal, calves had access to a calf starter, but not water. After feeding, the buckets were weighed again to determine the remaining feed. The percentage of milk replacer or electrolyte allotment consumed was then calculated. Calves were excluded from the evening feeding if they consumed <20% of the morning feeding allotment to control from hunger due to lack of intake rather than the effect of replacing the milk replacer with electrolytes (Table 1). Calves were also fully excluded from day 3 to day 4 if they were assigned to the electrolyte group on trial days 1 and 2 and failed to eat ≥20% of the electrolyte allotment on both days (n = 5). This led to a reduced number of calves fed a milk replacer in the morning of trial days 3 and 4 (n = 45). The distribution of the percentages of the electrolyte and milk replacer allotments consumed in the morning feedings by type of feed can be found in Supplementary Figure S1.

Table 1
www.frontiersin.org

Table 1. Number and percentage of calves that consumed ≥20% of their morning meal (0800 h) and were subsequently enrolled to receive either unaltered or bitter milk replacer for the evening meal treatment [number (percentage)]: bitter vs unaltered milk replacer. Calves were randomly assigned to each treatment (n = 50 per day), except on trial days 3 and 4 when only 45 calves received milk replacer in the morning.

Between feedings, calves had access to 1.47 ± 0.05 kg (mean ± SD) of their typical texturized calf starter and ad libitum access to water. The calf starter was weighed after the morning feeding and prior to the evening feeding to determine the percentage of calf starter that was consumed between meals. The amount of water consumed was not recorded.

Taste aversion test: feed motivation

For the evening feeding, the calves were given 2.74 L of either the regular milk replacer or a milk replacer with a bitter additive (0.35 g/L quinine hydrochloride dihydrate, 0.961 g/bucket) (Sigma-Aldrich, St. Louis, MO, USA) intended to measure calf motivation to consume milk (taste aversion test). Quinine is the primary alkaloid found in cinchona tree bark. It is an optical isomer of quinidine (Darracq, 2018). The quinine dosage and the administration method were determined based on the results from Woodrum Setser et al. (accepted). Firstly, the quinine powder (0.961 g) was dissolved in 50 ml water and then added to the milk replacer. Thereafter, an additional 50 ml was added to the reconstitution vial to rinse any remaining quinine residue and then added to the milk. An equal amount of water (100 ml) was added to the regular milk replacer in order to make the weights equivalent. Quinine–water and water were mixed thoroughly into individual calf buckets using a handheld whisk to ensure an equal distribution throughout the milk. The buckets were weighed prior to and after feeding to determine the percentage of milk replacer consumed. The distribution of the percentages consumed in the taste aversion test by type of feed provided (unaltered vs. bitter milk replacer) can be found in Supplementary Figure S2.

Calves received the morning treatments and the taste aversion test treatments in a two × two factorial treatment arrangement in random order balanced by sex and breed to receive all possible combinations of treatments during the four trial days: milk replacer followed by a bitter milk replacer; milk replacer followed by an unaltered milk replacer; electrolytes followed by a bitter milk replacer; and electrolytes followed by an unaltered milk replacer.

Calf activity

A subset of calves (n = 69) was chosen using a random number generator (RAND function; Microsoft Excel) to be outfitted with accelerometers (IceQube; IceRobotics Ltd., Edinburgh, UK) (validated by Charlton et al., 2022) to record their activity. The accelerometers were attached to the calf’s lateral left hind leg upon enrollment and were removed upon the study conclusion. The accelerometers recorded the steps (number), the activity index, the lying time (in minutes), and the lying bouts (number) at 15-min intervals from attachment to removal. The activity index was calculated as the total activity including the step count and the acceleration rate (Cantor and Costa, 2022). The accelerometers were scanned with an RFID reader every 3 days, and the data were transmitted to the accompanying data cloud (CowAlert; IceRobotics Ltd., Edinburgh, UK). For each trial day, data were summarized every hour for the 8 h starting after the morning feeding at 0800 hours and ending before the evening feeding at 1600 hours.

Statistical analysis

All data were analyzed in Stata 18 (Stata/IC version 18.1 for Windows; StataCorp, College Station, TX, USA). Descriptive statistics were assessed for all variables prior to modeling. To determine whether there are differences between treatment groups, t-tests were used for continuous normally distributed variables with two outcomes. One-way ANOVAs with a Bonferroni adjustment were used for variables with more than two outcomes.

For each outcome of interest, the variables were tested in univariable models. The variables fitting these criteria and any plausible interactions were included in the multivariable models and removed through a manual backward stepwise elimination until solely significant (p < 0.05), and confounding variables (removal resulted in a >20% change in the coefficients of the other variables) were included in the final model. Regardless of the significance, the morning treatment group was included in the final model as the primary variable of interest. Normality of the residuals was visually evaluated for each of the models using residual plots.

The percent milk replacer intake in the evening and the calf starter intake (in kilograms) were analyzed using linear mixed models, with calf and day included as random effects. The fixed effects for both models were determined via univariable analysis and included sex, breed, enrollment weight, the morning feeding treatment (electrolytes vs. milk replacer), and the percent intake of the morning meal. For the percent intake of the evening feeding, the evening treatment (regular milk replacer vs. bitter milk replacer) was also included as a fixed effect.

The activity data, including the total steps, the lying time, the total lying bouts, and the activity index, were also analyzed using linear mixed models. Calf and day were included as random effects. Fixed effects were determined via univariable analysis for all of the activity outcomes, including the sex, breed, source, age, enrollment weight, time after feeding (0–8 h after the morning feeding), the morning treatment (electrolytes vs. milk replacer), and the percent intake for the morning feeding.

Results

Feed motivation

Calves that were provided electrolytes instead of a milk replacer in their morning meal consumed more milk replacer, regardless of whether it was bitter or unaltered, at the evening feeding compared with calves fed a milk replacer in the morning (84.4% ± 4.1% vs. 74.3% ± 3.2% of the meal allotment, respectively; p = 0.04) (Figure 1A). During the evening feeding, calves consumed less milk replacer when it included a bitter additive than when provided an unaltered milk replacer [least squares mean (LSM) ± SEM = 55.5% ± 3.2% vs. 103.2% ± 3.4% of the meal allotment, respectively; p < 0.01] (Figure 1B). In addition, breed had an effect on the intake in the evening meal. Dairy–beef crossbred calves consumed more milk replacer than the dairy breeds (86.2% ± 4.9% vs. 72.4% ± 2.5% of the meal allotment, respectively; p = 0.01).

Figure 1
Bar charts labeled A and B. Chart A compares morning feed treatments showing a higher percentage of meal consumed with electrolytes than milk, with an asterisk indicating significance. Chart B compares evening milk flavors, showing more consumption of unaltered milk compared to bitter, with an asterisk indicating significance.

Figure 1. Bar graph showing the percentage intake (least squares mean, LSM) of the evening meal of pre-weaned dairy calves (n = 100) to characterize the effect of replacing their previous meal with an electrolyte solution. (A) During the morning meal, the calves received either electrolytes or their usual milk replacer. (B) During the evening meal, the calves received either an unaltered milk replacer or a milk replacer with a bitter additive (0.35 g/L quinine). Asterisk denotes a significant difference (p < 0.05). Error bars represent standard error (SE).

Solid feed intake

Calves that were fed electrolytes consumed more calf starter than those fed a milk replacer in the morning (0.18 ± 0.02 vs. 0.12 ± 0.02 kg, respectively; p = 0.001) (Figure 2). In addition, calves that weighed more at enrollment consumed more calf starter (slope = 0.0021, intercept = 0.0009, p = 0.02), and male calves consumed more calf starter than the female calves (0.20 ± 0.04 vs. 0.09 ± 0.01 kg, respectively; p = 0.009).

Figure 2
Bar chart comparing calf starter consumption in kilograms between two groups: Electrolytes and Milk Replacer. The Electrolytes group shows higher consumption, approximately 0.22 kg, marked with an asterisk, indicating statistical significance. The Milk Replacer group is lower, around 0.15 kg. Error bars are present for both groups.

Figure 2. Bar graph showing the calf starter intake (least squares mean, LSM) of healthy pre-weaned dairy calves (n = 100) during the 8 h between the morning and evening feedings by morning feeding treatment to characterize the effect of replacing their previous meal with an electrolyte solution. During the morning meal, calves received either electrolytes or their usual milk replacer. Asterisk denotes a statistical difference (p < 0.05) between the amount of calf starter consumed by calves fed electrolytes vs. milk. Error bars represent standard error (SE).

Activity

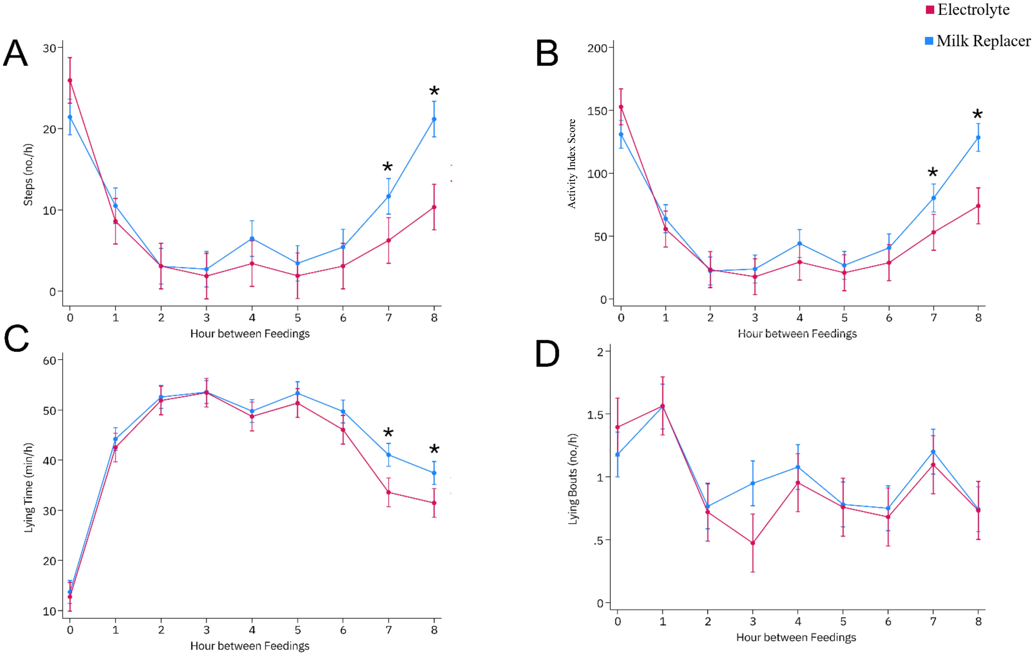
There was an interaction between morning treatment and hour after feeding. Calves fed electrolytes took fewer steps than calves fed a milk replacer as time after the morning feeding increased (Δ = −1.29, 95%CI = −1.79 to −0.78, p < 0.01). Specifically, calves that received electrolytes took 5.44 and 10.83 fewer steps during hours 7 and 8, respectively, compared with calves that received a milk replacer (Figure 3A). There was also an interaction between morning treatment and hour after feeding on the activity index. Calves fed electrolytes had a lower activity index than the milk-fed calves as time from the morning meal increased (Δ = −6.26, 95%CI = −9.14 to −3.79, p < 0.01). Specifically, calves that received electrolytes had a predicted activity index score that was 27.33 lower at hour 7 and 54.41 points lower at hour 8 compared with calves that received milk (Figure 3B).

Figure 3
Line graphs labeled A to D compare the effects of Electrolyte (red) and Milk Replacer (blue) over hours between feedings. Graph A shows steps per hour, with Milk Replacer showing more steps at hours seven and eight. Graph B illustrates activity index scores, higher for Milk Replacer at seven and eight hours. Graph C presents lying time, where Electrolyte is lower at seven and eight hours. Graph D displays lying bouts, similar in pattern for both. Asterisks indicate significant differences.

Figure 3. Margin plot of the predicted probability of the interaction between morning feeding treatment (milk or electrolytes) and the time point relative to morning feeding (0–8 h) on the steps (number per hour) (A), the activity index score (B), the lying time (in minutes per hour) (C), and the lying bouts (number per hour) (D) of healthy pre-weaned dairy calves (n = 69). Asterisk denotes a statistical difference between treatment groups (p < 0.05). Pairwise comparisons were performed at each time point, and electrolytes were compared with a milk replacer (referent). Error bars represent 95%CI.

An interaction between morning treatment and hour after feeding on lying time was observed. Calves fed electrolytes spent less time lying than the calves fed a milk replacer in the hours following the morning meal (Δ = −0.75, 95%CI = −1.37 to −0.13, p = 0.02). In hour 7, the electrolyte-fed calves laid down for 7.48 fewer minutes compared with the milk-fed calves, whereas in hour 8, the electrolyte-fed calves laid down for 5.98 fewer minutes compared with the milk-fed calves (Figure 3C). Morning meal (electrolytes vs. milk replacer) had no effect on the number of lying bouts observed between meals (Δ = −0.06, 95%CI = −0.17 to 0.05, p = 0.27) (Figure 3D). Regardless of treatment, calves were observed performing fewer lying bouts further from the morning meal (Δ = −0.06, 95%CI = −0.07 to −0.04, p < 0.01).

Discussion

This study investigated the impacts of replacing a milk replacer meal with electrolyte for healthy dairy calves on their behavior, including their motivation to consume a milk replacer, calf starter intake, and behavioral patterns between meals. Contrary to the hypothesis, calves that were fed electrolytes in the morning did not consume more bitter milk replacer than the calves fed milk in the morning. However, consistent with our hypothesis, calves fed electrolytes had greater milk replacer intake during the evening feeding, greater calf starter intake between meals, and a reduced activity in the hours between feedings compared with calves fed milk as their morning meal. These results suggest that calves fed electrolytes in the morning meal instead of a milk replacer may have experienced more hunger than the calves that received their normal meal.

Calves consumed less milk when a bitter additive was present, regardless of whether they were fed electrolytes or a milk replacer for their morning meal. These findings build upon the literature indicating that bitter flavors are aversive to cattle (Goatcher and Church, 1970; Woodrum Setser et al., accepted). Therefore, the willingness to consume a milk replacer with a bitter flavor models a cost to receive a resource (milk replacer) and could represent calf motivation to consume milk and be an associative measure of hunger level (Kirkden and Pajor, 2006). However, contrary to the hypothesis, the calves in this study did not consume more bitter milk replacer when they were fed electrolytes in the morning rather than a milk replacer. These results may indicate that there was no increased motivation to drink an aversive tasting milk replacer (i.e., hunger differences) when a meal was substituted with electrolytes. However, the calves increased their intake of calf starter, consumed a greater amount of their evening meal, and had an altered activity expression, which may indicate that those calves fed electrolytes likely experienced increased hunger.

The contradiction between calf behavior outside the taste aversion test and within it indicates that the quinine concentration utilized to measure calf motivation to consume a milk replacer (0.35 g/L) may have exceeded the “reservation price,” the highest price paid to receive a resource, regardless of the morning treatment applied (Kirkden and Pajor, 2006). These results are similar to those of Woodrum Setser et al. (accepted), which did not observe a difference in the bitter milk replacer intake of pre-weaned calves after feed was withheld for 6, 12, and 16 h when the same concentration of quinine was utilized. Similarly, Woodrum Setser et al., (accepted) also observed other indicators of hunger (increased calf starter intake and milk replacer drinking bouts), further supporting that this concentration is too high to assess the motivation to access a milk replacer in dairy calves. However, it is possible that the increased intake of calf starter may have contributed to the lack of difference observed in the willingness to consume a bitter milk replacer in this study and that of Woodrum Setser et al. (accepted), although the observed difference was only 0.06 kg (LSM difference). Further research should explore different concentrations of quinine and different aversive flavor profiles (e.g., acidity) to refine this test of calf motivation for increased sensitivity and to explore the effects when calves are not offered a solid feed between meals.

To our knowledge, this study is only the second to utilize a bitter additive in the measurement of calf motivation to access milk. Given its novelty, further refinement of this test is required to increase the sensitivity of the measures of calf motivation to access milk. For instance, the current design relied solely on intake data, omitting feeding behavior indicators such as drinking bouts, aversive responses, and time spent drinking, which may offer deeper insights into calf hunger (Woodrum Setser et al., accepted).

Calves fed electrolytes in the morning meal in place of their usual meal had greater calf starter intake between meals than those that received a milk replacer. Calf starter intake can serve as an indicator of calf hunger (Khan et al., 2011). Calves had greater calf starter intake between meals when there were longer intervals between milk replacer meals (Woodrum Setser et al., accepted), when provided less milk (4 vs. 12 L/day: Borderas et al., 2009; <8 L/day: Rosenberger et al., 2017), and when the milk allotment was reduced at weaning (Steele et al., 2017). Therefore, the calves in this study indicated their experience of increased hunger when a meal was replaced with electrolytes by increasing the amount of calf starter consumed.

In this study, heavier calves also consumed more calf starter between meals on trial days regardless of their morning meal treatment. This is likely due to the direct relationship between metabolizable energy requirements and body weight (Drackley, 2008). Male calves also consumed more calf starter than the females between meals. This result is consistent with a previous research that found that male calves had a 27% greater total body weight and an increased average daily gain at weaning compared with female calves (Mushtaq et al., 2024). These results highlight the variation in calf starter intake and potentially hunger between calves of the same age dependent on their body weight and sex. Therefore, producers should consider individualizing the feeding and weaning strategies rather than relying solely on age-based protocols.

Calves altered their activity when they had a meal replaced with electrolytes in the morning. Specifically, calves fed electrolytes as their morning meal were less active in hours 7 and 8 after feeding compared with calves fed a milk replacer. These results align with previous research that found that calves given an electrolyte meal after transportation had a lower activity index than the calves fed a milk replacer (Bajus et al., 2024). Taking fewer steps and having a lower activity index may be indicative of calves reducing their energy expenditure in response to the lower metabolizable energy provided in electrolytes vs. a milk replacer.

Calves fed electrolytes in the morning also spent less time lying during hours 7 and 8 after the morning meal. A decreased lying time was also observed in other studies that evaluated calf activity at different milk allotments. Group-housed calves that were fed lower milk allotments spent less time lying than the calves given a higher milk allowance (De Paula Vieira et al., 2008; Borderas et al., 2009). In lactating dairy cows on pasture, those with a lower herbage allowance (60%) spent less time lying than those on higher herbage allowances (O’Driscoll et al., 2019). Therefore, the lying time may be indicative of a lack of satiety in dairy animals. In addition, lying time has also been tied to discomfort in cattle: calves that did not receive a non-steroidal anti-inflammatory drug (NSAID) following disbudding spent less time lying than the calves that did (Theurer et al., 2012). Therefore, a lower lying time in these calves may be indicative of a lack of satiety, discomfort, and, ultimately, hunger. These findings highlight the importance of further exploration into the effect of replacing a milk replacer with electrolytes on the affective states of calves.

Notably, the use of accelerometers in this study built upon the taste aversion feed motivation test and provided additional insights into calf behavior in response to replacing a meal with an electrolyte solution outside of mealtime. However, the behaviors of these calves were only followed on test days, leaving typical feed intake and activity behavioral patterns outside the test scenario unaccounted for. A longitudinal study following calves through the pre-weaning period may provide additional insights into the behavioral and intake responses to replacing a milk meal with electrolytes.

Ultimately, these results indicate that calves are affected by replacing a milk replacer meal with an electrolyte solution. These outcomes highlight the importance of considering alternative management strategies to aid calves facing challenges that can benefit from electrolytes. For instance, further research may also explore whether providing electrolytes at a strategic time to encourage intake without replacing a meal (e.g., halfway between daily feedings) would mitigate the negative effects of this therapeutic intervention.

The findings of this study should only be generalized to calves of the same age utilized in the study (enrolled from 23 ± 1 to 37 ± 1 days of age). Younger calves may have a different response to replacing a milk meal with electrolytes, in particular considering the positive association between calf age and calf starter intake (Eckert et al., 2015). Young calves are often provided with electrolytes in response to diarrhea or transportation: calves often have diarrhea within the first few weeks of life (Robi et al., 2020) and may be transported as young as 1 day of age (Rot et al., 2022). Therefore, the response of younger calves to replacing a meal with electrolytes should also be considered.

A final consideration of this study is that a large proportion of calves did not consume at least 20% of the provided electrolytes, making them ineligible for the taste aversion test during the evening feeding. This low intake of electrolytes may indicate a palatability issue with the electrolyte used. Alternatively, calves may have consumed less electrolytes due to food neophobia, the aversion or avoidance of unfamiliar feeds, a phenomenon observed across species including cattle (Pliner and Hobden, 1992; Favreau-Peigné et al., 2013). Calves housed individually, as the calves were in this study, have been shown to have higher levels of food neophobia than calves housed in complex social systems (Costa et al., 2014). Therefore, this may have influenced the willingness to consume the electrolyte or even the bitter milk in the taste aversion test. Future research is required to determine causes of low electrolyte intake and to explore methods to encourage consumption of this therapeutic intervention, such as alternative flavor profiles. Nevertheless, a sufficient proportion of the calves consumed electrolytes in this study, enabling us to meet the core objective: to evaluate the effect of replacing a meal with electrolytes as reflected by changes in the calf activity and the calf starter intake.

Conclusion

In conclusion, this study explored the impacts of a single electrolyte meal on the activity and hunger of healthy pre-weaned dairy calves. The calves in this study had greater calf starter intake between meals, which may have indicated that the calves were experiencing more hunger. In addition, calves that were fed electrolytes for their morning meal took fewer steps, had a decreased activity index score, and spent less time lying in the 2 h prior to their evening feeding. However, the calves did not have greater intake of the bitter milk replacer in the evening when fed electrolytes rather than a milk replacer in the morning meal. These results suggest that feeding a single electrolyte meal in place of a milk replacer may increase calf hunger or discomfort. Future studies should investigate the effect of replacing a milk replacer meal with electrolytes on younger calves and the optimal strategies for feeding electrolytes in order to minimize any negative effect on calves.

Data availability statement

The raw data supporting the conclusions of this article will be made available by the authors, without undue reservation.

Ethics statement

The animal studies were approved by University of Wisconsin-River Falls Institutional Animal Care and Use Committee (2021-74747). The studies were conducted in accordance with the local legislation and institutional requirements. Written informed consent was obtained from the owners for the participation of their animals in this study.

Author contributions

ML: Data curation, Formal Analysis, Investigation, Methodology, Writing – original draft, Writing – review & editing. MW: Writing – original draft, Writing – review & editing. GF: Data curation, Writing – original draft, Writing – review & editing. DR: Conceptualization, Data curation, Formal Analysis, Funding acquisition, Investigation, Project administration, Writing – original draft, Writing – review & editing. JC: Conceptualization, Writing – original draft, Writing – review & editing. KC: Conceptualization, Data curation, Formal Analysis, Funding acquisition, Investigation, Methodology, Project administration, Resources, Supervision, Visualization, Writing – original draft, Writing – review & editing.

Funding

The author(s) declare financial support was received for the research and/or publication of this article. Funding for this study was provided by the University of Wisconsin-River Falls McNair Scholarship and the Undergraduate Stipends and Expenses Grant.

Conflict of interest

The authors declare that the research was conducted in the absence of any commercial or financial relationships that could be construed as a potential conflict of interest.

Generative AI statement

The author(s) declare that no Generative AI was used in the creation of this manuscript.

Any alternative text (alt text) provided alongside figures in this article has been generated by Frontiers with the support of artificial intelligence and reasonable efforts have been made to ensure accuracy, including review by the authors wherever possible. If you identify any issues, please contact us.

Publisher’s note

All claims expressed in this article are solely those of the authors and do not necessarily represent those of their affiliated organizations, or those of the publisher, the editors and the reviewers. Any product that may be evaluated in this article, or claim that may be made by its manufacturer, is not guaranteed or endorsed by the publisher.

Supplementary material

The Supplementary Material for this article can be found online at: https://www.frontiersin.org/articles/10.3389/fanim.2025.1694042/full#supplementary-material

References

Bajus A., Creutzinger K. C., Cantor M. C., Wilms J. N., Gomez D. E., Steele M. A., et al. (2024). Investigating nutritional strategies during a rest period to improve health, growth, and behavioral outcomes of transported surplus dairy calves. J. Dairy. Sci 2, S0022–0302(24)00056-0. doi: 10.3168/jds.2023-23973

PubMed Abstract | Crossref Full Text | Google Scholar

Borderas T. F., de Passillé A. M. B., and Rushen J. (2009). Feeding behavior of calves fed small or large amounts of milk. J. Dairy. Sci 92, 2843–2852. doi: 10.3168/jds.2008-1886

PubMed Abstract | Crossref Full Text | Google Scholar

Cantor M. C. and Costa J. H. C. (2022). Daily behavioral measures recorded by precision technology devices may indicate bovine respiratory disease status in preweaned dairy calves. J. Dairy. Sci 105, 6070–6082. doi: 10.3168/jds.2021-20798

PubMed Abstract | Crossref Full Text | Google Scholar

Charlton G., Gauld C., Veronesi F., Rutter S. M., and Bleach E. (2022). Assessing the accuracy of leg mounted sensors for recording dairy cow behavioural activity at pasture, in cubicle housing and a straw yard. Animals 12, 638. doi: 10.3390/ani12050638

PubMed Abstract | Crossref Full Text | Google Scholar

Contable P. D., Thomas E., and Boisrame B. (2001). Comparison of two oral electrolyte solutions for the treatment of dehydrated calves with experimentally-induced diarrhoea. Vet. J. 162 (2), 129–141. doi: 10.1053/tvjl.2000.0553

PubMed Abstract | Crossref Full Text | Google Scholar

Crabbe J. C. (2016). Reproducibility of experiments with laboratory animals: what should we do now?. Alcohol Clin. Exp. Res. 40 (11), 2305–2308. doi: 10.1111/acer.13228

PubMed Abstract | Crossref Full Text | Google Scholar

Costa J. H. C., Daros R., Von Keyserlingk M. A. G., and Weary D. M. (2014). Complex social housing reduces food neophobia in dairy calves. J. Dairy. Sci. 97, 7804–7810. doi: 10.3168/jds.2014-8392

PubMed Abstract | Crossref Full Text | Google Scholar

Darracq M. A. (2018). “QUININE,” in Poisoning & Drug overdose, 7e. Eds. : Olson K. R., Anderson I. B., Benowitz N. L., Blanc P. D., Clark R. F., Kearney T. E., Kim-Katz S. Y., and Wu A. B. (McGraw-Hill Education). Available online at: https://accessmedicine.mhmedical.com/content.aspx?bookid=2284&sectionid=248385353 (Accessed October 4, 2025).

Google Scholar

De Paula Vieira A., Guesdon V., de Passillé A. M., von Keyserlingk M. A. G., and Weary D. M. (2008). Behavioural indicators of hunger in dairy calves. Appl. Anim. Behav. Sci 109, 180–189. doi: 10.1016/j.applanim.2007.03.006

Crossref Full Text | Google Scholar

Drackley J. K. (2008). Calf nutrition from birth to breeding. Vet. Clinics North Am. Food Anim. Pract. 24, 55–86. doi: 10.1016/j.cvfa.2008.01.001

PubMed Abstract | Crossref Full Text | Google Scholar

Eckert E., Brown H., Leslie K., DeVries T., and Steele M. (2015). Weaning age affects growth, feed intake, gastrointestinal development, and behavior in Holstein calves fed an elevated plane of nutrition during the preweaning stage. J. Dairy. Sci 98, 6315–6326. doi: 10.3168/jds.2014-9062

PubMed Abstract | Crossref Full Text | Google Scholar

Favreau-Peigné A., Baumont R., and Ginane C. (2013). Food sensory characteristics: their unconsidered roles in the feeding behaviour of domestic ruminants. Animal 7, 806–813. doi: 10.1017/S1751731112002145

PubMed Abstract | Crossref Full Text | Google Scholar

Goatcher W. and Church D. (1970). Taste responses in ruminants. IV. Reactions of pygmy goats, normal goats, sheep and cattle to acetic acid and quinine hydrochloride. J. Anim. Sci 31, 373–382. doi: 10.2527/jas1970.312373x

PubMed Abstract | Crossref Full Text | Google Scholar

Johnson . (1998). Immune and endocrine regulation of food intake in sick animals. Domest. Anim. Endocrinol. 15, 309–319.

PubMed Abstract | Google Scholar

Khan M. A., Weary D. M., and von Keyserlingk M. A. G. (2011). Invited review: Effects of milk ration on solid feed intake, weaning, and performance in dairy heifers. J. Dairy Sci. 94, 1071–1081. doi: 10.3168/jds.2010-3733

PubMed Abstract | Crossref Full Text | Google Scholar

Kirkden R. D. and Pajor E. A. (2006). Using preference, motivation and aversion tests to ask scientific questions about animals’ feelings. Appl. Anim. Behav. Sci 100, 29–47. doi: 10.1016/j.applanim.2006.04.009

Crossref Full Text | Google Scholar

Krachun C., Rushen J., and de Passillé A. M. (2010). Play behaviour in dairy calves is reduced by weaning and by a low energy intake. Appl. Anim. Behav. Sci 122, 71–76. doi: 10.1016/j.applanim.2009.12.002

Crossref Full Text | Google Scholar

Lecorps B., Woodroffe R. E., von Keyserlingk M. A. G., and Weary D. M. (2023). Hunger affects cognitive performance of dairy calves. Biol. Lett. 19, 20220475. doi: 10.1098/rsbl.2022.0475

PubMed Abstract | Crossref Full Text | Google Scholar

Love W. J., Lehenbauer T. W., Kass P. H., Van Eenennaam A. L., and Aly S. S. (2014). Development of a novel clinical scoring system for on-farm diagnosis of bovine respiratory disease in pre-weaned dairy calves. PeerJ 2, e238. doi: 10.7717/peerj.238

PubMed Abstract | Crossref Full Text | Google Scholar

Marcato F., Van den Brand H., Kemp B., Engel B., Wolthuis-Fillerup M., and Van Reenen K. (2020). Transport of young veal calves: Effects of pre-transport diet, transport duration and type of vehicle on health, behavior, use of medicines, and slaughter characteristics. Front. Vet. Sci 7. doi: 10.3389/fvets.2020.576469

PubMed Abstract | Crossref Full Text | Google Scholar

Michell A. R., Brooks H. W., White D. G., and Wagstaff A. J. (1992). The comparative effectiveness of three commercial oral solutions in correcting fluid, electrolyte and acid-base disturbances caused by calf diarrhoea. Br. Vet. J. 148, 507–522. doi: 10.1016/0007-1935(92)90006-M

PubMed Abstract | Crossref Full Text | Google Scholar

Mushtaq S. H., Hussain D., Rahman H. U., Naveed-ul-Haque M. N., Sardar A. A., and Chishti G. A. (2024). Effect of once-a-day milk feeding on behavior and growth performance of pre-weaning calves. Anim. Biosci 37, 253–260. doi: 10.5713/ab.23.0073

PubMed Abstract | Crossref Full Text | Google Scholar

O’Driscoll K., Lewis E., and Kennedy E. (2019). Effect of feed allowance at pasture on the lying behaviour of dairy cows. Appl. Anim. Behav. Sci 213, 40–46. doi: 10.1016/j.applanim.2019.02.002

Crossref Full Text | Google Scholar

Pempek J. A., Watkins L. R., Bruner C. E., and Habing G. G. (2019). A multisite, randomized field trial to evaluate the influence of lactoferrin on the morbidity and mortality of dairy calves with diarrhea. J. Dairy. Sci 102, 9259–9267. doi: 10.3168/jds.2019-16476

PubMed Abstract | Crossref Full Text | Google Scholar

Pliner P. and Hobden K. (1992). Development of a scale to measure the trait of food neophobia in humans. Appetite 19, 105–120. doi: 10.1016/0195-6663(92)90014-W

PubMed Abstract | Crossref Full Text | Google Scholar

Robi D., Kasa A., and Negera C. (2020). Review of common bacterial cause and management of neonatal calf diarrhea in cattle. Int. J. Microbiolog. Res. 11, 98–104. doi: 10.5829/idosi.ijmr.2020.98.104

Crossref Full Text | Google Scholar

Rosenberger K., Costa J. H. C., Neave H. W., von Keyserlingk M. A. G., and Weary D. M. (2017). The effect of milk allowance on behavior and weight gains in dairy calves. J. Dairy. Sci 100, 504–512. doi: 10.3168/jds.2016-11195

PubMed Abstract | Crossref Full Text | Google Scholar

Rot C., Creutzinger K., Goetz H., Winder C., Morrison J., Conboy M., et al. (2022). Factors associated with body weight of young surplus dairy calves on arrival to a calf rearing facility. Prev Vet. Med. 203, 105630. doi: 10.1016/j.prevetmed.2022.105630

PubMed Abstract | Crossref Full Text | Google Scholar

Sargeant J. M., O'Connor A. M., Gardner I. A., Dickson J. S., Torrence M. E., and Consensus Meeting Participants. (2010). The REFLECT statement: reporting guidelines for randomized controlled trials in livestock and food safety: explanation and elaboration. Zoonoses Public Health 57 (2).

Google Scholar

Steele M. A., Doelman J. H., Leal L. N., Soberon F., Carson M., and Metcalf J. A. (2017). Abrupt weaning reduces postweaning growth and is associated with alterations in gastrointestinal markers of development in dairy calves fed an elevated plane of nutrition during the preweaning period. J. Dairy. Sci 100, 5390–5399. doi: 10.3168/jds.2016-12310

PubMed Abstract | Crossref Full Text | Google Scholar

Theurer M. E., White B. J., Coetzee J. F., Edwards L. N., Mosher R. A., and Cull C. A. (2012). Assessment of behavioral changes associated with oral meloxicam administration at time of dehorning in calves using a remote triangulation device and accelerometers. BMC Vet. Res. 8, 48. doi: 10.1186/1746-6148-8-48

PubMed Abstract | Crossref Full Text | Google Scholar

Wang J., Li J., Wang F., Xiao J., Wang Y., Yang H., et al. (2020). Heat stress on calves and heifers: a review. J. Anim. Sci Biotechnol 11, 79. doi: 10.1186/s40104-020-00485-8

PubMed Abstract | Crossref Full Text | Google Scholar

Woodrum Setser M. M., Brown D. W., Costa J. H. C., and Creutzinger K. C. (2025). Taste aversion as a motivational test of hunger for dairy calves. Front. Anim. Sci. 6. doi: 10.3389/fanim.2025.1602011

Crossref Full Text | Google Scholar

Keywords: aversion test, feed withholding, motivation test, quinine, animal welfare

Citation: Longer M, Woodrum Setser M, Figueroa G, Renaud DL, Costa JHC and Creutzinger KC (2025) Swapping milk for electrolytes: investigating dairy calf activity and hunger after replacing a meal. Front. Anim. Sci. 6:1694042. doi: 10.3389/fanim.2025.1694042

Received: 27 August 2025; Accepted: 20 October 2025;
Published: 14 November 2025.

Edited by:

Shahryar Kargar, Shiraz University, Iran

Reviewed by:

Golnaz Taasoli, Agricultural Research, Education and Extension Organization, Iran
Turner Swartz, South Dakota State University, United States

Copyright © 2025 Longer, Woodrum Setser, Figueroa, Renaud, Costa and Creutzinger. This is an open-access article distributed under the terms of the Creative Commons Attribution License (CC BY). The use, distribution or reproduction in other forums is permitted, provided the original author(s) and the copyright owner(s) are credited and that the original publication in this journal is cited, in accordance with accepted academic practice. No use, distribution or reproduction is permitted which does not comply with these terms.

*Correspondence: Katherine C. Creutzinger, a2F0ZS5jcmV1dHppbmdlckB1dm0uZWR1

Present address: Megan Woodrum Setser, Department of Animal Science, University of Connecticut, Storrs, CT, United States

Disclaimer: All claims expressed in this article are solely those of the authors and do not necessarily represent those of their affiliated organizations, or those of the publisher, the editors and the reviewers. Any product that may be evaluated in this article or claim that may be made by its manufacturer is not guaranteed or endorsed by the publisher.