ORIGINAL RESEARCH article
Front. Anim. Sci.
Sec. Animal Nutrition
This article is part of the Research TopicQuantifying and Mitigating Pollution from Livestock Production SystemsView all 7 articles
Enteric methane emission response to peanut (Arachis hypogaea) and cowpea haulm (Vigna unguiculata) supplementation in Zebu cattle diets
Provisionally accepted- 1Universite NAZI BONI, Bobo-Dioulasso, Burkina Faso
- 2Systemes d'Elevage Mediterraneens et Tropicaux, Montpellier, France
- 3Universite d'Abomey-Calavi Faculte des Sciences Agronomiques, Cotonou, Benin
- 4Centre de Coopération Internationale en Recherche Agronomique pour le Développement, Institut National de la Recherche Agronomique (INRA), Montpellier, France
Select one of your emails
You have multiple emails registered with Frontiers:
Notify me on publication
Please enter your email address:
If you already have an account, please login
You don't have a Frontiers account ? You can register here
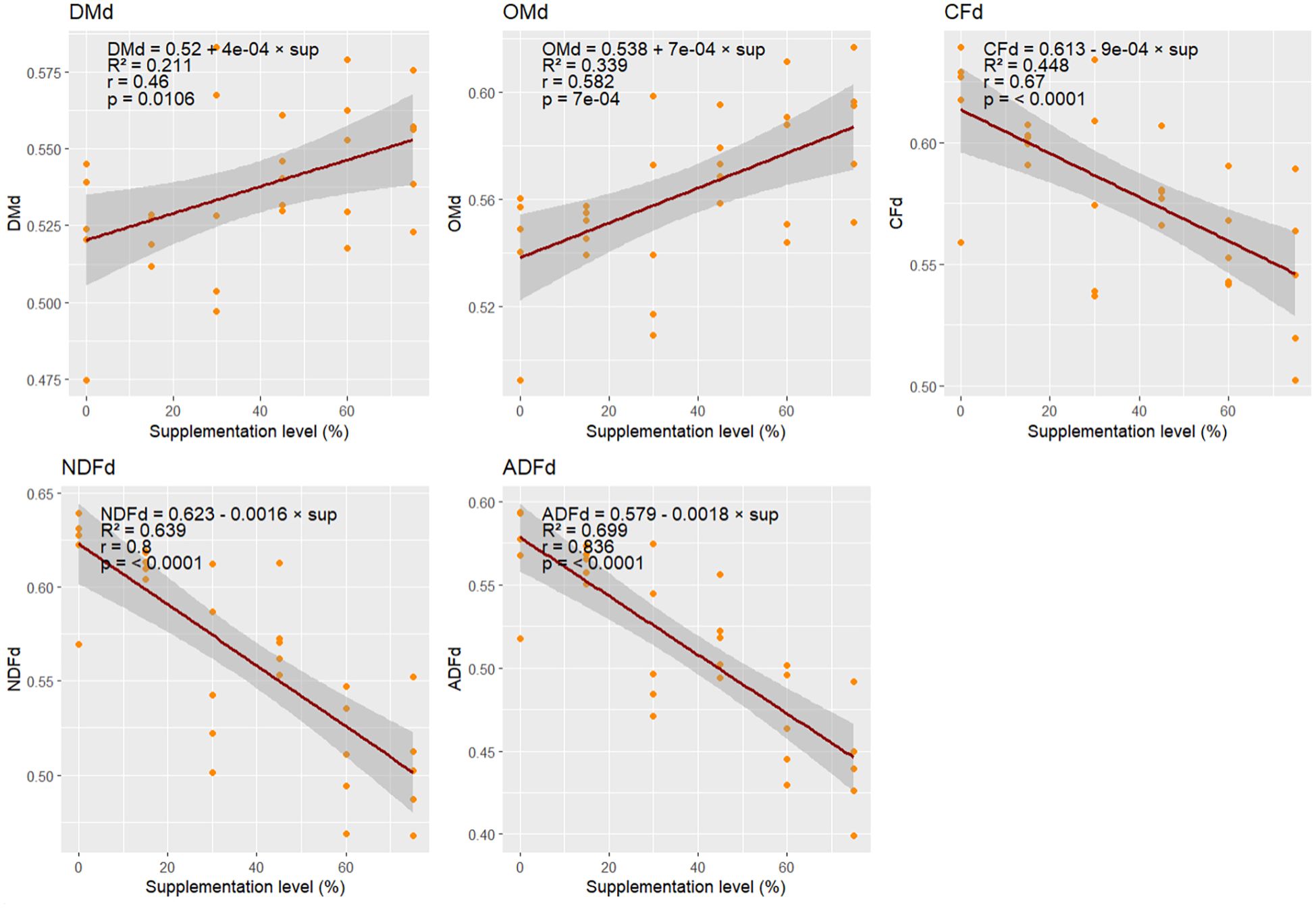
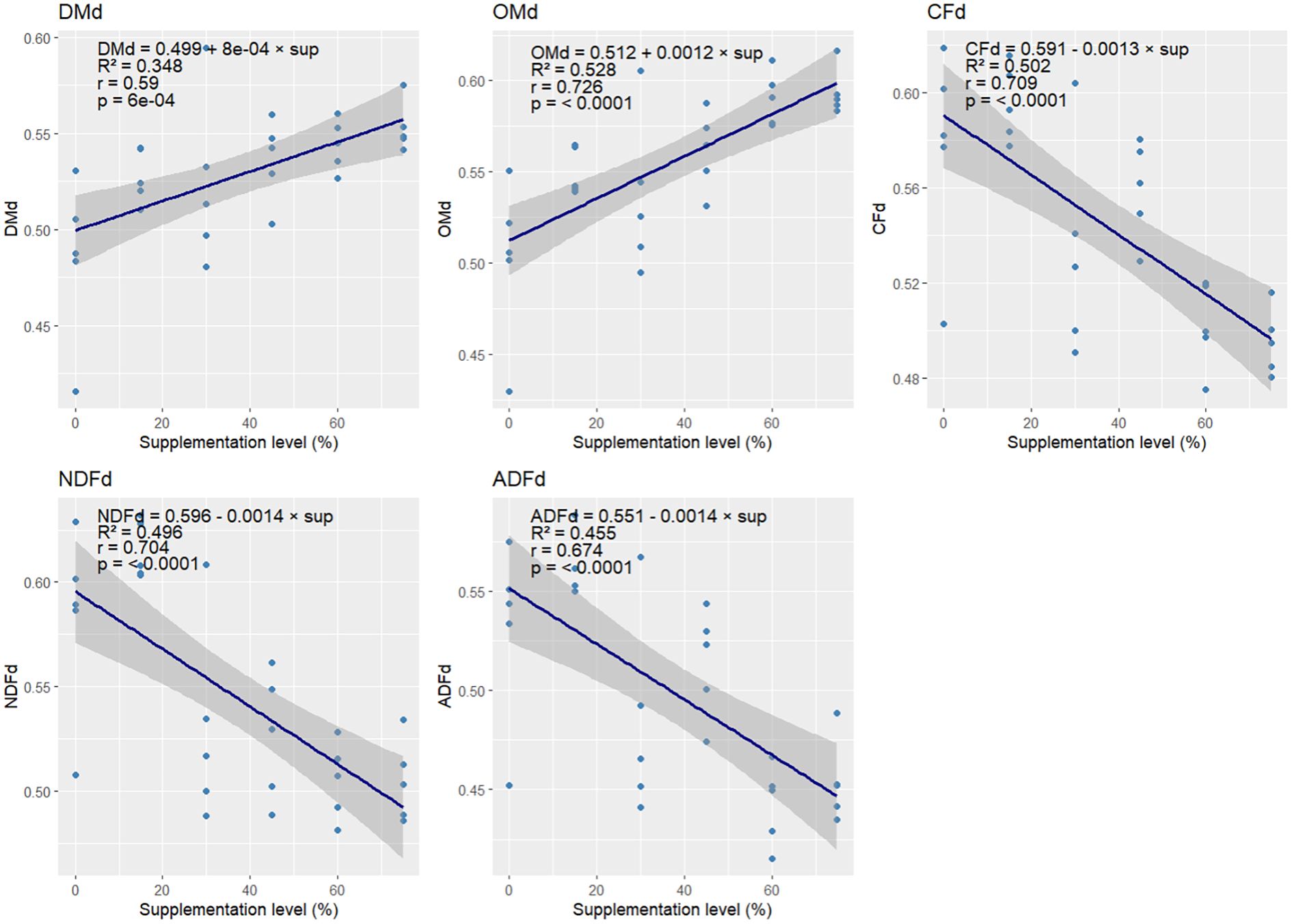
Improving the quality of ruminant rations is a promising strategy for mitigating the climate impact of livestock farming in West Africa. Legume crop coproducts such as peanut (Arachis hypogaea) and cowpea (Vigna unguiculata) haulms are a high-protein fodder commonly used by agro-pastoral farmers during the dry season. This study evaluated their potential to reduce enteric methane (eCH₄) emissions when used as supplements for Panicum maximum C1 hay. Ten Sudanese Fulani zebu bulls (49 ± 1.2 months; 183.7 ± 15.9 kg) were housed individually and fed eleven diets ad libitum: a control diet of 100% P. maximum and ten experimental diets combining P. maximum with either peanut or cowpea haulms at ratios of 85:15, 70:30, 55:45, 40:60, and 25:75. Each trial lasted 21 days, comprising a 14-day adaptation period and a 7-day data collection period for feed intake, digestibility and eCH4 emissions. The latter were measured six times daily using the GreenFeed® system. Supplementation increased protein content by 47.5% to 183.5% and ADL by 2.6% to 48.2%, while reducing the content of crude fibre, NDF and ADF. Feed intake increased by 17.8% to 49.1% (p < 0.05), and digestibility improved by 4.6% to 9.9% (p < 0.05). Peanut haulms reduced eCH₄ yield by up to 6.1% (p < 0.05), while cowpea haulms achieved reductions of 3.7-4.8% (p = 0.14). The most effective mitigation was achieved with 75% peanut or 45% cowpea haulms, confirming the potential of legume coproducts to enhance feed efficiency and reduce eCH4 emissions in West African cattle systems.
Keywords: Emission factors, Enteric methane, mitigation, fodder legumes, agro-pastoralsystems, sub-Saharan Africa
Received: 12 Sep 2025; Accepted: 31 Oct 2025.
Copyright: © 2025 SOMDA, Bastianelli, GBENOU, Houngue, Sib, Dossa, Bonnal, BOUGOUMA-YAMEOGO and Assouma. This is an open-access article distributed under the terms of the Creative Commons Attribution License (CC BY). The use, distribution or reproduction in other forums is permitted, provided the original author(s) or licensor are credited and that the original publication in this journal is cited, in accordance with accepted academic practice. No use, distribution or reproduction is permitted which does not comply with these terms.
* Correspondence: Habibou Mohamed Assouma, habibou.assouma@cirad.fr
Disclaimer: All claims expressed in this article are solely those of the authors and do not necessarily represent those of their affiliated organizations, or those of the publisher, the editors and the reviewers. Any product that may be evaluated in this article or claim that may be made by its manufacturer is not guaranteed or endorsed by the publisher.
