ORIGINAL RESEARCH article
Front. Artif. Intell.
Sec. Medicine and Public Health
This article is part of the Research TopicData Science and Digital Health Technologies for Personalized HealthcareView all 8 articles
Predicting Cardiovascular Disease Risk Using Retinal Optical Coherence Tomography Imaging
Provisionally accepted- 1University of Leeds, Leeds, United Kingdom
- 2Research Institute for Signals, Systems and Comp. Intelligence, sinc(i), CONICET-UNL, Santa Fe, Argentina
- 3University of Manchester, Manchester, United Kingdom
Select one of your emails
You have multiple emails registered with Frontiers:
Notify me on publication
Please enter your email address:
If you already have an account, please login
You don't have a Frontiers account ? You can register here
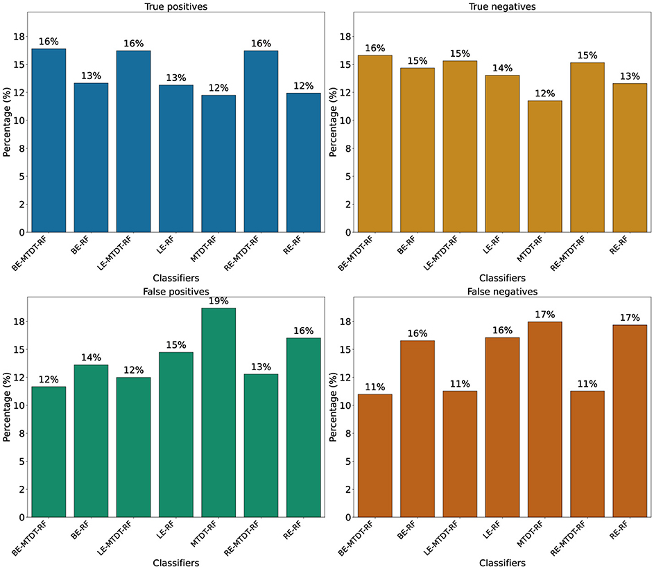
Cardiovascular Diseases (CVD) are the leading cause of death globally. Non-invasive, cost-effective imaging techniques play a crucial role in early detection and prevention of CVD. Optical Coherence Tomography (OCT) has gained recognition as a noninvasive method of detecting microvascular alterations that might enable earlier identification and targeting of at-risk patients. In this study, we investigated the potential of OCT as an additional imaging technique to predict future CVD events. We analysed retinal OCT data from the UK Biobank. The dataset included 612 patients who suffered a Myocardial Infarction (MI) or stroke within five years of imaging and 2,234 controls without CVD (total: 2,846 participants). A self-supervised deep learning approach based on Variational Autoencoders (VAE) was used to extract low-dimensional latent representations from high-dimensional 3D OCT images, capturing structural and morphological features of retinal and choroidal layers. These latent features, along with clinical data, were used to train a Random Forest (RF) classifier to differentiate between patients at risk of future CVD events (MI or stroke) and healthy controls. Our model achieved an AUC of 0.75, sensitivity of 0.70, specificity of 0.70, and accuracy of 0.70. The choroidal layer in OCT images was identified as a key predictor of future CVD events, revealed through a novel model explainability approach. In this study, we investigated the potential of OCT as a predictive imaging modality for future CVD events.
Keywords: Optical Coherence Tomography, Cardiovascular Diseases, multimodal, deep learning, Variational autoencoder
Received: 07 May 2025; Accepted: 24 Oct 2025.
Copyright: © 2025 Maldonado-Garcia, Bonazzola, Ferrante, Julian, Sergouniotis, Ravikumar and Frangi. This is an open-access article distributed under the terms of the Creative Commons Attribution License (CC BY). The use, distribution or reproduction in other forums is permitted, provided the original author(s) or licensor are credited and that the original publication in this journal is cited, in accordance with accepted academic practice. No use, distribution or reproduction is permitted which does not comply with these terms.
* Correspondence: Cynthia Maldonado-Garcia, cynthiamalgar@gmail.com
Disclaimer: All claims expressed in this article are solely those of the authors and do not necessarily represent those of their affiliated organizations, or those of the publisher, the editors and the reviewers. Any product that may be evaluated in this article or claim that may be made by its manufacturer is not guaranteed or endorsed by the publisher.
