Your new experience awaits. Try the new design now and help us make it even better

ORIGINAL RESEARCH article

Front. Artif. Intell., 12 November 2025

Sec. AI in Business

Volume 8 - 2025 | https://doi.org/10.3389/frai.2025.1671917

This article is part of the Research TopicAI-Human Co-Evolution: Feedback Loop Design, Organizational Innovation, Ethical Considerations, and Workforce DynamicsView all 3 articles

Toward a new AI winter? How diffusion of technological innovation on networks leads to chaotic boom-bust cycles

  • 1Department of Knowledge Technologies, Jožef Stefan Institute, Ljubljana, Slovenia
  • 2Center for the Study of Existential Risk, University of Cambridge, Cambridge, United Kingdom
  • 3Intelligence, Complexity and Technology Lab (ICT Lab), LIUC - Carlo Cattaneo University, Castellanza, Italy
  • 4School of Industrial Engineering, LIUC - Carlo Cattaneo University, Castellanza, Italy

Technological developments and the impact of artificial intelligence (AI) are omnipresent themes and concerns of the present day. Much has been written on these topics but applications of quantitative models to understand the techno-social landscape have been much more limited. We propose a mathematical model that can help understand in a unified manner the patterns underlying technological development and also identify the different regimes in which the technological landscape evolves. First, we develop a model of innovation diffusion between different technologies, the growth of each reinforcing the development of the others. The model has a variable that quantifies the level of development (or innovation, discovery) potential for a given technology. The potential, or market capacity, increases via diffusion from related technologies, reflecting the fact that a technology does not develop in isolation. Hence, the growth of each technology is influenced by how developed its neighboring (related) technologies are. This allows us to reproduce long-term trends seen in computing technology and large language models (LLMs). We then present a three-dimensional system of supply, demand, and investment which shows oscillations (business cycles) emerging if investment is too high into a given technology, product, or market. We finally combine the two models through a common variable and show that if investment or diffusion is too high in the network context, chaotic boom-bust cycles can emerge. These quantitative considerations allow us to reproduce the boom-bust patterns seen in non-fungible token (NFT) transaction data and also have deep implications for the development of AI which we highlight, such as the arrival of a new AI winter.

1 Introduction

In recent years, studies on innovation diffusion and technological development have increasingly focused their attention on AI, treating it as both a novel technological trajectory and a test case for established theoretical frameworks (Gherhes et al., 2023; Bertolotti and Mari, 2025). While foundational models, such as Rogers' diffusion curve or theories of technological paradigms, offer useful starting points (Rogers, 1962), AI presents distinct challenges (Dahlke et al., 2024). Its general-purpose character, rapid and recursive advancement, and interdependency between data infrastructure, computational power and communication protocols complicate traditional assumptions about how technologies spread and evolve (Vargas and Muente, 2025). The diffusion of AI is highly uneven (Madan and Ashok, 2023): rather than following a single trajectory, AI development and uptake unfold across multiple domains simultaneously, with feedback loops between users, firms, and technical communities (Madubuko and Chitsungo, 2024). Pre-existent dynamical models cannot adequately capture these features: they assume relatively independent trajectories of adoption or linear market dynamics, different from AI's diffusion (Rogers, 1962; Bass, 1969; Hung and Lai, 2016; Zhang et al., 2023). Given these novel dynamics that AI development poses, we develop new models of innovation diffusion that take these elements into consideration and are applicable both to quantifying long-established trends within the computing industry and to more recent developments.

In the theory of innovation diffusion and its models, one of the focus is on individual consumers that buy and use the products and how diffusion occurs in spreading awareness of the goods (Singh and Aggarwal, 2022). In the present study, we depart from this interpretation and try to understand how technological innovation—considered as an expansion of the dimension of a technological system other than the mere changes of its parameters, that could be perceived by users and buyers as something new and worth their interest (DeJong and de Vries, 2025), and consequently leads to its diffusion – can spur other technologies to grow and develop in the same manner. For example, the way it happened with the introduction of the transistor, which catalyzed a whole host of other technologies across the computing industry and ultimately across all industries. Especially with the development of each technology, the demand grows for related technologies, either to be created or refined. This cycle can facilitate rapid, even exponentially fast developments, such as has happened with computing technology, see Figure 1a. We consider a deeper understanding of these phenomena crucial to assess the behavior of the AI market, with the explicit purpose of understanding under which conditions a new AI winter could happen.

Figure 1
(a) Logarithmic graph showing trends from 1970 to 2020 in transistors, single-thread performance, frequency, power, and logical cores. Each feature is color-coded. (b) Graph depicting effective stock of tokens from 2020 to 2034, showing data trends for different models like Llama and Falcon-180B, with projections and median dates for stock utilization marked. (c) Line graph illustrating time versus growth curves for various stocks, indicating high diffusion with low growth rates. (d) Graph showing time versus stock growth comparisons, highlighting same growth rate with a higher growth rate for a single stock.

Figure 1. Evolution of (a) hardware performance in computing technologies (Rupp, 2021). The figure is generated independently from the original data collected in 2010 by M. Horowitz, F. Labonte, O. Shacham, K. Olukotun, L. Hammond, and C. Batten, showing long-term trends in transistor counts, performance, frequency, power, and cores, and (b) software-driven progress in LLMs (Villalobos et al., 2024), illustrating the rapid acceleration of AI capabilities. Technological growth through innovation diffusion in conditions of (c) high growth rates and low diffusion and inversely, low growth rates and high diffusion, and (d) a single stock with higher growth rate.

We begin with a model that aims to capture the dynamics of innovation diffusion between technological products. In addition to this mechanism we also aim to capture business dynamics, such as the allocation of investment and the production of the technologies. In this regard we introduce a second model that reproduces the well documented pattern of business cycles (Benhabib and Nishimura, 1979; Sterman, 2000). Finally, we merge the models into a more complete representation of the market. A surprising feature of the complete model is the emergence of transient chaos, manifested through boom-bust dynamics in conditions of high diffusion or investment.

These dynamics matter for understanding the current status and the future of AI. The model shows that uninterrupted market expansion can engender perceptions of boundless potential, thereby precipitating overinvestment, speculation, and fragility. In the event of disillusionment, regulation, or stagnation, there is a risk that these cycles may trigger a new AI winter. The implementation of policy mechanisms to moderate investment, support openness, and provide counter-cyclical funding has the potential to stabilize long-term trajectories.

The structure of the paper is as follows. It begins with a review of the relevant literature, followed by a detailed description of the methodological approach. Each model is then introduced alongside its corresponding results, with the findings from the initial models motivating the development of the subsequent ones. The paper concludes with a comprehensive discussion of the results and the final remarks.

2 Literature review

The theory of innovation diffusion is often framed and focused on the adoption of a technology by consumers (Vishwanath and Goldhaber, 2003), wherein a product is introduced, adoption grows, matures and eventually declines. The Bass model (Bass, 1969) closely reflects the introduction and growth phases posited by the theory by specifying the rate of adoption. There are different extensions of the model, with some focused on capturing the maturing and decline phases (Mahajan and Muller, 1996), the impact of geography on the diffusion (Lengyel et al., 2020; Di Lucchio and Modanese, 2024) or the different awareness consumers might have of the good (Wang et al., 2006; Fibich and Golan, 2023).

Innovation diffusion can be driven both by endogenous and exogenous elements (Gasparin et al., 2019). Regarding endogenous effects, the most relevant are feedback and product misperception (Paich and Sterman, 1993), cultural barriers (Rolfstam et al., 2011), the stock of human capital (Romer, 1990), and rational herding derived from over-optimistic perspectives (Schaal and Taschereau-Dumouchel, 2023), which can alone lead to aggregate fluctuations and boom and bust cycles (Schaal and Taschereau-Dumouchel, 2023). On the other hand, exogenous elements include external disruptive elements (Roman, 2023b), such as the COVID-19 pandemic (Jin et al., 2021), natural calamities (Miao and Popp, 2013), or wars (Brunk and Jason, 1981; Roman and Bertolotti, 2022).

As we will show later, combining innovation diffusion with business cycle dynamics can lead to the emergence of chaos. Chaos in data on technological innovation, such a time series of patents, is usually determined by means of local Lyapunov exponents (Hung and Lai, 2016; Zhang et al., 2023). The use of patent data has revealed chaotic dynamics underlying industries such semiconductors, software and biotechnology (Hung and Tu, 2011). Business cycles (Kondratieff, 1979) have long been studied in connection to the spread of innovation (Jenner, 1991; Knell and Vannuccini, 2022) and how chaos can emerge from their interaction (Houchin and MacLean, 2005; Stengers and Prigogine, 2018). Prior empirical research has analyzed the role of the organizational feedback loop in the emergence of chaos in an innovation market (Hung and Lai, 2016), showing that asynchronous updating of the innovation R&D strategy can prevent the system evolution from turning into chaos (Zhang et al., 2023). The market's information flow is often volatile in a way that challenges conventional modeling assumptions (Brody et al., 2011). Conversely, a fractal statistical-analysis approach, grounded in chaos theory (Roman, 2021), can effectively provide a better understanding the market's nonlinear fundamental characteristics (Ke et al., 2023; Bertolotti and Mari, 2023).

A possible example of this is the Cournot duopoly (Cournot, 1838), where, if the two firms has a sufficiently large cost differential, the junction of the two non-linear optimal responses would lose stability and chaos could emerge in the long term (Puu, 1991), but chaotic behavior could be avoided in the specific case where both firms share the same cost functions and owns no prior expectations (Lamantia et al., 2022). The chaos in such system arises from the increased sensitivity to behavioral parameters (i.e., the production function) of the two firms (Bischi et al., 1999).

The spread of technological innovation is also affected by the topological structure of the market network (Choi et al., 2010), as happens with other diffusion phenomena (Dunbar, 2020). This effect seems to be moderated by the strength of social interactions (Delre et al., 2010; Kocsis and Kun, 2011), the existence of clusters (Kocsis and Kun, 2011; Bohlmann et al., 2010), and network properties such as centrality (Sisodiya, 2012; Chuluun et al., 2017) and density (Chuluun et al., 2017). The phenomenon has also been studied by means of computer simulation, especially to gain a better understanding of feedback loop effects (Abrahamson and Rosenkopf, 1997) and to take into consideration the effect of individuals' heterogeneity in the innovation diffusion (Bohlmann et al., 2010).

Nevertheless, an agreement does not exist regarding the specific effect of topology. This could be due to two reasons. First, the same phenomenon was investigated by very different scientific communities (Sznajd-Weron et al., 2013). As an example, recent work (Arieli et al., 2020) proposes a game-theoretical analytical analysis where a small star-shaped network is analyzed. This approach differs sharply from the one of the complex network community (Newman, 2003b), that usually considers the Erdős–Rényi structure (Erdos et al., 1960) as a baseline and compares it with structures more adherent to real social networks (McCullen et al., 2013), such as small-world (Watts and Strogatz, 1998) or highly-clustered (Newman, 2003a) networks. Second, technological innovation is a broad topic that could include elements different from each other, even from a structural point of view (Gasparin et al., 2019). Given that, it is not surprising that different results emerge.

Despite the growth of AI applications across sectors, the literature on the dynamics of AI diffusion remains surprisingly underdeveloped. While conceptual frameworks abound, only a limited number of studies offer formalized or quantitative diffusion models specific to AI technologies (Heim, 2025). The Bass model was used to explore the diffusion of AI-related patents across the U.S. innovation ecosystem, integrating topic modeling to measure the technological maturity of various AI domains over time (Lee and Oh, 2020), showing that AI technologies exhibit heterogeneous life cycles, with adoption trajectories highly sensitive to domain-specific incentives. Rogers' diffusion of innovation theory has also been adapted to the context of AI to investigate the adoption of AI across four organizational groups—administrators, faculty, staff, and students—within a U.S. higher education institution (Phillips, 2025), showing that AI adoption outpaces classical diffusion benchmarks by a factor of 2.34. A similar epidemic-based spreading model has been implemented using firm-level data, studying over 380,000 enterprises in Germany, Austria, and Switzerland to identify adoption mechanisms for AI and other digital technologies (Dahlke et al., 2024). Finally, a System Dynamics model of AI adoption in a specific context (a financial company) also exists (Kumari et al., 2021).

3 Methods

In this work we introduce and study the behavior of three models aimed at understanding the diffusion of technological innovation. The study is theoretical in nature, focused on exploring the dynamics of the innovation system, however we do aim to capture some broad trends seen in empirical data, see Figures 1a, b.1 The main emphasis is on the dynamics of technology and technological products with the aim of determining the regimes where innovation diffusion and market mechanisms provide a stable and reliable trajectory or where the opposite might occur.

3.1 Model overview

The three models introduced study the diffusion of technological innovation in different and progressively more sophisticated ways. The first model focuses on technological diffusion with the aim to capture the basic features seen in the development of computing technology and related sectors. A core aspect of the model is the assumption that the dependence between different technologies can be captured by a network, which is a versatile tool in modeling socio-technical relationships (Roman and Brede, 2017; Roman and Bertolotti, 2023). The second model aims to quantify the business cycle that a given product undergoes (Hallegatte et al., 2008). In this model, supply, demand and investment are the variables of interest and the model is meant to be general, showcasing the economic dynamics for any given product. The specific functional forms in the model likely restrict it in practice to certain industrial sectors, however its overall architecture is intended to be prototypical and potentially adapted for any problem of interest. Finally, the third model combines the previous two models to provide insights into the market dynamics of technologies or products.

For the network models, for simplicity, we assume that nodes are homogeneous, namely the parameter values are the same throughout the network, and we only focus on the emergent dynamics due to the network features (Bertolotti and Roman, 2024; Bertolotti et al., 2025). In the present study we report the results for random regular graphs, but we have checked the robustness of our findings across different degree distributions (star, scale-free) and confirm consistency. The provided code includes options for different topologies and allows for immediate testing.

For each model, we present and contrast the main dynamical regimes; we identify the key parameters and their values that characterize each behavior. Where appropriate, we compute the bifurcation diagrams when varying the critical parameters. The models we build are dynamical systems expressed as systems of ordinary differential equations. These modeling tools are appropriate to capture causal mechanisms (Sterman, 2000) and how they manifest over time in the behavior of the variables of interest, such as the supply, demand and investment stocks. We hope that the gradual, piece-wise introduction of the different components of the model, namely the pure diffusion, then the business cycle and finally the full market structure, aids the communication and understanding of the overall dynamics.

3.1.1 Pure diffusion model

Technological innovation follows an exponential growth trajectory over time until a saturation point is reached (McNamee and Ledley, 2017). At the saturation stage the performance metrics, production or demand for technology stagnate. New technologies, products or increased demand (e.g., from marketing or population growth) can catalyze the development of older technologies and lead to a new growth period (Yli-Renko and Autio, 1998).

This trend can be observed in the computing technologies, see Figure 1a, where the typical power, frequency and single thread performance are seen to have reached a plateau (or significant slowdown from the previous decades). The transistor count however has avoided this plateau due to an increase in the number of cores. Even recent developments such as LLMs are susceptible to this saturation dynamic, see Figure 1b.

So, we notice a dynamics where: (1) technological growth is monotonic but not strictly as it, (2) can reach a plateau, and (3) development in related technologies can stimulate growth again. Given the dynamics described in (1) and (2) we propose that a given technology grows logistically:

i=ryi(1-yiui)u.i=σRelu(neighbors kyk-yi)    (1)

In Equation 1 the variable yi can represent a given metric of performance, the volume of production or the demand for a given technology i (or product), while the variable ui is the carrying capacity of the market for the given technology. The dynamics of u in Equation 1 is given by a diffusion mechanism that only promotes non-negative growth rates so that technological development remains monotonic, as seen in Figure 1. The function Relu(x) = x if x ≥ 0 and zero otherwise.

The key parameters in the model are the individual growth rates ri and diffusion rates σi of the different technologies. Figures 1c, d show the interplay and contrasting dynamics of different rates of growth and diffusion. For simplicity, we choose a common value for ri = r and σi = σ. The dependence between technologies is represented through an undirected graph wherein the neighbors of a given technology are the closest related/impacted technologies. The results shown in Figure 1 are for a random regular graph which we consider to be representative of the dependency between different technologies (Féray, 2018). The network has N = 10 nodes, with mean degree equal to 5, which means each technology depends on average on the five closest related products. Similar results hold for other values of N or of the average degree.

3.1.2 Business cycle model

Beyond the technological dynamics we focused on in the previous section we need to account for economic factors that can impact innovation. So, we propose a model of economic dynamics consisting of a system of differential equations for the supply x, the demand y and the investment z. Existing models in both the business model of management domain and the business cycle modeling literature are not well-suited to our goals. Models related to Industry 4.0 and 5.0 are often highly specific or overly complex (Lyneis, 2000; Degres et al., 2004; Manenzhe and Telukdarie, 2021; Medoh and Telukdarie, 2022; Velandia et al., 2023), and do not reproduce emergent business cycles. Conversely, models explicitly focused on business cycles tend to be structurally rich and technically intricate, whereas our aim was to develop the simplest possible model that still captures cyclical behavior (Chow and Choy, 2009; Taniguchi et al., 2009; Billio and Petronevich, 2017; Kroujiline et al., 2021).

The supply x and investment z are directly observable variables as the monetary costs and the production of goods are tangible. However, the demand y is not generally known and is often unpredictable; there are innumerable examples of product launches that have failed due to low demand (Victory et al., 2021), whereas there is no generally established recipe for best-sellers in any market (Bhardwaj et al., 2023). Efforts to replicate past successes by formulaic approaches often fail, with numerous examples from the movie industry, book sells, games, phones, PCs and other products (Stokely, 2005). A product launch is often a gamble and success (e.g., is in high demand) depends on consumer preferences, existing niches and products, company reputation, marketing and investment strategy (Hultink et al., 2000).

The business cycle model is given by:

=bz-dx=ry(1-yu0)-α1xyż=α2xy-cz    (2)

The supply x is affected by two factors: the bz term implies that supply grows in proportion to investment, while the −dx term means that a supply boom leads to a subsequent decrease. While the demand y is not generally known, we can assume that the considered good is perishable or it can be consumed, so the demand recovers over time due to a replenishment need. A simple example is food consumption: after a meal the demand for food is fully satisfied (so the demand drops to zero), whereas after a time the demand recovers as we get more hungry. This dynamic can also be seen in the cyclic production of goods in series (e.g., cars), or generations (e.g., game consoles) or versions (e.g., software) (Beraja and Wolf, 2021).

The demand y satisfies an equation incorporating logistic growth and a simple interaction such as the one appearing in the Lotka-Volterra predation model. The logistic term ry(1−y/u) means that demand recovers over time (if no supply satisfies it). The term −α1xy implies that the demand is met (so it decreases) to the extent that supply encounters demand. If a product x has no visibility to consumers (e.g., poor marketing) then it is unknown and cannot meet demand, hence α1 = 0. Similarly, if supply x is low then demand is only slowly met. There are numerous possible choices of functional forms for the interaction between supply and demand (Huang et al., 2013), however the predator term xy is one of the simplest options that gives realistic dynamics (such as oscillations), while also taking into consideration the existence of relationships between the modeled entities (buyers and sellers).

The investment z equation also has two parts. The term α2xy signifies that investment increases if demand y is high or the market is producing x in large volumes. Large investments are followed by a decrease (Demirhan et al., 2005), hence the term −cz. In general α1≠α2 however for simplicity we assume equality α1 = α2 = α. The rationale for this is that once a product successfully engages with consumer demand (and so becomes profitable), then there's a strong market signal to increase investments in the product in proportion to how much demand is being met (Condorelli and Padilla, 2025), i.e. proportional to xy. For example, the success of the iPhone spurred a huge investment and market increase in smart phones (Mallinson, 2015).

3.1.3 Techno-landscape market model

Finally, we combine the two previous models to obtain a dynamical system more adherent to how related technologies evolve in response to each other and how market signals affect the overall behavior of the network. The complete model is given by:

i=bzi-dxii=ryi(1-yiui)-αxiyiżi=αxiyi-cziu.i=σRelu(neighbors kyk-yi)    (3)

The supply xi and investment zi dynamics is the same as Equation 2 applied to each node i (which is a technology or a product). The demand and market capacity satisfy the dynamics of Equation 1 except that now demand can be satisfied by supply through the term −αxiyi term.

3.2 Experimental design

The models were implemented in Julia with the DifferentialEquations library (version 7.16.1). The decision regarding the programming code depends on the possibility of facilitating faster computation than other popular languages such as Python, providing a variety of libraries suitable for scientific computing (Bezanson et al., 2017), and at the same time maintaining high readability, which is important for replicability. We solve the models using the 4th-order Runge-Kutta method with a time step of 0.25.

The parameters, listed in Table 1, were chosen to illustrate the typical behaviors exhibited by the models and are not intended to be a faithful calibration to real systems. However, the structure of the models and their qualitative behavior (steady states, oscillations, chaos) in specific circumstances are meant to capture dynamics similar to that seen in the real world, such as for technological development and NFTs trends in transaction activity, see Figures 1.

Table 1
www.frontiersin.org

Table 1. Parameter definitions and baseline values used in the diffusion and market dynamics models.

4 Results

4.1 Pure diffusion model

Firstly, as a common feature across different scenarios we can see the general dynamics of the model, according to which technologies grow but reach a saturation point. However, due to higher development of other technologies the stagnated technologies can restart growing. In Figure 1c we contrast two cases: the first where the growth rate is set to a high value and the diffusion rate is set to a low value, and the second is the opposite situation, where the diffusion rate is higher and the growth rate is lower. We notice that low growth rates and high diffusion rates lead to sustained growth for a much longer time period compared to the high growth/low diffusion case. In addition, a significantly higher level of development is reached for all the technologies. To further illustrate this point, in Figure 1d we only increased the growth rate of a single technology and still notice a noticeable decline in overall development.

Hence, somewhat surprisingly, high growth rates and low diffusion lead to faster stagnation at a lower development level for the interconnected technologies. Implications of these dynamics are expanded upon in the Discussion section.

4.2 Business cycle model

Figure 2 illustrates the dynamical behavior of the business cycle model introduced in Equation 2. When the investment parameter α is below a critical threshold α < αc, the system stabilizes at a steady state, as shown in Figure 2a. However, increasing α beyond this threshold induces persistent oscillations, as shown in panel Figure 2b. Figure 2c shows these oscillations as a stable limit cycle in phase space, while Figure 2d presents the bifurcation structure: the system transitions from a stable fixed to a limit cycle as α increases. Together, these dynamics demonstrate how excess investment can destabilize markets, even in the absence of external shocks.

Figure 2
(a) A line graph displaying demand (green), supply (blue), and investment (red) over time, showing oscillations that stabilize. (b) Another line graph with similar metrics but displaying more frequent oscillations. (c) A 3D contour plot with axes labeled X, Y, and Z, showing elliptical contours. (d) A biforcation diagram with a curve comparing computed and analytic results of demand extrema against a scaled investment rate, showing a decreasing trend intersecting with an analytic curve.

Figure 2. The dynamical behavior exhibited by the business cycle model (Equation 2): (a) reaches a fixed point (steady state) when α < αc, (b) sustained oscillation when α > αc. (c) Stable limit cycle and trajectory in phase space. (d) Bifurcation diagram (black dots) and equilibrium values for the demand (solid green).

Depending on the parameter α, there are in total three dynamical regimes of the system. Let α0=cdbu0=10-3 and:

αc=c2+3cd+d2+c4+6c3d+11c2d2+4c2dr+6cd3+4cd2r+d42bu0     =5×10-3    (4)

If α < α0 then the investment rate is too low and the demand is not being satisfied, hence x = 0 and y is maximum, see Figure 2d. If α0 < α < αc then the system reaches an interior stable equilibrium (fixed point), see Figure 2a. If α>αc then sustained oscillations appear as a limit cycle, which can be interpreted as business cycles (Benhabib and Nishimura, 1979), see Figure 2b. Hence, when increasing the α parameter the system undergoes a supercritical Hopf bifurcation leading to stable limit cycle, seen in Figure 2c. The critical value is given by αc, which we determined analytically in Equation 4.

4.3 Techno-landscape market model

The results of the simulation of the combined diffusion and business cycles models are available in Figure 3. Specifically, it is possible to observe that, depending on the α and σ parameters, we obtain two dynamical regimes: one where we get a stable fixed point, see Figure 3a, and one where we obtain oscillatory behavior, in Figure 3b. The single-node dynamics in Equation 2 shows either a stable fixed point or a limit cycle with a clear periodicity, see Figure 2. In the network case modeled by Equation 3, the dynamics for higher values of either α or σ is chaotic with boom-bust cycles. This can be seen in Figure 3c where we plot the ratio max(y¯)-min(y¯)max(y¯) where y¯ is the average value of demands across the market. If the ratio is 0 then the maximum and minimum value coincide, which occurs in a steady state. If the ratio is 1, that indicates large oscillations where the maximum is much larger than the minimum. In Figure 3d we have included NFTs data whose patterns over time resemble those in Figure 3b. We detail this comparison in the Discussion section.

Figure 3
Chart group with four panels. (a) Line graph showing the relationship between time and variables y1 to y10. (b) Line graph displaying time against variables y1 to y10 with multiple peaks. (c) Heatmap with investment rate vs. diffusion rate, darker areas indicate higher values. (d) Line graph showing the number of transactions from July 2018 to November 2020 for NFT like Cryptokittie and Superrare.

Figure 3. Market model (Equation 3) dynamics: (a) convergence to a steady state for α=α0=10-3 and σ = 10−3, (b) chaotic boom-bust cycles for α = 10−3 and σ = 5 × 10−3, (c) steady-state regime (white) and chaotic boom-bust cycle (black). Qualitatively identical regime maps are obtained for quasi-regular and hub-dominated (scale-free-like) topologies; only the boundary shifts (lower in hub-dominated networks). (d) NFTs transactions data where the number of transactions serves as a proxy for demand.

5 Discussion

We have introduced and explored the behavior of three models that illustrate different behavior as relating to technological and business dynamics. On a more general perspective, all the models we have presented are theoretical in nature; nevertheless, they do reflect qualitative features seen in real data (Epstein, 2008). The model is built upon functional relations that assume causal links between the real-world properties represented by the variables. Our aim was to reproduce observed phenomena in a minimal way, providing a straightforward cause-effect explanation. The simplicity of this explanation directly reflects the deliberately elementary structure of the models (Edmonds, 2017).

In particular, the dynamics of the pure diffusion model reproduce the trends in technology, see Figures 1a, b. The pure diffusion model can be thus considered representative of long-term, large-scale growth of the entire computer industry (and similar to other mature sectors) (Mukhopadhyay et al., 2009). On the other hand, the second model introduces instead business cycles, a well-known pattern in economic data (Kondratieff, 1979), and it aims to generate such features in a simple manner. More specifically, we observed a chaotic dynamics in the full market model, with a quite erratic behaviour that matches well the boom-bust patterns often seen in NFTs data (Nadini et al., 2021). We can interpret this to mean that investment or diffusion rates are high within the NFTs market, consistent with the characteristic hype of it (Baklanova et al., 2024). Beyond this qualitative match, the model suggests that the observed NFT market dynamics can be understood as a case of transient chaos, where repeated overshoots ultimately lead to collapse. Also, it highlights the high sensitivity of the system to small variations in investment or diffusion rates, a feature consistent with the structural fragility of NFT markets; finally, the comparison shows that while such digital markets unfold on much shorter time scales, they share the same underlying mechanisms observed in longer-term technological sectors. While there have been other boom-bust events, notably the “.com” and AI winter of the 80s (Menzies, 2003), the NFTs time scale is much shorter, which facilitates data collection and more direct comparison. While the results show that diffusion and investment may induce transient boom-bust dynamics even in the absence of paradigm crises, we do not suggest inevitability; rather, we delineate conditions in which the likelihood of winters increases.

In general, a qualitative comparison can be drawn between the simulated dynamics and the empirical datasets considered. In the case of microprocessors, the plateau in single-thread performance and clock frequency, followed by renewed growth through multicore architectures, mirrors the role of diffusion (ui) in lifting stagnated trajectories (yi). For LLMs, phases of rapid progress could be interrupted by compute or data bottlenecks, after which advances in adjacent domains (e.g., data practices, deployment infrastructure) effectively increase ui and enable the next phase of expansion. What we observe now in the data is, for obvious reason, the first part of this trend. Finally, NFTs display highly asymmetric boom-bust cycles, with sharp collapses and increasing amplitude in early stages, closely resembling the transient-chaos regime of the model under high diffusion (σ) or investment (α).

The following discussion now turn to an analysis of the observed behavior of the three models.

Firstly, we considered a model for the diffusion of technological innovation. The model demonstrates that, counter to common business incentives, higher intrinsic growth rates may lead to earlier stagnation unless diffusion mechanisms are in place, when exogenous effects from outside the market are not taken into consideration (Biswas et al., 2015). In particular, the high growth/low diffusion scenario can be considered illustrative of a market with strong endogenous incentives for corporate growth (with more takeovers and mergers, hence fewer and bigger companies) and protective/restrictive legislation on intellectual property rights (less sharing of knowledge, copyright and patent rights persisting for long periods of time). An illustrative example of this regime is the development of AI in the private market, which can be structurally predisposed to unsustainable trajectories and premature saturation. The low growth/high diffusion environment is one where the growth of enterprises is not a priority and knowledge sharing and diffusion of findings is favored, with open practices regarding code, data and findings (Du et al., 2023). The academic environment with universities and research institutes more closely aligns with this regime than companies (Cheah et al., 2020).

Secondly, we introduced a business cycle model whose structure captures two aspects of economic dynamics. On one hand, the evolution of production over time and the associated costs are directly measurable and can be tracked (Sterman et al., 2015). This informs the structure of the supply and investment variables. However, the dynamics of demand, the way supply satisfies it and the impact of marketing and investment strategies are not directly observable or measurable and can vary drastically across different industries (Islam and Scott, 2022; Abdulkareem and Petersen, 2021). For example, in oil exploitation, short-term production increases are prioritized (Costa Lima et al., 2010) while in the pharmaceutical and automotive industry investments and returns are planned over the long-term (Montoya et al., 2010; Laabs and Schiereck, 2010). In the case of AI, certain applications such as language models exhibit rapid adoption (Polyportis, 2024; Hilling et al., 2025) and the actual market signals are often driven by hype cycles, investor sentiment, and speculative expectations rather than grounded, measurable consumer needs (Kieffer et al., 2023; LaGrandeur, 2023; Ahmadirad, 2024). Furthermore, the speed of product iteration and the lack of standardized performance metrics across use cases make it difficult to assess true demand saturation or long-term value creation (Cavalcanti et al., 2024; Kwa et al., 2025), adding a layer of endogenous unpredictability. While the proposed business cycle model has certain debatable elements (depending on what industry is being considered), to the best of our knowledge it represents the simplest three dimensional quadratic system with realistic dynamics of supply, demand and investment. As such, it can form both a research and pedagogical tool as it allows for analytic treatment and furthermore, from an economics perspective, it moves beyond the focus on market equilibrium to a more dynamic picture (Buldú et al., 2019).

Lastly, we have build a model of diffusion of technological innovation incorporating business dynamics. Provided that the investment and diffusion rate parameters have lower values, as in the bottom-left corner of Figure 3c, then we arrive at a steady state. However, in contrast to the pure diffusion model, there is an initial overshoot followed by a decrease that eventually leads to the equilibrium (Fenn, 1995), see Figure 3a. If the investment rate is increased, then oscillations appear as in the simple business model, but the critical threshold is now lower. Furthermore, keeping the investment rate constant and increasing the diffusion rate also leads to a boom-bust regime, where chaotic dynamics emerges over time, see Figure 3b. However, the chaotic regime is transient and eventually the demand collapses to zero (Nadini et al., 2021; Roman, 2023a).

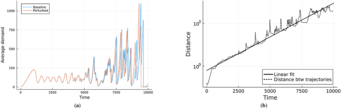
To make the instability explicit, Figure 4a reports two runs of the networked market model (3) whose initial conditions differ by a small perturbation of the demand state. The observable shown is the network average demand, ȳ(t)=1Niyi(t). Despite near-identical starts, the trajectories separate rapidly when parameters are in the boom–bust region of Figure 3c (e.g., α = 10−3, σ = 5 × 10−3; cf. Figure 3b), indicating sensitivity to initial conditions. In Figure 4b we quantify this by the standard two-trajectory estimate of the (finite-time) Lyapunov exponent λ, obtaining a positive value λ≈10−3 over the time window shown. A positive exponent implies local exponential divergence of nearby trajectories, a hallmark of deterministic chaos, and is consistent with the irregular boom–bust oscillations seen in Figure 3b. Together with the regime map in Figure 3c, these diagnostics support our characterization of the high-σ/high-α region as transiently chaotic.

Figure 4
Panel (a) displays a line graph showing average demand over time, comparing baseline and perturbed data. Panel (b) shows a log-scale line graph of the distance between trajectories over time, including a linear fit.

Figure 4. (a) Plot of demand averages with different initial conditions, which differ by 10−2. (b) Computation of Lyapunov exponent with a positive value of 10−3, showing an exponentially growing distance between the trajectories. This indicates a chaotic regime for α = 10−3 and σ = 5 × 10−3.

We repeated the analysis of Figure 3 while keeping the number of nodes N and the mean degree fixed, comparing (i) quasi-regular graphs with a narrow, approximately Gaussian degree distribution (e.g., random-regular) to (ii) hub-dominated networks with heavy-tailed, power-law degree distributions (scale-free-like). The two-regime picture in Figure 3c persists in both cases: a stable region at low diffusion/investment and a boom–bust region with irregular oscillations once coupling is strong enough. Degree heterogeneity shifts the threshold: hub-dominated networks lower the transition boundary in either σ or α, so chaotic transitions appear at weaker coupling. Intuitively, highly connected hubs synchronize and amplify local booms, making the system more sensitive.

From a qualitative perspective, we can conceptualize policy/managerial interventions as changes to the effective network topology, both the baseline coupling σ and the degree heterogeneity. Open standards, interoperable interfaces, and data portability increase connectivity while enabling many-to-many links; when they disperse centrality (flattening the degree distribution), they raise the threshold for boom–bust and moderate cycle amplitude by limiting hub-driven amplification. By contrast, platform consolidation or winner-take-most procurement concentrates links on a few hubs, lowering the boundary in Figure 3c and making chaotic transitions more likely. Consortia and shared infrastructure can act as “bridges” that shorten paths and improve coordination; designed to avoid single points of control, they damp oscillations via risk-sharing and capacity smoothing, whereas highly centralized consortia risk reproducing hub-dominance effects.

The two regimes, of either approaching a steady state or chaotic, can also be compared in terms of the market capacity u, looking at how it evolves over time. In the stable regime the market capacity reaches a steady state as well, whereas in the chaotic case the capacity keeps increasing. While the market capacity grows larger, this does not imply boundless growth, rather it means that the demand recovers quickly which spurs a new a rapid growth in investment and supply; the race to satisfy the demand leads to a boom and ultimately a bust. While the underlying market capacity remains large it harbors an inherent volatility in any attempt to tap into it: every subsequent boom is generally larger than prior ones and similarly for the bust. This reflects an old adage (Tainter, 1988; Wright, 2004): “Each time history repeats itself, the price goes up.”

These dynamics are particularly relevant when considering the future of AI (Oosthuizen, 2022). The model shows that a persistently growing market capacity does not equate to sustainable development, and that it can create the illusion of limitless opportunity, encouraging overinvestment and speculative expansion (Bloom et al., 2020). As each cycle amplifies both the boom and the bust, the system becomes increasingly more fragile at each iteration. In such a context, a sudden collapse in demand, driven by disillusionment, regulatory shocks, or technological stagnation, could trigger a new AI winter (Hendler, 2008). From a policy perspective, this calls for mechanisms that moderate the pace of investment and enhance diffusion across technological domains, which, due to short-term economic and geo-political competition, is exactly the opposite of what is happening right now. Reducing the investments rates, support open standards, interoperability, and knowledge-sharing practices may help distribute innovation. Moreover, counter-cyclical public funding—supporting foundational research during hype downturns—could stabilize long-term trajectories. Without such interventions, the AI sector risks repeating the historical pattern of overshoot and collapse, but with broader consequences for economic stability, public trust, and innovation ecosystems.

Moreover, it is relevant to discuss the relationship between our results and the AI Winter of the 1980s. While we acknowledge that historical winters were not caused exclusively by economic dynamics, but also by deeper cognitive and paradigmatic crises, our model captures structural mechanisms that contributed to the downturn and thus provides a complementary perspective. First, our results show that excessive investment amplifies both booms and busts. This hype-investment cycle echoes the surge of expectations around expert systems (Gill, 1995), where heavy industrial and governmental funding created unsustainable growth that collapsed once limitations became clear. Second, we show that high intrinsic growth combined with low diffusion accelerates stagnation. In the 1980s, research was concentrated in a few firms and laboratories (Grimson and Patil, 1987), with limited openness and standardization (Phillips, 1999), reproducing the unsustainable trajectories reflected in our model. Third, we highlight how strong interdependencies across technologies can generate systemic fragility: the AI ecosystem in the 80s was overly dependent on a narrow symbolic paradigm (Nilsson, 2009), which made it vulnerable when that paradigm faltered. Finally, our business cycle model emphasizes the volatility of demand, shaped by hype and reputation rather than stable needs. This mirrors the speculative character of the expert systems market (Goldstein, 1995; Harmon, 2022), which collapsed once performance failed to meet expectations.

6 Conclusion

This study introduces a set of interconnected dynamical models to better understand the diffusion of technological innovation and the economic forces shaping its trajectory. By integrating models of innovation diffusion, business cycles, and networked market dynamics, we capture a range of behaviors from stable growth to oscillatory and chaotic regimes.

More specifically, the results of the three models can be summarized as follows. The pure diffusion model reproduces the long-term stagnation and renewal cycles observed in mature technologies, showing that higher intrinsic growth combined with low diffusion leads to earlier stagnation, while lower intrinsic growth combined with stronger diffusion mechanisms supports longer and more sustainable development trajectories. The business cycle model captures the transition from stability to oscillations as investment surpasses a critical threshold, reproducing the endogenous emergence of cycles well documented in economic theory. Finally, the combined techno-landscape model demonstrates that when both diffusion and investment rates are high, transient chaotic boom-bust cycles appear. Importantly, this behavior is robust to network topology, holding network size and mean degree constant, the same two regime structure, namely a stable regime at low diffusion and investment and an irregular boom-bust regime once coupling is sufficiently strong, emerges in both quasi-regular and hub-dominated networks. Higher degree heterogeneity lowers the diffusion and investment thresholds for chaos, as highly connected hubs synchronize and amplify local booms, thereby increasing overall system sensitivity. This finding is consistent with empirical patterns such as those observed in the NFT market and suggests that structurally similar dynamics may underlie technological fields such as AI.

Notably, our findings suggest that high investment or diffusion rates, typically seen as drivers of innovation, can lead instead to instability and boom-bust dynamics. These outcomes mirror real-world patterns in rapidly evolving sectors like NFTs and raise caution for areas such as AI development, where hype and aggressive funding often outpace sustainable growth. Our analysis indicates that diminishing returns, architectural limits, and data constraints may lead to a downturn in AI investments, echoing structural patterns of past cycles. While not predictive in a temporal sense, the model highlights generative mechanisms that make an approaching “AI winter” structurally plausible, even if its timing and severity remain uncertain. The connection with the historical AI winter of the 1980s is particularly relevant: although that downturn was also driven by deeper cognitive and paradigmatic crises, our models capture complementary structural dynamics, such as excessive investment, limited diffusion, and systemic fragility, that reinforce the likelihood of collapse. From a broader perspective, these insights carry implications for both research and policy. Open standards, interoperability, and knowledge-sharing practices can help mitigate premature stagnation by strengthening diffusion, while counter-cyclical public funding may stabilize long-term trajectories by supporting foundational research during downturns. Future empirical work could further test these mechanisms, for example by integrating maturity indicators such as TRL, MRL, or CRL as dynamic inputs or calibration points, and by exploring the interaction of structural cycles with cognitive and semantic aspects of AI development.

In conclusion, the models presented here provide a conceptual foundation for understanding how technological diffusion and investment interact to shape long-term trajectories. They highlight that, under present conditions, a new AI winter is not inevitable but remains structurally plausible. Recognizing and moderating the underlying mechanisms may therefore be essential to fostering more resilient technological ecosystems.

Data availability statement

Publicly available datasets were analyzed in this study. This data can be found at: doi.org/10.5281/zenodo.17335983.

Author contributions

SR: Conceptualization, Project administration, Investigation, Supervision, Validation, Methodology, Writing – review & editing, Visualization, Software, Writing – original draft, Formal analysis, Resources, Data curation, Funding acquisition. FB: Visualization, Methodology, Software, Data curation, Resources, Validation, Writing – review & editing.

Funding

The author(s) declare that financial support was received for the research and/or publication of this article. We would like to thank Open Philanthropy for supporting this work. This publication was supported by the European Union's Horizon Europe research and innovation programme under the Marie Skłodowska-Curie Postdoctoral Fellowship Programme, SMASH co-funded under the grant agreement No. 101081355. The operation (SMASH project) is co-funded by the Republic of Slovenia and the European Union from the European Regional Development Fund.

Conflict of interest

The authors declare that the research was conducted in the absence of any commercial or financial relationships that could be construed as a potential conflict of interest.

Generative AI statement

The author(s) declare that Gen AI was used in the creation of this manuscript. We have employed Generative AI to refine the language of the manuscript and proof-reading it.

Any alternative text (alt text) provided alongside figures in this article has been generated by Frontiers with the support of artificial intelligence and reasonable efforts have been made to ensure accuracy, including review by the authors wherever possible. If you identify any issues, please contact us.

Publisher's note

All claims expressed in this article are solely those of the authors and do not necessarily represent those of their affiliated organizations, or those of the publisher, the editors and the reviewers. Any product that may be evaluated in this article, or claim that may be made by its manufacturer, is not guaranteed or endorsed by the publisher.

Footnotes

1. ^These graphs include information on microprocessors (Rupp, 2021) and LLMs (Villalobos et al., 2024; Senthilkumar and Menzies, 2024), and are either generated independently or reproduced under CC BY 4.0. The NFTs data consists of 6.1 million transactions collected mainly from the Ethereum and WAX blockchains between June 23, 2017, and April 27, 2021 (Nadini et al., 2021).

References

Abdulkareem, M., and Petersen, S. E. (2021). The promise of AI in detection, diagnosis, and epidemiology for combating COVID-19: beyond the hype. Front. Artif. Intell. 4:652669. doi: 10.3389/frai.2021.652669

PubMed Abstract | Crossref Full Text | Google Scholar

Abrahamson, E., and Rosenkopf, L. (1997). Social network effects on the extent of innovation diffusion: a computer simulation. Organ. Sci. 8, 289–309. doi: 10.1287/orsc.8.3.289

Crossref Full Text | Google Scholar

Ahmadirad, Z. (2024). Evaluating the influence of AI on market values in finance: distinguishing between authentic growth and speculative hype. Int. J. Adv. Res. Humanit. Law. 1, 50–57. doi: 10.63053/ijrel.11

Crossref Full Text | Google Scholar

Arieli, I., Babichenko, Y., Peretz, R., and Young, H. P. (2020). The speed of innovation diffusion in social networks. Econometrica 88, 569–594. doi: 10.3982/ECTA17007

Crossref Full Text | Google Scholar

Baklanova, V., Kurkin, A., and Teplova, T. (2024). Investor sentiment and the NFT hype index: to buy or not to buy? China Finance Rev. Int. 14, 522–548. doi: 10.1108/CFRI-06-2023-0175

Crossref Full Text | Google Scholar

Bass, F. M. (1969). A new product growth for model consumer durables. Manage. Sci. 15, 215–227. doi: 10.1287/mnsc.15.5.215

Crossref Full Text | Google Scholar

Benhabib, J., and Nishimura, K. (1979). The HOPF bifurcation and the existence and stability of closed orbits in multisector models of optimal economic growth. J. Econ. Theory 21, 421–444. doi: 10.1016/0022-0531(79)90050-4

Crossref Full Text | Google Scholar

Beraja, M., and Wolf, C. K. (2021). Demand Composition and the Strength of Recoveries. Technical report. Cambridge, MA: National Bureau of Economic Research. doi: 10.3386/w29304

Crossref Full Text | Google Scholar

Bertolotti, F., and Mari, L. (2023). “A methodology for limit cycle detection in simulation models,” in EUROSIM Congress (Cham: Springer), 317–331. doi: 10.1007/978-3-031-68438-8_23

Crossref Full Text | Google Scholar

Bertolotti, F., and Mari, L. (2025). An llm-based Delphi study to predict genAI evolution. arXiv [preprint]. arXiv:2502.21092. doi: 10.48550/arXiv.2502.21092

Crossref Full Text | Google Scholar

Bertolotti, F., and Roman, S. (2024). Balancing long-term and short-term strategies in a sustainability game. Iscience 27:110020. doi: 10.1016/j.isci.2024.110020

PubMed Abstract | Crossref Full Text | Google Scholar

Bertolotti, F., Schettini, F., Asperti, F., and Foglia, E. (2025). A gravity model for emergency departments: F. bertolotti et al. Sci. Rep. 15:19537. doi: 10.1038/s41598-025-99840-w

Crossref Full Text | Google Scholar

Bezanson, J., Edelman, A., Karpinski, S., and Shah, V. B. (2017). Julia: a fresh approach to numerical computing. SIAM Rev. 59, 65–98. doi: 10.1137/141000671

Crossref Full Text | Google Scholar

Bhardwaj, R., Srivastava, S., Bindra, S., and Sangwan, S. (2023). An ecosystem view of social entrepreneurship through the perspective of systems thinking. Syst. Res. Behav. Sci. 40, 250–265. doi: 10.1002/sres.2835

Crossref Full Text | Google Scholar

Billio, M., and Petronevich, A. (2017). Dynamical Interaction Between Financial and Business Cycles. Venice: University Ca'Foscari of Venice, Department of Economics Research Paper Series No, 24.

Google Scholar

Bischi, G.-I., Gallegati, M., and Naimzada, A. (1999). Symmetry-breaking bifurcations and representative firm in dynamic duopoly games. Ann. Oper. Res. 89, 252–271. doi: 10.1023/A:1018931824853

Crossref Full Text | Google Scholar

Biswas, D., Poria, S., and Patra, S. N. (2015). Role of specific growth rate in the development of different growth processes. arXiv [preprint]. arXiv:1509.07717. doi: 10.48550/arXiv.1509.07717

Crossref Full Text | Google Scholar

Bloom, N., Jones, C. I., Van Reenen, J., and Webb, M. (2020). Are ideas getting harder to find? Am. Econ. Rev. 110, 1104–1144. doi: 10.1257/aer.20180338

Crossref Full Text | Google Scholar

Bohlmann, J., Calantone, R., and Zhao, M. (2010). The effects of market network heterogeneity on innovation diffusion: an agent-based modeling approach. J. Prod. Innov. Manag. 27, 741–760. doi: 10.1111/j.1540-5885.2010.00748.x

Crossref Full Text | Google Scholar

Brody, D. C., Hughston, L. P., and Macrina, A. (2011). “Modelling information flows in financial markets, in Advanced Mathematical Methods for Finance, eds. G. Di Nunno, and B. Øksendal (Berlin: Springer), 133–153. doi: 10.1007/978-3-642-18412-3_5

Crossref Full Text | Google Scholar

Brunk, G. G., and Jason, G. (1981). The impact of warfare on the rate of invention: a time series analysis of United States patent activity. Scientometrics 3, 437–455. doi: 10.1007/BF02017436

Crossref Full Text | Google Scholar

Buldú, J. M., Pablo-Martí, F., and Aguirre, J. (2019). Taming out-of-equilibrium dynamics on interconnected networks. Nat. Commun. 10:5314. doi: 10.1038/s41467-019-13291-2

PubMed Abstract | Crossref Full Text | Google Scholar

Cavalcanti, J. C., da Silva, R. R., Eriksson, A., and Barbosa, P. A. (2024). Exploring the performance of automatic speaker recognition using twin speech and deep learning-based artificial neural networks. Front. Artif. Intell. 7:1287877. doi: 10.3389/frai.2024.1287877

PubMed Abstract | Crossref Full Text | Google Scholar

Cheah, S. L.-Y., Yuen-Ping, H., and Shiyu, L. (2020). How the effect of opportunity discovery on innovation outcome differs between DIY laboratories and public research institutes: the role of industry turbulence and knowledge generation in the case of Singapore. Technol. Forecast. Soc. Change 160:120250. doi: 10.1016/j.techfore.2020.120250

Crossref Full Text | Google Scholar

Choi, H., Kim, S.-H., and Lee, J. (2010). Role of network structure and network effects in diffusion of innovations. Ind. Mark. Manag. 39, 170–177. doi: 10.1016/j.indmarman.2008.08.006

Crossref Full Text | Google Scholar

Chow, H. K., and Choy, K. M. (2009). Analyzing and forecasting business cycles in a small open economy: a dynamic factor model for Singapore. J. Bus. Cycle Meas. Anal. 3:19. doi: 10.1787/jbcma-v2009-art3-en

Crossref Full Text | Google Scholar

Chuluun, T., Prevost, A. K., and Upadhyay, A. (2017). Firm network structure and innovation. J. Corp. Financ. 44, 193–214. doi: 10.1016/j.jcorpfin.2017.03.009

Crossref Full Text | Google Scholar

Condorelli, D., and Padilla, J. (2025). Fair-share payments for network investments. Inf. Econ. Policy 70:101127. doi: 10.1016/j.infoecopol.2025.101127

Crossref Full Text | Google Scholar

Costa Lima, G., Gaspar Ravagnani, A., Sampaio Pinto, M., and Schiozer, D. (2010). “The value of flexibility to expand production capacity for oil projects: is it really important in practice?” in SPE Latin America and Caribbean Petroleum Engineering Conference (Lima: SPE), SPE-139338. doi: 10.2118/139338-MS

Crossref Full Text | Google Scholar

Cournot, A. A. (1838). Recherches sur les Principes Mathématiques de la Théorie des Richesses. Vanves: L. Hachette.

Google Scholar

Dahlke, J., Beck, M., Kinne, J., Lenz, D., Dehghan, R., Wörter, M., et al. (2024). Epidemic effects in the diffusion of emerging digital technologies: evidence from artificial intelligence adoption. Res. Policy 53:104917. doi: 10.1016/j.respol.2023.104917

Crossref Full Text | Google Scholar

Degres, L., Pierreval, H., and Caux, C. (2004). Simulation of steel industry using system dynamics. IFAC Proc. 37, 461–466. doi: 10.1016/S1474-6670(17)36157-8

Crossref Full Text | Google Scholar

DeJong, W. M., and de Vries, H. J. (2025). A socio-mathematical definition of innovation-the distinction with ordinary change. Technovation 143:103220. doi: 10.1016/j.technovation.2025.103220

Crossref Full Text | Google Scholar

Delre, S. A., Jager, W., Bijmolt, T. H., and Janssen, M. A. (2010). Will it spread or not? The effects of social influences and network topology on innovation diffusion. J. Prod. Innov. Manag. 27, 267–282. doi: 10.1111/j.1540-5885.2010.00714.x

Crossref Full Text | Google Scholar

Demirhan, D., Jacob, V. S., and Raghunathan, S. (2005). Information technology investment strategies under declining technology cost. J. Manag. Inf. Syst. 22, 321–350. doi: 10.2753/MIS0742-1222220311

Crossref Full Text | Google Scholar

Di Lucchio, L., and Modanese, G. (2024). The bass diffusion model: agent-based implementation on arbitrary networks. Math. Comput. Model. Dyn. Syst. 30, 364–384. doi: 10.1080/13873954.2024.2350244

Crossref Full Text | Google Scholar

Du, H., Zhang, R., Niyato, D., Kang, J., Xiong, Z., Kim, D. I., et al. (2023). Exploring collaborative distributed diffusion-based AI-generated content (AIGC) in wireless networks. IEEE Netw. 38, 178–186. doi: 10.1109/MNET.006.2300223

Crossref Full Text | Google Scholar

Dunbar, R. I. (2020). Structure and function in human and primate social networks: Implications for diffusion, network stability and health. Proc. R. Soc. A 476:20200446. doi: 10.1098/rspa.2020.0446

PubMed Abstract | Crossref Full Text | Google Scholar

Edmonds, B. (2017). “Different modelling purposes,” in Simulating Social Complexity: A Handbook (Cham: Springer), 39–58. doi: 10.1007/978-3-319-66948-9_4

Crossref Full Text | Google Scholar

Epstein, J. M. (2008). Why model? J. Arti. Soc. Soc. Simul. 11:12. Available online at: https://www.jasss.org/11/4/12.html

Google Scholar

Erdos, P., and Rényi, A. (1960). On the evolution of random graphs. Publ. Math. Inst. Hung. Acad. Sci. 5, 17–60.

Google Scholar

Fenn, J. (1995). When to leap on the hype cycle. Advanced technologies & applications report, Stamford, CT: Gartner.

Google Scholar

Féray, V. (2018). Weighted dependency graphs. Electron. J. Probab. 23, 1–65. doi: 10.1214/18-EJP222

Crossref Full Text | Google Scholar

Fibich, G., and Golan, A. (2023). Diffusion of new products with heterogeneous consumers. Math. Oper. Res. 48, 257–287. doi: 10.1287/moor.2022.1261

Crossref Full Text | Google Scholar

Gasparin, M., Schinckus, C., and Green, W. (2019). Thinking outside the box to get inside the black box: alternative epistemology for dealing with financial innovation. Soc. Epistemol. 33, 218–233. doi: 10.1080/02691728.2019.1601290

Crossref Full Text | Google Scholar

Gherhes, C., Yu, Z., Vorley, T., and Xue, L. (2023). Technological trajectories as an outcome of the structure-agency interplay at the national level: insights from emerging varieties of AI. World Dev. 168:106252. doi: 10.1016/j.worlddev.2023.106252

Crossref Full Text | Google Scholar

Gill, T. G. (1995). Early expert systems: where are they now? MIS Q. 19, 51–81. doi: 10.2307/249711

Crossref Full Text | Google Scholar

Goldstein, D. (1995). Uncertainty, competition, and speculative finance in the eighties. J. Econ. Issues 29, 719–746. doi: 10.1080/00213624.1995.11505706

Crossref Full Text | Google Scholar

Grimson, W. E. L., and Patil, R. S. (1987). AI in the 1980s and Beyond: An MIT Survey. Cambridge, MA: The MIT Press. doi: 10.7551/mitpress/1166.001.0001

Crossref Full Text | Google Scholar

Hallegatte, S., Ghil, M., Dumas, P., and Hourcade, J.-C. (2008). Business cycles, bifurcations and chaos in a neo-classical model with investment dynamics. J. Econ. Behav. Organ. 67, 57–77. doi: 10.1016/j.jebo.2007.05.001

Crossref Full Text | Google Scholar

Harmon, P. (2022). The expert systems business: how it grew and died. IEEE Ann. Hist. Comput. 44, 31–43. doi: 10.1109/MAHC.2022.3149465

Crossref Full Text | Google Scholar

Heim, L. (2025). Understanding the Artificial Intelligence Diffusion Framework: Can Export Controls Create a U.S.-led Global Artificial Intelligence Ecosystem? Perspective on a Timely Policy Issue PEA3776-1. Santa Monica, CA: RAND Corporation. Initially released January 2025; updated February 2025.

Google Scholar

Hendler, J. (2008). Avoiding another AI winter. IEEE Intell. Syst. 23, 2–4. doi: 10.1109/MIS.2008.20

Crossref Full Text | Google Scholar

Hilling, D. E., Ihaddouchen, I., Buijsman, S., Townsend, R., Gommers, D., van Genderen, M. E., et al. (2025). The imperative of diversity and equity for the adoption of responsible AI in healthcare. Front. Artif. Intell. 8:1577529. doi: 10.3389/frai.2025.1577529

PubMed Abstract | Crossref Full Text | Google Scholar

Houchin, K., and MacLean, D. (2005). Complexity theory and strategic change: an empirically informed critique. Br. J. Manag. 16, 149–166. doi: 10.1111/j.1467-8551.2005.00427.x

Crossref Full Text | Google Scholar

Huang, J., Leng, M., and Parlar, M. (2013). Demand functions in decision modeling: a comprehensive survey and research directions. Decis. Sci. 44, 557–609. doi: 10.1111/deci.12021

Crossref Full Text | Google Scholar

Hultink, E. J., Hart, S., Robben, H. S., and Griffin, A. (2000). Launch decisions and new product success: an empirical comparison of consumer and industrial products. J. Prod. Innov. Manag. 17, 5–23. doi: 10.1111/1540-5885.1710005

Crossref Full Text | Google Scholar

Hung, S.-C., and Lai, J.-Y. (2016). When innovations meet chaos: analyzing the technology development of printers in 1976-2012. J. Eng. Technol. Manag. 42, 31–45. doi: 10.1016/j.jengtecman.2016.09.001

Crossref Full Text | Google Scholar

Hung, S.-C., and Tu, M.-F. (2011). Technological change as chaotic process. R&D Manag. 41, 378–392. doi: 10.1111/j.1467-9310.2011.00641.x

Crossref Full Text | Google Scholar

Islam, S. M., and Scott, T. (2022). Current demand and supply of impact investments across different geographic regions, sectors, and stages of business: match or mismatch? Aust. J. Manag. 47, 686–704. doi: 10.1177/03128962211053411

Crossref Full Text | Google Scholar

Jenner, R. A. (1991). Technological paradigms, innovative behavior and the formation of dissipative enterprises. Small Bus. Econ. 3, 297–305. doi: 10.1007/BF01840611

Crossref Full Text | Google Scholar

Jin, X., Zhang, M., Sun, G., and Cui, L. (2021). The impact of COVID-19 on firm innovation: evidence from Chinese listed companies. Finance Res. Lett. 45:102133. doi: 10.1016/j.frl.2021.102133

Crossref Full Text | Google Scholar

Ke, J., Duan, Y., Xu, C., and Zhang, Y. (2023). Cross-correlation multifractal analysis of technological innovation, financial market and real economy indices. Fractal Fract. 7:267. doi: 10.3390/fractalfract7030267

Crossref Full Text | Google Scholar

Kieffer, E., Meyer, T., Gloukoviezoff, G., Lucius, H., and Bouvry, P. (2023). Learning private equity recommitment strategies for institutional investors. Front. Artif. Intell. 6:1014317. doi: 10.3389/frai.2023.1014317

PubMed Abstract | Crossref Full Text | Google Scholar

Knell, M., and Vannuccini, S. (2022). “Tools and concepts for understanding disruptive technological change after Schumpeter,” in The Routledge Handbook of Smart Technologies (London: Routledge), 77–101. doi: 10.4324/9780429351921-6

Crossref Full Text | Google Scholar

Kocsis, G., and Kun, F. (2011). Competition of information channels in the spreading of innovations. Phys. Rev. E Stat. Nonlin. Soft Matter Phys. 84(2 Pt 2):026111. doi: 10.1103/PhysRevE.84.026111

PubMed Abstract | Crossref Full Text | Google Scholar

Kondratieff, N. D. (1979). The long waves in economic life. Review 2, 519–562.

Google Scholar

Kroujiline, D., Gusev, M., Ushanov, D., Sharov, S. V., and Govorkov, B. (2021). An endogenous mechanism of business cycles. Algorithmic Finance 8, 127–148. doi: 10.3233/AF-190292

Crossref Full Text | Google Scholar

Kumari, B., Kaur, J., and Swami, S. (2021). “System dynamics approach for adoption of artificial intelligence in finance,” in Advances in Systems Engineering: Select Proceedings of NSC 2019 (Berlin: Springer), 555–575. doi: 10.1007/978-981-15-8025-3_54

Crossref Full Text | Google Scholar

Kwa, T., West, B., Becker, J., Deng, A., Garcia, K., Hasin, M., et al. (2025). Measuring AI ability to complete long tasks. arXiv [preprint]. arXiv:2503.14499. doi: 10.48550/arXiv.2503.14499

Crossref Full Text | Google Scholar

Laabs, J.-P., and Schiereck, D. (2010). The long-term success of M&A in the automotive supply industry: determinants of capital market performance. J. Econ. Finance 34, 61–88. doi: 10.1007/s12197-008-9065-z

Crossref Full Text | Google Scholar

LaGrandeur, K. (2023). The consequences of AI hype. AI Ethics 4, 653–656. doi: 10.1007/s43681-023-00352-y

Crossref Full Text | Google Scholar

Lamantia, F., Pezzino, M., Scardamaglia, B., and Tramontana, F. (2022). A discontinuous model of duopoly with isoelastic demand and innovation costs. Chaos Solitons Fractals 158:112015. doi: 10.1016/j.chaos.2022.112015

Crossref Full Text | Google Scholar

Lee, H. J., and Oh, H. (2020). A study on the deduction and diffusion of promising artificial intelligence technology for sustainable industrial development. Sustainability 12:5609. doi: 10.3390/su12145609

Crossref Full Text | Google Scholar

Lengyel, B., Bokányi, E., Di Clemente, R., Kertész, J., and González, M. C. (2020). The role of geography in the complex diffusion of innovations. Sci. Rep. 10:15065. doi: 10.1038/s41598-020-72137-w

PubMed Abstract | Crossref Full Text | Google Scholar

Lyneis, J. M. (2000). System dynamics for market forecasting and structural analysis. Syst. Dyn. Rev. 16, 3–25. doi: 10.1002/(SICI)1099-1727(200021)16:1&lt;3::AID-SDR183&gt;3.0.CO;2-5

Crossref Full Text | Google Scholar

Madan, R., and Ashok, M. (2023). Ai adoption and diffusion in public administration: a systematic literature review and future research agenda. Gov. Inf. Q. 40:101774. doi: 10.1016/j.giq.2022.101774

Crossref Full Text | Google Scholar

Madubuko, C. C., and Chitsungo, C. (2024). Applying systems theory to ethical AI development: mitigating unintended consequences through feedback loop analysis. Am. J. Int. Relat. 9, 1–31. doi: 10.47672/ajir.2447

Crossref Full Text | Google Scholar

Mahajan, V., and Muller, E. (1996). Timing, diffusion, and substitution of successive generations of technological innovations: the IBM mainframe case. Technol. Forecast. Soc. Change 51, 109–132. doi: 10.1016/0040-1625(95)00225-1

Crossref Full Text | Google Scholar

Mallinson, K. (2015). Smartphone revolution: technology patenting and licensing fosters innovation, market entry, and exceptional growth. IEEE Consum. Electron. Mag. 4, 60–66. doi: 10.1109/MCE.2015.2392954

Crossref Full Text | Google Scholar

Manenzhe, M., and Telukdarie, A. (2021). “Maintenance management conceptual model: a system dynamics approach,” in 2021 International Conference on Maintenance and Intelligent Asset Management (ICMIAM) (Ballarat: IEEE), 1–6. doi: 10.1109/ICMIAM54662.2021.9715194

Crossref Full Text | Google Scholar

McCullen, N. J., Rucklidge, A. M., Bale, C. S., Foxon, T. J., and Gale, W. F. (2013). Multiparameter models of innovation diffusion on complex networks. SIAM J. Appl. Dyn. Syst. 12, 515–532. doi: 10.1137/120885371

Crossref Full Text | Google Scholar

McNamee, L. M., and Ledley, F. D. (2017). Modeling timelines for translational science in cancer; the impact of technological maturation. PLoS ONE 12:e0174538. doi: 10.1371/journal.pone.0174538

PubMed Abstract | Crossref Full Text | Google Scholar

Medoh, C., and Telukdarie, A. (2022). The future of cybersecurity: a system dynamics approach. Procedia Comput. Sci. 200, 318–326. doi: 10.1016/j.procs.2022.01.230

Crossref Full Text | Google Scholar

Menzies, T. (2003). 21st-century AI: proud, not smug. IEEE Intell. Syst. 18, 18–24. doi: 10.1109/MIS.2003.1200723

Crossref Full Text | Google Scholar

Miao, Q., and Popp, D. (2013). Necessity as the mother of invention: innovative responses to natural disasters. PSN Nat. Disasters. doi: 10.3386/w19223

Crossref Full Text | Google Scholar

Montoya, R., Netzer, O., and Jedidi, K. (2010). Dynamic allocation of pharmaceutical detailing and sampling for long-term profitability. Mark. Sci. 29, 909–924. doi: 10.1287/mksc.1100.0570

Crossref Full Text | Google Scholar

Mukhopadhyay, S., Bagchi, K., and Udo, G. J. (2009). Modelling mobile technology growth using diffusion models and neural networks. Int. J. Electron. Bus. 7, 553–580. doi: 10.1504/IJEB.2009.029047

Crossref Full Text | Google Scholar

Nadini, M., Alessandretti, L., Di Giacinto, F., Martino, M., Aiello, L. M., and Baronchelli, A. (2021). Mapping the NFT revolution: market trends, trade networks, and visual features. Sci. Rep. 11:20902. doi: 10.1038/s41598-021-00053-8

PubMed Abstract | Crossref Full Text | Google Scholar

Newman, M. E. (2003a). Properties of highly clustered networks. Phys. Rev. E 68:026121. doi: 10.1103/PhysRevE.68.026121

PubMed Abstract | Crossref Full Text | Google Scholar

Newman, M. E. (2003b). The structure and function of complex networks. SIAM Rev. 45, 167–256. doi: 10.1137/S003614450342480

Crossref Full Text | Google Scholar

Nilsson, N. J. (2009). The Quest for Artificial Intelligence. Cambridge, MA: Cambridge University Press. doi: 10.1017/CBO9780511819346

Crossref Full Text | Google Scholar

Oosthuizen, R. M. (2022). The fourth industrial revolution-smart technology, artificial intelligence, robotics and algorithms: industrial psychologists in future workplaces. Front. Artif. Intell. 5:913168. doi: 10.3389/frai.2022.913168

Crossref Full Text | Google Scholar

Paich, M., and Sterman, J. D. (1993). Boom, bust, and failures to learn in experimental markets. Manage. Sci. 39, 1439–1458. doi: 10.1287/mnsc.39.12.1439

Crossref Full Text | Google Scholar

Phillips, E. M. (1999). If it Works, It's Not AI: A Commercial Look at Artificial Intelligence Startups [PhD thesis]. Cambridge, MA: Massachusetts Institute of Technology.

Google Scholar

Phillips, K. N. (2025). Artificial Intelligence: Diffusion of Innovation and Generational Considerations in a Higher Education Institution [PhD thesis]. Arlington, VA: Marymount University.

Google Scholar

Polyportis, A. (2024). A longitudinal study on artificial intelligence adoption: understanding the drivers of chatgpt usage behavior change in higher education. Front. Artif. Intell. 6:1324398. doi: 10.3389/frai.2023.1324398

PubMed Abstract | Crossref Full Text | Google Scholar

Puu, T. (1991). Chaos in duopoly pricing. Chaos Solitons Fractals 1, 573–581. doi: 10.1016/0960-0779(91)90045-B

Crossref Full Text | Google Scholar

Rogers, E. M. (1962). Diffusion of Innovations, 1st Edn. New York, NY: Free Press of Glencoe.

Google Scholar

Rolfstam, M., Phillips, W., and Bakker, E. (2011). Public procurement of innovations, diffusion and endogenous institutions. Int. J. Public Sector Manag. 24, 452–468. doi: 10.1108/09513551111147178

Crossref Full Text | Google Scholar

Roman, S. (2021). Historical dynamics of the Chinese dynasties. Heliyon 7:e07293. doi: 10.1016/j.heliyon.2021.e07293

PubMed Abstract | Crossref Full Text | Google Scholar

Roman, S. (2023a). “Collapse,” in Dictionary of Ecological Economics (Camberley: Edward Elgar Publishing), 72–73. doi: 10.4337/9781788974912.C.49

Crossref Full Text | Google Scholar

Roman, S. (2023b). “Theories and models: understanding and predicting societal collapse,” in The Era of Global Risk: An Introduction to Existential Risk Studies (Cambridge: Open Book Publishers), 27–54. doi: 10.11647/OBP.0336.02

Crossref Full Text | Google Scholar

Roman, S., and Bertolotti, F. (2022). A master equation for power laws. R. Soc. Open Sci. 9:220531. doi: 10.1098/rsos.220531

PubMed Abstract | Crossref Full Text | Google Scholar

Roman, S., and Bertolotti, F. (2023). Global history, the emergence of chaos and inducing sustainability in networks of socio-ecological systems. PLoS ONE 18:e0293391. doi: 10.1371/journal.pone.0293391

PubMed Abstract | Crossref Full Text | Google Scholar

Roman, S., and Brede, M. (2017). Topology-dependent rationality and quantal response equilibria in structured populations. Phys. Rev. E 95:052310. doi: 10.1103/PhysRevE.95.052310

PubMed Abstract | Crossref Full Text | Google Scholar

Romer, P. M. (1990). Endogenous technological change. J. Polit. Econ. 98, S71–S102. doi: 10.1086/261725

Crossref Full Text | Google Scholar

Rupp, K. (2021). Microprocessor Trend Data (2022). Available online at: https://github.com/karlrupp/microprocessor-trend-data (Accessed April 18, 2025).

Google Scholar

Schaal, E., and Taschereau-Dumouchel, M. (2023). Herding through booms and busts. J. Econ. Theory 210:105669. doi: 10.1016/j.jet.2023.105669

Crossref Full Text | Google Scholar

Senthilkumar, L., and Menzies, T. (2024). Can large language models improve se active learning via warm-starts? arXiv [preprint]. arXiv:2501.00125. doi: 10.48550/arXiv:2501.00125

Crossref Full Text | Google Scholar

Singh, S., and Aggarwal, Y. (2022). In search of a consensus definition of innovation: a qualitative synthesis of 208 definitions using grounded theory approach. Innovation Eur. J. Soc. Sci. Res. 35, 177–195. doi: 10.1080/13511610.2021.1925526

Crossref Full Text | Google Scholar

Sisodiya, S. R. (2012). Enhancing success with open innovation: an investigation of connective capabilities and network characteristics. Int. J. Transit. Innov. Syst. 2, 117–134. doi: 10.1504/IJTIS.2012.049417

Crossref Full Text | Google Scholar

Stengers, I., and Prigogine, I. (2018). Order Out of Chaos: Man's New Dialogue with Nature. Brooklyn, NY: Verso Books.

Google Scholar

Sterman, J., Oliva, R., Linderman, K., and Bendoly, E. (2015). System dynamics perspectives and modeling opportunities for research in operations management. J. Oper. Manag. 39–40, 1–5. doi: 10.1016/j.jom.2015.07.001

Crossref Full Text | Google Scholar

Sterman, J. D. (2000). Business Dynamics: Systems Thinking and Modeling for a Complex World. Boston, MA: Irwin/McGraw-Hill.

Google Scholar

Stokely, C. R. (2005). Why success formulas fail. Handb. Bus. Strategy 6, 185–188. doi: 10.1108/08944310510557431

Crossref Full Text | Google Scholar

Sznajd-Weron, K., Szwabiński, J., Weron, R., and Weron, T. (2013). Rewiring the network. what helps an innovation to diffuse? J. Stat. Mech. 2014:P03007. doi: 10.1088/1742-5468/2014/03/P03007

Crossref Full Text | Google Scholar

Tainter, J. (1988). The Collapse of Complex Societies. Cambridge: Cambridge University Press.

Google Scholar

Taniguchi, M.-a., Bando, M., and Nakayama, A. (2009). Business cycle based on optimal DI model. Prog. Theor. Phys. Suppl. 179, 145–156. doi: 10.1143/PTPS.179.145

Crossref Full Text | Google Scholar

Vargas, F., and Muente, A. (2025). Artificial Intelligence Framework for the Inter-American Development Group. Inter-American Development Bank. doi: 10.18235/0013377

Crossref Full Text | Google Scholar

Velandia, P., Herrera, A., Bonilla, L. M. J., Sánchez, M., and Villalobos, J. (2023). “Driving innovation in industry 4.0 through business model simulation,” in International Conference on Enterprise Design, Operations, and Computing(Berlin: Springer), 23–38. doi: 10.1007/978-3-031-54712-6_2

Crossref Full Text | Google Scholar

Victory, K., Nenycz-Thiel, M., Dawes, J., Tanusondjaja, A., and Corsi, A. M. (2021). How common is new product failure and when does it vary? Mark. Lett. 32, 17–32. doi: 10.1007/s11002-021-09555-x

Crossref Full Text | Google Scholar

Villalobos, P., Ho, A., Sevilla, J., Besiroglu, T., Heim, L., Hobbhahn, M., et al. (2024). “Will we run out of data? Limits of llm scaling based on human-generated data,” in Proceedings of the 41st International Conference on Machine Learning (ICML). Available online at: https://arxiv.org/abs/2211.04325 (Accessed April 18, 2025).

Google Scholar

Vishwanath, A., and Goldhaber, G. (2003). An examination of the factors contributing to adoption decisions among late-diffused technology products. New Media Soc. 5, 547–572. doi: 10.1177/146144480354005

Crossref Full Text | Google Scholar

Wang, W., Fergola, P., Lombardo, S., and Mulone, G. (2006). Mathematical models of innovation diffusion with stage structure. Appl. Math. Model. 30, 129–146. doi: 10.1016/j.apm.2005.03.011

Crossref Full Text | Google Scholar

Watts, D. J., and Strogatz, S. H. (1998). Collective dynamics of ‘small-world' networks. Nature 393, 440–442. doi: 10.1038/30918

PubMed Abstract | Crossref Full Text | Google Scholar

Wright, R. (2004). A Short History of Progress. Toronto, ON: House of Anansi.

Google Scholar

Yli-Renko, H., and Autio, E. (1998). The network embeddedness of new, technology-based firms: developing a systemic evolution model. Small Bus. Econ. 11, 253–267. doi: 10.1023/A:1007909027839

Crossref Full Text | Google Scholar

Zhang, C., Wang, Y., and Chen, T. (2023). Evolution dynamics model of private enterprises under simultaneous and sequential innovation decisions. Entropy 25:1553. doi: 10.3390/e25111553

PubMed Abstract | Crossref Full Text | Google Scholar

Keywords: AI winter, artificial intelligence, innovation diffusion, technology, chaos, networks, simulation, market bubble

Citation: Roman S and Bertolotti F (2025) Toward a new AI winter? How diffusion of technological innovation on networks leads to chaotic boom-bust cycles. Front. Artif. Intell. 8:1671917. doi: 10.3389/frai.2025.1671917

Received: 23 July 2025; Accepted: 30 September 2025;
Published: 12 November 2025.

Edited by:

Terence Tse, Hult International Business School, United Kingdom

Reviewed by:

Aleksandr Raikov, National Supercomputer Center, China
R. Karthikeyan, Vardhaman College of Engineering, India

Copyright © 2025 Roman and Bertolotti. This is an open-access article distributed under the terms of the Creative Commons Attribution License (CC BY). The use, distribution or reproduction in other forums is permitted, provided the original author(s) and the copyright owner(s) are credited and that the original publication in this journal is cited, in accordance with accepted academic practice. No use, distribution or reproduction is permitted which does not comply with these terms.

*Correspondence: Sabin Roman, c2FiaW4ucm9tYW5AaWpzLnNp

Disclaimer: All claims expressed in this article are solely those of the authors and do not necessarily represent those of their affiliated organizations, or those of the publisher, the editors and the reviewers. Any product that may be evaluated in this article or claim that may be made by its manufacturer is not guaranteed or endorsed by the publisher.