ORIGINAL RESEARCH article
Front. Artif. Intell.
Sec. Machine Learning and Artificial Intelligence
Autonomous Cyber-Physical Security Middleware for IoT: Anomaly Detection and Adaptive Response in Hybrid Environments
Provisionally accepted- 1University of the Americas, Quito, Ecuador
- 2Universitat d'Alacant, Sant Vicent del Raspeig, Spain
Select one of your emails
You have multiple emails registered with Frontiers:
Notify me on publication
Please enter your email address:
If you already have an account, please login
You don't have a Frontiers account ? You can register here
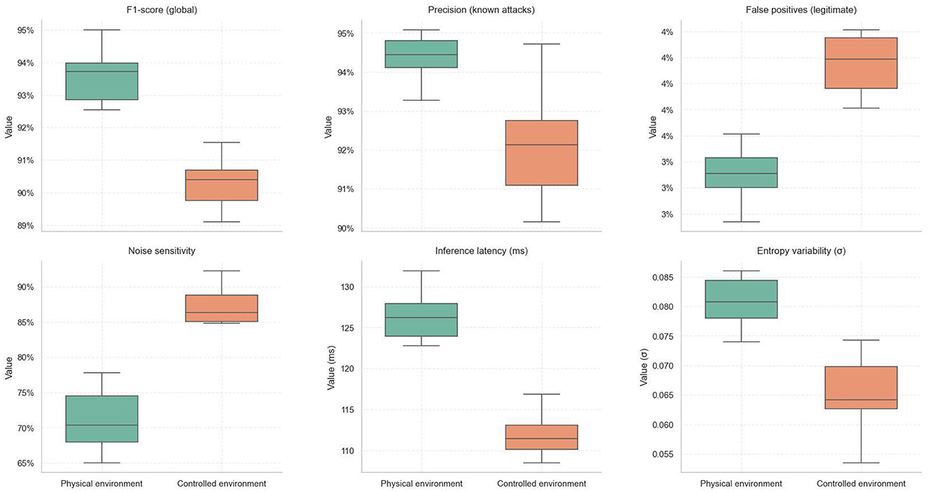
The rapid adoption of Internet of Things (IoT) devices in cyber-physical systems in-troduces significant security challenges, particularly in distributed and heterogeneous environments where operational resilience and real-time threat response are critical. Previous efforts have explored lightweight encryption and modular authentication. Still, few solutions provide a unified framework that integrates real-time anomaly detection, automated mitigation, and performance evaluation under hybrid experimental conditions. This work presents an autonomous multi-layered security architecture for IoT networks, implemented through microservices-based middleware with native support for detection and adaptive response mechanisms. The architecture integrates lightweight anomaly inference models, based on entropy metrics and anomaly scores, with a rule-based engine that executes dynamic containment actions such as node isolation, channel reconfiguration, and key rotation. The system runs on edge hardware (Raspberry Pi, sensors, actuators) and is validated in a hybrid testbed with NS-3 simulations. Experimental results show an F1-Score of 0.931 in physical deployments and 0.912 in simulated scenarios, with anomaly detection latencies below 130 ms and containment actions triggered within 300 ms. Under high-load conditions, CPU usage remains under 60 % and memory consumption below 300 MB. Compared to representative middleware platforms such as BlendSM-DDM and Claimsware, the proposed system uniquely integrates detection, response, and auditability, achieving high scala-bility and resilience for IoT deployments in real-world hybrid environments.
Keywords: Anomaly detection and response, Cyber-physical security, HybridEvaluation Framework, IoT Middleware Architecture, artificial intelligence - AI
Received: 28 Jul 2025; Accepted: 25 Nov 2025.
Copyright: © 2025 Villegas, ORTIZ-GARCES and Luján-Mora. This is an open-access article distributed under the terms of the Creative Commons Attribution License (CC BY). The use, distribution or reproduction in other forums is permitted, provided the original author(s) or licensor are credited and that the original publication in this journal is cited, in accordance with accepted academic practice. No use, distribution or reproduction is permitted which does not comply with these terms.
* Correspondence: William Villegas
Disclaimer: All claims expressed in this article are solely those of the authors and do not necessarily represent those of their affiliated organizations, or those of the publisher, the editors and the reviewers. Any product that may be evaluated in this article or claim that may be made by its manufacturer is not guaranteed or endorsed by the publisher.
