Your new experience awaits. Try the new design now and help us make it even better

ORIGINAL RESEARCH article

Front. Artif. Intell., 26 September 2025

Sec. Machine Learning and Artificial Intelligence

Volume 8 - 2025 | https://doi.org/10.3389/frai.2025.1677059

SMCFO: a novel cuttlefish optimization algorithm enhanced by simplex method for data clustering

  • Department of Mathematics, School of Advanced Sciences, Vellore Institute of Technology – Chennai, Chennai, Tamil Nadu, India

Introduction: In unsupervised learning, data clustering is essential. However, many current algorithms have issues like early convergence, inadequate local search capabilities, and trouble processing complicated or unbalanced input. Established methods like Kmeans are still widely used because of their ease of use; however, they struggle with non-spherical cluster shapes, which are sensitive to initialization, and suffer in highdimensional space. As a substitute, metaheuristic algorithms have surfaced as possible options, providing powerful global search ability. The Cuttlefish Optimization Algorithm (CFO) shows promise in clustering applications but suffers from premature convergence and poor local optimization capability.

Methods: This paper introduces a new clustering method based on the Cuttlefish Optimization Algorithm (CFO), which improves upon the Nelder-Mead simplex method known as SMCFO. The method partitions the population into four subgroups with specific update strategies. One subgroup uses the Nelder-Mead method to improve the quality of solutions, while the others attempt to maintain exploration and exploitation equilibrium. This study compares the performance of the suggested SMCFO algorithm with four established clustering algorithms: CFO, PSO, SSO, and SMSHO. The evaluation used 14 datasets, which include two artificial datasets and 12 benchmark datasets sourced from the UCI Machine Learning Repository.

Results and discussion: The proposed SMCFO algorithm consistently outperformed competing methods across all datasets, achieving higher clustering accuracy, faster convergence, and improved stability. The robustness of these outcomes was further confirmed through nonparametric statistical tests, which demonstrated that the performance improvements of SMCFO were statistically significant and not due to chance. The results confirm that the simplex-enhanced design boosts local exploitation and stabilizes convergence, which underlies SMCFO's superior performance compared to baseline methods.

1 Introduction

Data clustering is a fundamental unsupervised machine learning method that utilizes the inherent structures of the dataset to group related data points. Organizing data into clusters facilitates pattern recognition (Gupta and Kumar, 2024), anomaly detection (Ali et al., 2024), and efficient data summarization. Various domains widely use it, including image processing (Bhimavarapu et al., 2024), customer segmentation (Vijilesh et al., 2021), genetics (Wu et al., 2021), and network analysis (Li et al., 2023), and blockchain for transaction analysis and fraud detection (Yang et al., 2025).

Clustering is considered an NP-hard problem. It identifies the cluster center for each cluster to classify all the data reasonably. Despite its versatility, no single clustering algorithm is optimal for all clustering problems. The effectiveness of a clustering method depends on several factors, including data distribution, cluster density, shape, and noise levels. These elements are essential for optimizing clustering results.

1.1 Existing clustering methods and critical analysis

Traditional clustering approaches include:

• Partitional clustering, such as K-Means (Oti et al., 2021), minimizes the variation within each cluster to group data into k clusters. As long as the clusters remain unstable, points will be continuously allocated to the nearest centroid. Subsequently, the centroids will be updated by computing the mean of the points assigned to each cluster. Spherical and well-separated clusters operate well, but more complex configurations cause problems.

• Hierarchical clustering (Ran et al., 2023) involves dividing bigger clusters (divisive) or continually merging smaller clusters (agglomerative) to create a hierarchy of clusters. The number of clusters need not be known in advance, and a dendrogram is frequently used to display the results. Although it excels at capturing nested relationships, the benefit can become computationally costly when dealing with huge datasets.

• Density-based clustering finds clusters as densely populated areas of points with sparser regions in between. Algorithms such as DBSCAN (Bushra and Yi, 2021) can identify clusters of any shape and deal with noise, which makes them applicable to complex datasets. Their performance can be parameter-sensitive and may not be well-suited for dealing with mixed cluster densities.

• Model-based clustering (Gormley et al., 2023) techniques treat data as coming from a combination of probability distributions. They effectively capture complex cluster shapes and assign data points based on probabilities. Still, they require high computational resources and rely heavily on correct model assumptions and the predefined number of clusters.

• Grid-based clustering (Tareq et al., 2021) partitions the data space into a grid of cells and forms clusters based on the data density within each cell. This method is efficient for large datasets, but its performance depends on the grid size and can struggle with irregular cluster shapes.

While these methods provide practical frameworks, they often face challenges in high-dimensional, nonlinear, or noisy datasets. To overcome these, researchers have explored metaheuristic and bio-inspired optimization techniques for clustering.

1.1.1 Metaheuristic and bio-inspired clustering approaches

Researchers employ Genetic Algorithm (GA)-based clustering to enhance adaptability and performance across domains. Lin et al. (2005) improved fitness evaluation through pre-computed distance look-ups and efficient cluster center selection. GA-based approaches for Wireless Sensor Networks (Batra and Kant, 2018) optimized cluster formation and energy efficiency. Trajectory-based clustering methods (Yang et al., 2020) and fuzzy TDA-based F-Mapper (Bui et al., 2020) enhanced clustering quality and robustness against noise.

Swarm intelligence techniques have become more popular. For instance, variations based on PSO (Rengasamy and Murugesan, 2021; Niu et al., 2017) enhance the accuracy and speed of convergence. SHO and its simplified variant, SMSHO, improve centroid precision and population diversity (Fausto et al., 2017; Zhao et al., 2021; Anand and Arora, 2020). Similarly, Social Spider Optimization (SSO) (Thalamala et al., 2019; Buvanesvari and Begum, 2020; Zhao et al., 2021) has effectively discovered communities and clustering text. Exploration and exploitation are well-balanced. Feature selection (Karunakaran et al., 2020), dimensionality reduction (Suganthi and Karunakaran, 2019), and image segmentation (Bhandari et al., 2019) have all seen successful applications of the Cuttlefish Optimization (CFO) algorithm (Kowalski et al., 2020). It encourages solution variety through the use of visibility and reflection methods.

Even with their promising results, earlier clustering and metaheuristic methods have limitations. Numerous CFO variations and associated bio-inspired algorithms heavily rely on random operators. This reliance could lead to early convergence and less stability in complex search spaces. Moreover, inefficient local exploitation sometimes leads to inaccurate centroid refinement, especially in high-dimensional or nonlinear datasets. These issues show that a better approach that balances improved local search with global exploration is required. The simplex enhancement in CFO suggested in this study is motivated by these problems.

The new SMCFO selectively incorporates simplex into Group I of the CFO population, unlike SMSHO and SMSSO, which use the simplex method as an extra operator during the restoration or communication stages. Only the refinement group improves with deterministic local search in this architecture, but Groups II-IV maintain their unique exploratory responsibilities. By combining the geometric changes of the simplex method for updating centroids with the reflection and visibility dynamics of the CFO, SMCFO offers a new approach. This selective integration is structurally different from earlier simplex-hybrid methods. It leads to more effective clustering and more reliable, unique solutions.

1.2 Motivation and contribution

The literature demonstrates that there are still several issues with current clustering algorithms. Many tend to converge slowly and produce imprecise results. They frequently require numerous iterations to achieve satisfactory performance. Furthermore, researchers often use small datasets to test algorithms, making generalizing results challenging. Handling high-dimensional data remains another significant hurdle. These limitations highlight the need for improved approaches, which is the central focus of this work.

A detailed analysis of the CFO's performance shows it has a limited global search ability, often leading to locally optimal solutions. Introducing the simplex method enhances the CFO algorithm, improving its ability to explore the search space and avoid local optima.

The key contributions of this paper are outlined below:

1. The Simplex method is incorporated into the CFO algorithm for the first time to improve its performance. This incorporation substitutes some conventional operations in the CFO with reflection, expansion, contraction, and shrinking operations to improve local search. The algorithm attains a more balanced global exploration and local exploitation by improving population diversity and candidate solution quality. Consequently, it enhances convergence rate, scalability, and stability and decreases computational complexity. This improvement makes the optimized algorithm more effective for centroid-based clustering, nonlinear data structures, and high-dimensional data scenarios.

2. The proposed algorithm is applied to solve data clustering problems, with its effectiveness evaluated through comprehensive experiments on 14 widely used classified datasets from the UCI repository. The experiments assess various aspects of the algorithm's performance, including (1) overall optimization capability, (2) convergence speed, (3) result variance, (4) quality of visual clustering, (5) diversity of generated solutions, (6) algorithmic stability, (7) computational runtime, (8) impact of population size, (9) effect of the number of iterations, (10) statistical significance based on nonparametric rank-sum tests, and (11) evaluation using standard performance metrics such as accuracy, F-measure, sensitivity, specificity, and Adjusted Rand Index (ARI).

3. This study compares the proposed algorithm with several established clustering algorithms, including PSO (Rengasamy and Murugesan, 2021), SSO (Thalamala et al., 2019), SMSHO (Zhou et al., 2017), and CFO (Eesa et al., 2013). It performs a thorough analysis and evaluation of these algorithms in the context of data clustering. The experimental results reveal that the proposed algorithm attains faster convergence, higher accuracy, and more excellent stability than the other methods.

The structure of this paper is as follows: Section 2 introduces the mathematical model for data clustering. Section 3 outlines the cuttlefish optimization algorithm. Section 4 provides a detailed discussion of a variant of the cuttlefish optimization algorithm based on the simplex method (SMCFO). Section 5 presents the simulation experiments related to data clustering and analyzes the results. Finally, Section 6 concludes the study and suggests directions for future work.

2 Mathematical framework for clustering analysis

Data clustering analysis aims to classify data based on their inherent properties. Each group consists of highly similar elements, while elements in different groups exhibit significant differences. The following expressions define the mathematical framework for clustering analysis (Ma et al., 2015).

2.1 Description of the data clustering problem

Consider a dataset represented as: D={x1,x2,,xN} where each data point xi is an M-dimensional vector: xi = (xi1, xi2, …, xiM) for i = 1, 2, …, N. The objective of clustering is to partition D into K disjoint clusters: G={G1,G2,,GK} such that the following conditions hold:

1. Each cluster is non-empty:

Gk,k{1,2,,K}.    (1)

2. Clusters are mutually exclusive:

GiGj=,i,j{1,2,,K},ij.    (2)

3. The union of all clusters reconstructs the original dataset:

k=1KGk=D.    (3)

Each cluster Gk groups data points with high similarity based on a predefined metric, minimizing intra-cluster variations and maximizing inter-cluster differences.

2.2 Principles of clustering

In the clustering process, the dataset D is divided into K clusters, denoted as {G1, G2, …, GK}. Each cluster Gj has a representative centroid zj, where j = 1, 2, …, K. The set of all cluster centroids represents: Z={z1,z2,,zK}. The goal of clustering is to find the optimal set of centroids Z that ensures a significant degree of resemblance between data points in the same cluster while maximizing the distinction between different clusters. To measure similarity, the Euclidean distance function computes the distance between a data point xi and the cluster centroid zj as follows:

d(xi,zj)=p=1M(xi,p-zj,p)2,    (4)

where M is the number of attributes in the dataset, xi, p is the pth attribute of the data point xi, and zj, p is the pth attribute of the cluster centroid zj. Each data point xi is assigned to the cluster whose centroid is closest in Euclidean distance. Formally, the assignment is defined as: xiGqifd(xi,zq)<d(xi,zr),rq. This clustering procedure maximizes intra-cluster similarity while inter-cluster variations remain significant.

2.3 Optimization function for clustering

The SMCFO algorithm is developed to enhance clustering performance by addressing the limitations of traditional methods. Consider a dataset D with N data points, where each data point xi has M attributes. The objective is to partition D into K clusters, each represented by a centroid zk. The complete set of centroids is given by: Z={z1,z2,,zK}. The dimension of the final result is a K×M matrix, which helps to optimize the cluster centroids. In the SMCFO algorithm, each individual represents a clustering center vector corresponding to a potential solution. A well-formed clustering solution minimizes intra-cluster distances while ensuring distinct separation between clusters. The clustering process aims to minimize the within-cluster sum of squares (WCSS), expressed as

minZf(D,Z)=k=1KxiGkxi-zk2.    (5)

Here, D represents the dataset and Z is the clustering center vector. The SMCFO algorithm seeks to determine the optimal centroid set Z that minimizes this function, ensuring compact and well-separated clusters.

3 Cuttlefish optimization algorithm (CFO)

The CFO is a global optimization method inspired by the natural behavior of cuttlefish. This algorithm was introduced by Eesa et al. (2013). A distinctive characteristic of cuttlefish, which underpins this algorithm (Eesa et al., 2014), is their ability to exhibit individual behaviors that collectively resemble those of a larger group. The algorithm draws inspiration from the cuttlefish's remarkable ability to change color. This trait serves as camouflage against predators and a strategy for attracting mates during reproduction. This dynamic color change is produced by light reflecting off multiple layers of specialized skin cells, including chromatophores, leucophores, and iridophores, which generate various patterns and colors. The CFO leverages this biological phenomenon by incorporating two key processes: reflection and visibility. These mechanisms simulate how cuttlefish adjust their appearance in response to environmental stimuli, guiding the algorithm's search for new, optimal solutions.

The process of generating a new solution in the optimization task, guided by reflection and visibility, is illustrated in Equation 6.

Xnew=reflection+visibility.    (6)

The CFO algorithm divides individuals into four groups, each employing different mechanisms to generate new solutions. In computational intelligence, these mechanisms correspond to acquiring novel solutions:

Group I: Solutions are updated based on the current position.

reflection=R·Xc,    (7)
visibility=V·(Xbest-Xc).    (8)

Group II: Solutions are influenced by current and best positions.

reflection=R·Xbest,    (9)
visibility=V·(Xbest-Xc).    (10)

Group III: Solutions are generated based on the best-known position.

reflection=R·Xbest,    (11)
visibility=V·(Xbest-Xavg).    (12)

Group IV: A random search is performed within the solution space.

reflection=ξ,    (13)
visibility=0.    (14)

Here, Xnew represents a candidate solution, Xc denotes the current solution, and Xbest is the best solution found so far. The term ξ represents a randomly selected position in the search space. The parameters R and V are random values drawn from uniform distributions over the intervals [r1, r2] and [v1, v2], respectively. Xavg denotes the average of the best solutions discovered during optimization.

Initialization, grouping, solution updates, evaluation, and iteration are all steps in the structured optimization process used by the CFO until a stopping criterion is satisfied. After initializing the population randomly, the algorithm divides it into four groups, each employing distinct reflection and visibility mechanisms to refine candidate solutions. The grouping strategy balances exploration and exploitation: Group I intensifies the search around the best solution, Groups II and III refine local searches for improved convergence, and Group IV introduces randomness to enhance diversity and prevent premature convergence. The efficiency of CFO depends on four key parameters (r1, r2, v1, v2), which regulate the balance between exploration and exploitation. Adjusting these parameters enhances the algorithm's capability to find optimal solutions.

4 A novel cuttlefish optimization algorithm enhanced by Nelder-Mead Simplex (SMCFO)

There are numerous applications for the CFO algorithm. Nevertheless, it has certain drawbacks, such as a tendency to become trapped in local optima, sensitivity to parameter settings, inefficient convergence, and high computing cost. To overcome these problems, the CFO of Group I has incorporated the Nelder-Mead Simplex approach instead of the conventional reflection and visibility procedures. The algorithm can converge more quickly and detect cluster centroids more precisely, which improves local search by dynamically modifying the search space. The Simplex method also helps prevent premature convergence and improves the CFO's ability to explore complex solution landscapes without relying on gradient information. By properly balancing the roles of exploration and exploitation, the improved CFO achieves better clustering performance with excellent stability and efficiency.

4.1 Justification of group selection for simplex integration

Incorporating the Nelder-Mead simplex method into Group I, instead of other CFO groups, was backed by theory and evidence. Each group in the CFO algorithm has a specific role: Group I focuses on refining, Group II and III emphasize guided exploration and focused exploitation. At the same time, Group IV maintains diversity through randomization. The Nelder-Mead simplex method is a local search technique that needs strong candidate solutions to work well, so Group I fits its exploitative nature. On the other hand, adding Nelder-Mead to Groups II-IV either conflicted with their exploratory goals, reduced exploration efficiency, or showed no meaningful performance improvement.

Additionally, comparative tests were conducted to validate this rationale by integrating simplex across different groups. The results indicated that adding it to Group I produced the most reliable gains in convergence rate, stability, and clustering accuracy.

Therefore, both the CFO's structural design and the experimental findings support restricting Nelder-Mead simplex to Group I, where it enhances local exploitation without undermining global search capability. The remaining groups continue to fulfill their original roles, ensuring that the proposed SMCFO maintains a robust balance between exploration and exploitation.

4.2 Local refinement using Nelder-Mead simplex method

The proposed Simplex-Enhanced Cuttlefish Optimization (SMCFO) integrates the Nelder-Mead simplex method into Group I of the population. Individuals in this group are refined locally by the simplex method, rather than depending only on the original cuttlefish update rules. This hybridization improves local exploitation by adjusting centroid positions through geometric transformations like expansion, contraction, and reflection. As a result, SMCFO not only preserves global search through the remaining groups but also introduces dynamic local improvement to boost clustering precision and solution stability. This paper references the simplex method from Nelder and Mead (1965) and depicts a diagrammatic overview of the method in Figure 1. The algorithm steps are as follows:

Step 1: Evaluate the objective function for all individuals in the population and identify the optimal solution xg and the suboptimal solution xb. Let xs be an individual targeted by a predator. The objective function values of xg, xb, and xs are denoted as f(xg), f(xb), and f(xs), respectively.

Step 2: Compute the central position xc of xg and xb using the following formula:

xc=xg+xb2    (15)

Step 3: Perform the reflection operation using the formula:

xr=xc+α(xc-xs)    (16)

where xr represents the reflection point of xs, and α is the reflection coefficient, typically set to 1.

Step 4: Evaluate the objective function values of xr and xg. If f(xr) < f(xg), apply the expansion operation as follows:

xe=xc+γ(xr-xc)    (17)

where γ is the expansion coefficient, typically set to 2. Next, compare f(xe) and f(xg). If f(xe) < f(xg), update xs with xe; otherwise, replace xs with xr.

Step 5: Compare the objective function values of xr and xs. If f(xs) < f(xr), execute the contraction operation using:

xt=xc+β(xs-xc)    (18)

where β represents the contraction coefficient, set to 0.5. Then, compare f(xt) and f(xs). If f(xt) < f(xs), substitute xs with xt; otherwise, replace xs with xr.

Step 6: If f(xg) < f(xr) < f(xs), apply the shrinking operation as follows:

xw=xc-δ(xs-xc)    (19)

where δ is the shrinking coefficient, typically set to 0.5 (Wang et al., 2016). This parameter is selected because it balances exploration and exploitation so that there can be stable convergence without premature stagnation. A coefficient of 0.5 ensures the gradual reduction in the search space with a bias toward refining solutions incrementally. Then, compare f(xw) and f(xs). If f(xw) < f(xs), update xs with xw; otherwise, replace xs with xr.

Figure 1
Diagram showing a geometrical shape with labeled points: (X_s), (X_w), (X_c), (X_l), (X_r), (X_e), (X_g), and (X_b). Solid lines connect (X_s), (X_w), (X_c), (X_l), (X_r), and (X_e) horizontally, while dashed lines form triangles between these points and (X_g) above, and (X_b) below.

Figure 1. Diagrammatic overview of the method.

Group I improves local exploitation of promising candidate solutions by including the Nelder-Mead simplex approach. The improved individuals will enhance clustering accuracy and solution stability without sacrificing global exploration, based on our simplex operations analysis and the design of the SMCFO method. The simplex-enhanced architecture ensures effective convergence toward high-quality cluster centroids by balancing intensive local search and broad global exploration. The following section presents the complete SMCFO algorithm in flowchart and pseudocode form.

4.3 Pseudocode and flowchart of the novel SMCFO algorithm

The pseudocode presented in Algorithm 1 outlines the step-by-step process of the Cuttlefish Optimization Algorithm enhanced by Nelder-Mead simplex method (SMCFO) for data clustering. The flowchart in Figure 2 illustrates the step-by-step procedure of the SMCFO for clustering. It shows how the population is initialized, divided into strategic groups, updated using CFO and simplex operations, and iteratively refined until convergence.

Algorithm 1
www.frontiersin.org

Algorithm 1. Pseudocode of novel SMCFO for data clustering.

Figure 2
Flowchart of a process starting with “Initialize Population”� and “Evaluate Fitness.”� The process leads to “Group Division,”� branching into four pathways: “Refines Existing Individuals”� via Simplex, “Modifies Existing Individuals”� (Best+current), “Generates Near-best Individuals”� (Best+Avg), and “Creates New Individuals”� randomly. Solutions are updated, fitness re-evaluated, and convergence checked. If converged, it returns “Centroids and Clusters”�; if not, the process repeats.

Figure 2. Flowchart of SMCFO algorithm process.

5 Experimental results and discussions

A comprehensive series of tests is conducted to validate the proposed SMCFO's effectiveness in clustering tasks. The experimental environment is configured to ensure consistent evaluation conditions across diverse datasets—the following subsections present details of the experimental setup, datasets, and comparative methodologies.

5.1 Experimental environment

All the algorithms are executed in MATLAB online. The experiments are conducted on a laptop with an AMD Ryzen 7 7735U processor, Radeon Graphics (2.70 GHz), and 16 GB of memory.

5.2 Comparative analysis of algorithms

The proposed SMCFO algorithm significantly contributes to the study of data clustering analysis. The evaluation analyzes performance using 14 benchmark datasets, which include two synthetic datasets and 12 real-world datasets from the UCI Machine Learning Repository (Merz, 1998). Table 1 details the number of data points, features, and clusters for each dataset. All comparison algorithms will use the randomly selected parameters for the art1 and art2 datasets (Niknam and Amiri, 2010). Since each dataset has unique characteristics, no algorithm consistently achieves the best results in all experiments. Consequently, the experimental outcomes genuinely evaluate the proposed algorithm's performance.

Table 1
www.frontiersin.org

Table 1. Details of the clustering datasets.

To assess the effectiveness of the SMCFO algorithm in solving data clustering problems, we compare it with four other optimization algorithms: PSO Alswaitti et al., (2018), SSO (Cuevas et al., 2013; Cuevas and Cienfuegos, 2014), SMSHO (Fausto et al., 2017), and CFO (Kowalski et al., 2020). The parameters for these comparison algorithms are set as follows, based on prior studies and their ability to balance exploration and exploitation, enhance convergence behavior, and maintain diversity during optimization:

1. PSO: The weight factor is set to ω = 0.7298 with acceleration coefficients c1 = c2 = 1.4962, which is based on (Alswaitti et al. 2018). These values are widely adopted to achieve a good trade-off between exploration and exploitation, improving convergence and solution quality.

2. SSO: Parameters α, β, δ,rm and PF are randomly selected within the interval [0, 1], as determined to be the optimal parameter set based on Cuevas et al. (2013) and Cuevas and Cienfuegos (2014). Randomization helps maintain population diversity and allows adaptive behavior across different problem instances.

3. SMSHO: Parameters α, β, γ, δ and ρ are randomly chosen within the range [0, 1], as referenced in Fausto et al. (2017). This stochastic approach increases global search ability and helps avoid local optima by enabling diverse solution exploration.

4. CFO: r1 = −0.5, r2 = 1.0, v1 = −2.0, v2 = 2.0, which is based on Kowalski et al. (2020). These parameters govern attraction-repulsion dynamics and have been empirically validated to facilitate effective search space exploration.

These experiments will compare the algorithms based on optimization performance, clustering effectiveness, solution diversity, stability, execution time, the influence of population size, the impact of iteration count, and the results of Wilcoxon's rank-sum test.

5.3 Comparison of algorithms based on optimization performance

Each experiment is independently repeated 30 times for each algorithm to minimize the impact of randomness in the comparison algorithms. Each run has a maximum of 200 iterations, with a population size 52 for all algorithms. The evaluation metrics include the best value, worst value, mean value, and standard deviation. Tables 216 present the experiment's findings, with the best-performing results indicated in bold. “Rank” denotes a thorough rating, usually based on the algorithm's optimization performance and obtained from the mean value.

Table 2
www.frontiersin.org

Table 2. Comparative analysis of algorithms on art1.

Table 3
www.frontiersin.org

Table 3. Comparative analysis of algorithms on art2.

Table 4
www.frontiersin.org

Table 4. Comparative analysis of algorithms on iris.

Table 5
www.frontiersin.org

Table 5. Comparative analysis of algorithms on breastcancer.

Table 6
www.frontiersin.org

Table 6. Comparative analysis of algorithms on tae.

Table 7
www.frontiersin.org

Table 7. Comparative analysis of algorithms on heartstatlog.

Table 8
www.frontiersin.org

Table 8. Comparative analysis of algorithms on thy.

Table 9
www.frontiersin.org

Table 9. Comparative analysis of algorithms on haberman.

Table 10
www.frontiersin.org

Table 10. Comparative analysis of algorithms on cmc.

Table 11
www.frontiersin.org

Table 11. Comparative analysis of algorithms on glass.

Table 12
www.frontiersin.org

Table 12. Comparative analysis of algorithms on vehicle.

Table 13
www.frontiersin.org

Table 13. Comparative analysis of algorithms on vertebral.

Table 14
www.frontiersin.org

Table 14. Comparative analysis of algorithms on sonar.

5.3.1 Analyzing the effectiveness of optimization algorithms

The results summarized in Tables 215 demonstrate its competitive effectiveness in clustering optimization. Notably, SMCFO secured the highest ranking (1st place) on the iris, Breast Cancer, and vehicle datasets, indicating its superior capability. On the haberman, vertebral, and sonar datasets, SMCFO ranked 3rd, while in all remaining datasets, it consistently achieved 2nd place, showcasing its reliability and robustness across a diverse range of clustering tasks. A detailed comparison reveals that in instances where SMCFO ranked 2nd or 3rd, the top-performing algorithm was either SMSHO or PSO, suggesting that these two methods serve as its primary competitors. Despite these variations in ranking, SMCFO consistently outperformed CFO across all datasets, highlighting its overall advantage in terms of clustering accuracy and optimization efficiency. These findings reinforce the suitability of SMCFO as a competitive alternative to CFO, particularly in scenarios where enhanced clustering performance is required. As is evident from Figures 318, the proposed SMCFO algorithm achieves the most rapid convergence among all the other optimization methods, with the highest values for variance as well. The high variance indicates that the algorithm has extreme variations when performing optimization. Nevertheless, the variance is minimal for all datasets, which shows that the suggested algorithm generates consistent and stable results with fewer variations across varied datasets. This stability indicates that the algorithm is strong, with consistent performance even under divergent situations. Even with these changes, the overall performance of the proposed SMCFO method is still better than the other algorithms, showing that it is effective and reliable for solving the given clustering problem.

Table 15
www.frontiersin.org

Table 15. Comparative analysis of algorithms on ecoli.

Figure 3
Line graph showing the cumulative best fitness over 200 iterations for five optimization algorithms: PSO (blue), SSO (green), SMSHO (red), CFO (purple), and SMCFO (orange). PSO, SSO, and SMSHO converge below 100 iterations, while CFO and SMCFO level off earlier.

Figure 3. Evolutionary convergence trends for art1.

Figure 4
Box plot comparing fitness values of five algorithms: PSO, SSO, SMSHO, CFO, and SMCFO. SSO has the widest range, while SMSHO, CFO, and SMCFO have similar, smaller ranges. Outliers are present across all algorithms.

Figure 4. Variance analysis of optimization methods on art1.

Figure 5
Line graph showing cumulative best fitness over 200 iterations for five methods: PSO, SSO, SMSHO, CFO, and SMCFO. PSO achieves the lowest fitness around 100 quickly, while SMCFO stabilizes above 200. Other methods have varying performances between these values.

Figure 5. Evolutionary convergence trends for art2.

Figure 6
Box plot comparing the fitness values of five algorithms: PSO, SSO, SMSHO, CFO, and SMCFO. SSO shows a wide range of values with an interquartile range of approximately 100 to 250, while the other algorithms have much narrower ranges clustered around lower values. Several outliers are present in PSO, SSO, CFO, and SMCFO.

Figure 6. Variance analysis of optimization methods on art2.

Figure 7
Line chart depicting cumulative best fitness over 200 iterations for various algorithms: PSO, SSO, SMSHO, CFO, and SMCFO. PSO starts high, decreasing sharply before stabilizing. SSO and SMSHO quickly reach low fitness. CFO maintains a higher level throughout. SMCFO declines gradually, showing varying performances in optimization.

Figure 7. Evolutionary convergence trends for tae.

Figure 8
Box plot comparing the fitness value distributions of five algorithms: PSO, SSO, SMSHO, CFO, and SMCFO. PSO shows a compact range around 600. SSO has a wider spread with a median above 700. SMSHO, CFO, and SMCFO show more compact distributions near 600, with CFO and SMCFO having several outliers.

Figure 8. Variance analysis of optimization methods on tae.

Figure 9
Line graph showing cumulative best fitness over 200 iterations. Five algorithms are compared: PSO, SSO, SMSHO, CFO, and SMCFO. CFO initially starts high, drops sharply, and stabilizes around iteration 50. Other algorithms show minor variations but generally stabilize early. Legend appears on the right.

Figure 9. Evolutionary convergence trends for thy.

Figure 10
Box plot comparing fitness values across five algorithms: PSO, SSO, SMSHO, CFO, and SMCFO. PSO and SSO have tighter distributions with lower medians, while SMSHO, CFO, and SMCFO show higher variability and medians. Outliers are present in all algorithms.

Figure 10. Variance analysis of optimization methods on thy.

Figure 11
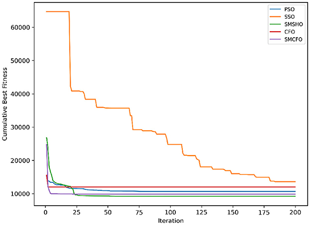
Line graph showing cumulative best fitness over 200 iterations for PSO, SSO, SMSHO, CFO, and SMCFO algorithms. SSO starts high but decreases significantly, while others stabilize below 15,000 by iteration 50.

Figure 11. Evolutionary convergence trends for cmc.

Figure 12
Box plot comparing fitness values across five algorithms: PSO, SSO, SMSHO, CFO, and SMCFO. SSO shows the highest variation with a large interquartile range, while the others have smaller ranges and lower median values. Outliers are present in all groups.

Figure 12. Variance analysis of optimization methods on cmc.

Figure 13
Line graph showing the cumulative best fitness across 200 iterations for five optimization algorithms: PSO, SSO, SMSHO, CFO, and SMCFO. The orange SSO line shows a steep decline, indicating significant improvement over iterations. Other algorithms show minimal changes with lines close to the x-axis. The legend differentiates each algorithm by color.

Figure 13. Evolutionary convergence trends for heartstatlog.

Figure 14
Box plot comparing fitness values of five algorithms: PSO, SSO, SMSHO, CFO, and SMCFO. SSO shows the highest variability and median, with outliers beyond 50,000. Other algorithms show lower, more consistent values.

Figure 14. Variance analysis of optimization methods on heartstatlog.

Figure 15
Line graph showing cumulative best fitness against iterations for five algorithms: PSO, SSO, SMSHO, CFO, and SMCFO. PSO, SSO, SMSHO, and CFO converge quickly, while SMCFO decreases gradually over 200 iterations, maintaining higher fitness values.

Figure 15. Evolutionary convergence trends for glass.

Figure 16
Box plot comparing fitness values across five algorithms: PSO, SSO, SMSHO, CFO, and SMCFO. The SSO algorithm shows the largest spread and highest outliers, while the other algorithms have lower median values and fewer outliers.

Figure 16. Variance analysis of optimization methods on glass.

Figure 17
Line chart displaying cumulative best fitness over 200 iterations for five algorithms: PSO, SSO, SMSHO, CFO, and SMCFO. The x-axis represents iterations, and the y-axis represents cumulative best fitness. Most algorithms stabilize quickly below 100, while CFO has higher fluctuations, peaking significantly before stabilizing.

Figure 17. Evolutionary convergence trends for ecoli.

Figure 18
Box plot comparing fitness values across five algorithms: PSO, SSO, SMSHO, CFO, and SMCFO. SSO displays a wide range with high outliers, while others have lower, clustered values.

Figure 18. Variance analysis of optimization methods on ecoli.

5.4 Clustering performance of the algorithm

The clustering procedure of the proposed SMCFO algorithm is analyzed, and its efficacy is visually evaluated using three datasets: art2, iris, and vehicle.

5.4.1 Cluster process of SMCFO

The vehicle dataset is utilized to showcase the clustering process of SMCFO. Clustering results are presented at iterations 0, 10, 20, and 50 to provide a detailed visualization of the algorithm's progression. The experimental findings, illustrated in Figure 19, depict each cluster using a distinct color for clarity. As the number of iterations increases from 0 to 10, 20, and 50, the clustering of data points gradually improves. Initially, at iteration 0, the clusters may be poorly defined, with significant overlap and scattered points. By iteration 10, the clustering shows noticeable refinement, with data points beginning to align more closely with their respective clusters. At iteration 20, the cluster separation becomes more distinct, reducing noise and misclassified points. By iteration 50, the clustering reaches a more optimized state, with well-formed groups and minimal misclassification, indicating convergence toward a stable clustering solution.

Figure 19
Four scatter plots showing SMCFO clustering iterations with axes ranging from negative two to two. Each plot displays data points colored by cluster: yellow, green, blue, and purple. Black crosses mark centroids. As iterations progress from zero to fifty, clusters become more defined and centroids shift slightly.

Figure 19. Clustering results of SMCFO for vehicle dataset over the iterations 0, 10, 20, 50.

5.5 Analyzing population diversity improvement in the SMCFO algorithm

A comparative analysis is conducted to demonstrate how the proposed SMCFO algorithm improves population diversity relative to the original algorithm.

5.5.1 Mathematical formulation of population diversity

Optimization algorithms analyze how individuals disperse throughout the solution space to quantify population diversity. A more extensive distribution indicates greater diversity, which helps the algorithm explore more effectively and avoid getting stuck in local optima. Let the population S contain N individuals with fitness values f1, f2, …, fN. Calculate the mean fitness of the population using

f̄=1Ni=1Nfi    (20)

The Spatial Dispersion Index (SDI) is defined as

SDI=i=1N(fi-f̄)2N·f̄2    (21)

This expression describes the variation of the fitness values across the individuals of the population. Because every individual's fitness reflects their location in the search space, an increase in SDI indicates greater spatial dispersal of the individuals, hence more diversity. A low SDI indicates the population resides within a small, dense search space region, which indicates convergence. So, the SDI is a significant parameter to consider while studying an algorithm's diversity dynamics under optimization.

5.5.2 Analysis of population diversity

The algorithm illustrates greater population diversity during the earlier phases of the search process. Higher spatial distribution of individuals improves the chances of reaching the global optimum. The fitness values continue to converge to the global optimum as the search advances, which causes a reduction in population diversity. The study highlights the importance of early search iterations to enable a meaningful comparative assessment. Variance values are analyzed at the 15th, 20th, 25th, and 30th iterations. Table 16 presents experimental results, and Figures 2027 present variance trends for the art1, art2, tae, thy, cmc, heartstatlog, glass, and ecoli datasets. Table 16 illustrates that the new algorithm always generates a higher variance of fitness values than the existing algorithm in early iterations. The distribution of broader solutions indicates greater population diversity and better global search ability. Figures 2027 demonstrate that the suggested approach has more variance than the original algorithm during the initial optimization phase. This high variance is not a random fluctuation. Still, it follows a stable and consistent pattern, proving that the proposed algorithm's increased population diversity is systematic and not random.

Table 16
www.frontiersin.org

Table 16. Analysis of population diversity.

Figure 20
Line graph showing the Spatial Dispersion Index (SDI) over 30 iterations. The blue line represents SMCFO with significant fluctuations between 0.0 and 0.25. The orange line represents CFO, remaining constant at 0.0.

Figure 20. Variance distribution analysis in art1.

Figure 21
Line graph comparing Spatial Dispersion Index (SDI) over 30 iterations for SMCFO and CFO algorithms. SMCFO shows high variability with peaks around iteration 10, while CFO remains consistently low.

Figure 21. Variance distribution analysis in art2.

Figure 22
Line graph showing Spatial Dispersion Index (SDI) versus Iteration. Two series are compared: SMCFO (blue circles) fluctuating between 0.004 and 0.012, and CFO (orange squares) remaining steady near 0.002 across 30 iterations. Legends indicate which color represents each series.

Figure 22. Variance distribution analysis in tae.

Figure 23
Line graph comparing the Spatial Dispersion Index (SDI) over 30 iterations for two methods: SMCFO in blue, showing significant fluctuations, and CFO in orange, remaining stable near zero.

Figure 23. Variance distribution analysis in thy.

Figure 24
Line graph showing Spatial Dispersion Index (SDI) against iteration count for SMCFO and CFO. The blue line with circles for SMCFO varies between approximately 0.002 and 0.010. The orange line with squares for CFO shows less variation, remaining close to 0.000. Both lines display fluctuations over 30 iterations.

Figure 24. Variance distribution analysis in heartstatlog.

Figure 25
Line graph showing Spatial Dispersion Index (SDI) over 30 iterations for two methods: SMCFO and CFO. SMCFO, in blue with circular markers, shows fluctuating values from 0.0075 to 0.0175. CFO, in orange with square markers, remains relatively stable around 0.00025.

Figure 25. Variance distribution analysis in cmc.

Figure 26
Line graph showing the Spatial Dispersion Index (SDI) over 30 iterations. The blue line for SMCFO fluctuates, increasing to around 0.25, while the orange line for CFO remains steady near 0. The legend indicates the colors and labels for each method.

Figure 26. Variance distribution analysis in glass.

Figure 27
Line graph comparing the Spatial Dispersion Index (SDI) over iterations for SMCFO and CFO. The SMCFO fluctuates significantly between 0.2 and 0.8, while the CFO remains consistent around 0.05 across 30 iterations.

Figure 27. Variance distribution analysis in ecoli.

5.6 Stability evaluation of the proposed SMCFO algorithm

Stability of the proposed algorithm is evaluated using experimental data from 30 independent runs, as detailed in Section 5.3. The assessment includes all considered algorithms—PSO, SSO, SMPSO, CFO, and SMCFO—across benchmark datasets. Figures 2835 present the stability curves of all the evaluated algorithms–PSO, SSO, SMPSO, CFO, and the proposed SMCFO–across various benchmark datasets. The stability plots measure the distribution of the obtained fitness values based on 30 independent runs of each algorithm. Across the datasets, the proposed algorithm shows minimal or zero variance in its fitness values at all points, unlike the original algorithms, which show higher variability. Such stability of performance guarantees that the proposed approach achieves a more stable and uniform convergence process. The minor variance demonstrates the strength of the proposed algorithm. It confirms its ability to maintain solution quality under repeated runs, thereby constructing its superior stability compared to the baseline algorithms.

Figure 28
Line graph displaying average fitness values across 30 independent runs for five algorithms: PSO (blue), SSO (green), SMSHO (orange), CFO (red), and SMCFO (purple). CFO shows the highest variation, peaking above 250, while other algorithms remain below 100.

Figure 28. Convergence stability visualization for art1.

Figure 29
Line graph showing average fitness value against the number of independent runs for five optimization algorithms: PSO, SSO, SMSHO, CFO, and SMCFO. PSO maintains a low, steady line. SMCFO fluctuates widely and has the highest peaks. SMSHO and CFO exhibit moderate fluctuation, while SSO shows small fluctuations.

Figure 29. Convergence stability visualization for art2.

Figure 30
Line graph showing the average fitness value over 30 independent runs for five algorithms: PSO (blue), SSO (green), SMSHO (purple), CFO (orange), and SMCFO (red). SMCFO generally has the highest average fitness value, followed by CFO, while PSO and SMSHO have similar lower values. SSO has the lowest values overall.

Figure 30. Convergence stability visualization for tae.

Figure 31
Line graph comparing the average fitness value across 30 independent runs for five methods: PSO (blue), SSO (orange), SMSHO (green), CFO (red), and SMCFCO (purple). CFO consistently shows higher values, while the other methods exhibit lower and more stable averages.

Figure 31. Convergence stability visualization for thy.

Figure 32
Line graph comparing the average fitness value of five algorithms over 30 independent runs. PSO, SSO, SMSHO, CFO, and SMCFO are represented by different colored lines. SMCFO fluctuates the most, reaching peaks exceeding 25,000, while the other algorithms remain below 5,000 consistently. The x-axis denotes the number of independent runs, and the y-axis represents the average fitness value.

Figure 32. Convergence stability visualization for heartstatlog.

Figure 33
Line graph showing average fitness values across 30 independent runs for five algorithms: PSO, SSO, SMSHO, CFO, and SMCFO. Each algorithm is represented by a different color. SMCFO shows the highest variability, while SMSHO has the lowest values overall.

Figure 33. Convergence stability visualization for cmc.

Figure 34
Line graph showing average fitness values against the number of independent runs for five algorithms: PSO (blue), SSO (orange), SMSHO (green), CFO (purple), and SMCFO (red). The SSO and SMCFO lines fluctuate at higher values, while PSO, SMSHO, and CFO maintain lower, more stable averages.

Figure 34. Convergence stability visualization for glass.

Figure 35
Line graph comparing average fitness values across 30 independent runs for five algorithms: PSO, SSO, SMSHO, CFO, and SMCFO. PSO and SMSHO have higher and more variable values, while SMCFO and CFO maintain lower, steadier fitness values.

Figure 35. Convergence stability visualization for ecoli.

5.7 Runtime efficiency analysis of the algorithms

The runtime comparison between SMCFO and CFO across benchmark datasets highlights the efficiency gains and the computational overhead introduced by the simplex-enhanced design. SMCFO provides significant performance in datasets such as art1, art2, thy, cmc, and heartstatlog, as Table 17 shows. art2 shows the most significant improvement, with a 70% reduction in execution time from 45.25 to 13.33 seconds. These cases highlight how the Nelder-Mead simplex method accelerates convergence and reduces computational cost when the search space is relatively low-dimensional or moderately complex.

Table 17
www.frontiersin.org

Table 17. Runtime comparison between CFO and SMCFO (in seconds).

In contrast, on datasets such as glass and ecoli, the runtime of SMCFO exceeds that of CFO. Simplex-based refinement, which typically requires several objective assessments every iteration in higher-dimensional or noisy feature spaces, is the cause of this increase. In addition, cluster size also matters: the more clusters there are, the more expensive centroid updates and simplex refinements become, resulting in increased runtime overhead.

These parameters may enhance the clustering quality even though they lengthen runtimes by creating better centroids and stable partitions. Even though SMCFO is more computationally expensive in complex scenarios because runtime efficiency is not the top priority, the balance favors effectiveness. The balance between accuracy, stability, and speed must be essential in clustering tasks.

5.8 Impact of population size on the performance of the algorithm

The proposed SMCFO algorithm demonstrates enhanced performance through a comprehensive evaluation across multiple benchmark datasets and population sizes. SMCFO consistently achieves lower or comparable mean fitness values to the original CFO, particularly at smaller populations such as 20, 40, and 60. Table 18 shows that SMCFO can explore the solution space more effectively and converge toward optimal solutions faster, even with fewer search agents. For instance, at a population size of 40, the fitness value for the art2 dataset dropped from 1,198 (CFO) to 252.62 (SMCFO), showcasing an impressive improvement in solution quality. In addition to solution quality, SMCFO demonstrates improved stability and robustness across diverse datasets with varying feature sizes and class distributions. Unlike CFO, which often shows flat performance regardless of population variation, SMCFO adapts dynamically and produces competitive results even on complex datasets such as thy, glass, and ecoli. While in some cases, such as at higher population sizes (e.g., 80), SMCFO incurs slightly higher fitness values due to increased complexity in local search computations, the overall trend favors the proposed method regarding both effectiveness and efficiency. SMCFO's ability to balance global exploration with local exploitation more precisely makes it a superior choice for clustering tasks where both accuracy and computational cost are critical.

Table 18
www.frontiersin.org

Table 18. Mean fitness comparison of CFO and SMCFO at different population sizes.

5.9 Effect of iteration count on algorithmic performance

As evident from Tables 19, 20, the findings highlight the performance of CFO and SMCFO algorithms at various iterations with all parameters fixed as per Section 5.3, with the only variable being the number of iterations. These findings reveal that SMCFO always performs better than CFO in terms of stability, speed of convergence, and overall dependability. While SMCFO maintains steady fitness values with minimal fluctuations across iterations, CFO exhibits significant variations, particularly in the later stages. This trend is most apparent in complex datasets like ecoli and glass, where SMCFO converges more efficiently and avoids the more significant deviations observed in CFO. In addition, SMCFO is more stable and performs steadily across iterations, whereas CFO performs slower and with more considerable variation. SMCFO's stability indicates its better capability to optimize solutions and escape local minima, making it a more consistent option for clustering operations on varied datasets. These findings highlight the benefits of incorporating the Nelder-Mead simplex method within Cuttlefish Optimization so that SMCFO can realize accelerated, more regular, and more stable convergence and thus outperform the original CFO algorithm.

Table 19
www.frontiersin.org

Table 19. Mean fitness values for CFO across different iterations.

Table 20
www.frontiersin.org

Table 20. Mean fitness values for SMCFO across different iterations.

5.10 Statistical validation using nonparametric tests

The Wilcoxon rank-sum test (Derrac et al., 2011), a widely used nonparametric statistical method, was used to strictly test the statistical significance of differences in performance between algorithms. The test is suitable for comparing two independent samples when the data does not follow a normal distribution. It tests whether one group tends to have higher values than another without assuming the underlying distribution, making it best suited for testing algorithm performance on diverse datasets.

The statistical inference was based on the mean values reported in Tables 215. A p-value was calculated for every pairwise comparison between the proposed SMCFO approach and the four baseline methods: CFO, PSO, SSO, and SMSHO. The p-value quantifies the probability of achieving the observed outcome under the null hypothesis that there is no statistically significant difference between the mean performance of the two algorithms. A smaller p-value provides more substantial evidence against the null hypothesis.

The study used a significance level of 5%(α = 0.05), a standard cut-off value in statistical hypothesis testing. This cutoff was chosen because it strikes an equilibrium between reducing false positives (Type I error) and avoiding actual effects from being missed (Type II error). This represents a 5% chance of incorrectly concluding the presence of a difference when no difference exists. A stricter 1% significance level (α = 0.01) could lower the likelihood of Type I errors but might increase the risk of Type II errors, leading to the possible failure to detect significant differences. Accordingly, the 5% level provides a reasonable compromise, allowing rigorous but not unduly inhibiting testing.

Table 21 lists the p-values obtained using the Wilcoxon rank-sum test. In most comparisons, the p-values are well below 0.05, providing strong statistical evidence against the null hypothesis.

Table 21
www.frontiersin.org

Table 21. Wilcoxon rank-sum test p-values for sMCFO vs. other algorithms.

Table 22 shows the Friedman test findings confirm statistically significant differences between the compared algorithms (p < 0.05 across all datasets). In particular, SMCFO routinely places in the top two performers on every dataset. SMCFO frequently competes with PSO or SMSHO and is explicitly ranked as the best or second-best in several datasets ( art1, tae, thy, hearstatlog, glass, ecoli). Table 23 shows the Nemenyi post-hoc test in that SMCFO achieves statistically significant improvements over CFO, PSO, and SSO in most datasets, with very small p-values (e.g., 10−9, 10−12, 10−14). Against SMSHO, SMCFO shows mixed results: in some cases, differences are not significant (glass, p = 0.4292), while in others SMCFO outperforms SMSHO (e.g., ecoli, p = 0.0037).

Table 22
www.frontiersin.org

Table 22. Friedman test results with best rankings.

Table 23
www.frontiersin.org

Table 23. Nemenyi post-hoc test p-values for SMCFO vs. other algorithms.

The findings show that the performance gains achieved by the proposed SMCFO algorithm are due to its effective design, not random variation. Therefore, the SMCFO algorithm significantly and consistently outperforms the other algorithms on all tested datasets.

5.11 Clustering quality comparison: SMCFO vs. CFO

The proposed SMCFO algorithm is compared with the original CFO approach using eight benchmark datasets to evaluate clustering performance. The evaluation relied on standard clustering performance metrics, including accuracy, F-measure, sensitivity (detection rate), specificity, and adjusted Rand index (ARI). Table 24 shows that the SMCFO algorithm consistently outperformed CFO across most datasets, particularly in accuracy, where it achieved higher values on seven out of eight datasets, such as 0.7317 on art2 compared to CFO's 0.5. SMCFO continually enhanced precision-recall trade-offs and better identified positive cluster assignments, especially in datasets such as art1 and heartstatlog, echoing the same trends in F-measure and sensitivity. Though both algorithms retained high specificity, SMCFO performed better on datasets such as glass and ecoli, efficiently eliminating false positives. In terms of clustering agreement, ARI scores were consistently higher with SMCFO, indicating greater alignment with ground truth labels–for example, art1 (0.8481 vs. 0.8269), art2 (0.8345 vs. 0.6437), and ecoli (0.7362 vs. 0.4658). These results demonstrate that the modifications introduced in SMCFO enhance clustering quality, stability, and convergence, particularly in datasets characterized by complexity or imbalance.

Table 24
www.frontiersin.org

Table 24. Clustering quality comparison: SMCFO vs. CFO.

5.12 Limitations and future directions

While SMCFO provides better stability and centroid accuracy on average, it is not always better. In datasets with greater dimensionality or strict evaluation budgets, the simplex step incurs per-iteration overhead that lowers the rate of global updates, at times constraining exploration. The local refinement can over-exploit shallow basins in datasets with overlapping classes and noisy or redundant features (e.g., glass). Class skewness and numerous small clusters (e.g., ecoli) also prevent centroid placement with a strictly Euclidean objective. For these, we see more minor improvements or some underperformance compared to baselines. To achieve this, future updates will (i) adaptively trigger simplex based on recent progress and use it only for top candidates, (ii) limit per-iteration simplex evaluations to safeguard the global search budget, (iii) include dimensionality reduction or feature weighting/metric learning to help counteract noise and overlap, (iv) introduce diversity-preserving restarts or annealed exploration weights, and (v) leverage parallelization of simplex evaluations. These modifications preserve SMCFO's advantages in accuracy while enhancing its robustness on complex datasets.

6 Conclusion

The effectiveness of the proposed SMCFO method is assessed using benchmark datasets representing diverse tasks such as species classification, disease prediction, educational assessment, analysis of contraceptive behavior, signal processing, and protein localization. The SMCFO algorithm integrates the Nelder-Mead Simplex method into the original CFO framework, replacing the traditional reflection and visibility stages for group 1. The primary motivation for introducing the simplex method is to enhance the algorithm's exploration capability and population diversity. This combination allows for creating a more extensive and diverse range of candidate solutions in the search space, which enhances the likelihood of obtaining improved fitness values and strengthens the capacity of the algorithm to escape local optima. The SMCFO algorithm improves global search ability and demonstrates better convergence speed and stability. In data clustering problems, every solution in SMCFO is a collection of cluster centroids. The performance of the proposed algorithm is tested using extensive experiments on two artificial and twelve real-world datasets. Its performance is compared with well-known algorithms, such as PSO, SSO, SMSHO, and CFO. Both numerical and graphical results affirm that SMCFO outperforms the other methods consistently, with improved fitness values, stable convergence behavior, and high capability for avoiding premature convergence.

Future research will concentrate on a few essential topics. Firstly, will look into complex fitness function designs to improve performance on noisy and unbalanced datasets. Further illustrating the practical utility of SMCFO, will thoroughly assess its scalability and dependability on large-scale, multi-modal, high-dimensional datasets. In addition, SMCFO will expand to address complex real-world optimization issues, such as intelligent transportation systems, blockchain transaction data for scalable and fraud-proof clustering, image segmentation, and scheduling jobs.

Data availability statement

The original contributions presented in the study are included in the article/supplementary material, further inquiries can be directed to the corresponding author.

Author contributions

KK: Conceptualization, Methodology, Software, Validation, Writing – original draft, Writing – review & editing. HG: Supervision, Writing – review & editing.

Funding

The author(s) declare that financial support was received for the research and/or publication of this article. This research is funded by Vellore Institute of Technology Chennai, Tamilnadu, India.

Conflict of interest

The authors declare that the research was conducted in the absence of any commercial or financial relationships that could be construed as a potential conflict of interest.

Generative AI statement

The author(s) declare that no Gen AI was used in the creation of this manuscript.

Any alternative text (alt text) provided alongside figures in this article has been generated by Frontiers with the support of artificial intelligence and reasonable efforts have been made to ensure accuracy, including review by the authors wherever possible. If you identify any issues, please contact us.

Publisher's note

All claims expressed in this article are solely those of the authors and do not necessarily represent those of their affiliated organizations, or those of the publisher, the editors and the reviewers. Any product that may be evaluated in this article, or claim that may be made by its manufacturer, is not guaranteed or endorsed by the publisher.

References

Ali, M., Scandurra, P., Moretti, F., and Sherazi, H. H. R. (2024). Anomaly detection in public street lighting data using unsupervised clustering. IEEE Trans. Consum. Electron. 70, 4524–4535. doi: 10.1109/TCE.2024.3354189

Crossref Full Text | Google Scholar

Alswaitti, M., Albughdadi, M., and Isa, N. A. M. (2018). Density-based particle swarm optimization algorithm for data clustering. Expert Syst. Appl. 91, 170–186. doi: 10.1016/j.eswa.2017.08.050

Crossref Full Text | Google Scholar

Anand, P., and Arora, S. (2020). A novel chaotic selfish herd optimizer for global optimization and feature selection. Artif. Intell. Rev. 53, 1441–1486. doi: 10.1007/s10462-019-09707-6

Crossref Full Text | Google Scholar

Batra, P. K., and Kant, K. (2018). An energy-aware clustering algorithm for wireless sensor networks: ga-based approach. Int. J. Auton. Adapt. Commun. Syst. 11, 275–292. doi: 10.1504/IJAACS.2018.093696

PubMed Abstract | Crossref Full Text | Google Scholar

Bhandari, A. K., Kumar, I. V., and Srinivas, K. (2019). Cuttlefish algorithm-based multilevel 3-d otsu function for color image segmentation. IEEE Trans. Instrum. Meas. 69, 1871–1880. doi: 10.1109/TIM.2019.2922516

Crossref Full Text | Google Scholar

Bhimavarapu, U., Chintalapudi, N., and Battineni, G. (2024). Brain tumor detection and categorization with segmentation of improved unsupervised clustering approach and machine learning classifier. Bioengineering 11:266. doi: 10.3390/bioengineering11030266

PubMed Abstract | Crossref Full Text | Google Scholar

Bui, Q.-T., Vo, B., Do, H.-A. N., Hung, N. Q. V., and Snasel, V. (2020). F-mapper: a fuzzy mapper clustering algorithm. Knowl.-Based Syst. 189:105107. doi: 10.1016/j.knosys.2019.105107

Crossref Full Text | Google Scholar

Bushra, A. A., and Yi, G. (2021). Comparative analysis review of pioneering dbscan and successive density-based clustering algorithms. IEEE Access 9, 87918–87935. doi: 10.1109/ACCESS.2021.3089036

Crossref Full Text | Google Scholar

Buvanesvari, R., and Begum, A. R. (2020). Social spider-based unequal clustering protocol for wireless sensor environment for smart cities. Electron. Gov. Int. J. 16, 190–209. doi: 10.1504/EG.2020.105235

PubMed Abstract | Crossref Full Text | Google Scholar

Cuevas, E., and Cienfuegos, M. (2014). A new algorithm inspired in the behavior of the social-spider for constrained optimization. Expert Syst. Appl. 41, 412–425. doi: 10.1016/j.eswa.2013.07.067

PubMed Abstract | Crossref Full Text | Google Scholar

Cuevas, E., Cienfuegos, M., Zaldívar, D., and Pérez-Cisneros, M. (2013). A swarm optimization algorithm inspired in the behavior of the social-spider. Expert Syst. Appl. 40, 6374–6384. doi: 10.1016/j.eswa.2013.05.041

PubMed Abstract | Crossref Full Text | Google Scholar

Derrac, J., García, S., Molina, D., and Herrera, F. (2011). A practical tutorial on the use of nonparametric statistical tests as a methodology for comparing evolutionary and swarm intelligence algorithms. Swarm Evol. Comput. 1, 3–18. doi: 10.1016/j.swevo.2011.02.002

Crossref Full Text | Google Scholar

Eesa, A. S., Brifcani, A. M. A., and Orman, Z. (2013). Cuttlefish algorithm-a novel bio-inspired optimization algorithm. Int. J. Sci. Eng. Res. 4, 1978–1986.

Google Scholar

Eesa, A. S., Brifcani, A. M. A., and Orman, Z. (2014). A new tool for global optimization problems-cuttlefish algorithm. Int. J. Math. Comput. Nat. Phys. Eng. 8, 1208–1211.

Google Scholar

Fausto, F., Cuevas, E., Valdivia, A., and González, A. (2017). A global optimization algorithm inspired in the behavior of selfish herds. BioSystems 160, 39–55. doi: 10.1016/j.biosystems.2017.07.010

PubMed Abstract | Crossref Full Text | Google Scholar

Gormley, I. C., Murphy, T. B., and Raftery, A. E. (2023). Model-based clustering. Annu. Rev. Stat. Its Appl. 10, 573–595. doi: 10.1146/annurev-statistics-033121-115326

Crossref Full Text | Google Scholar

Gupta, R., and Kumar, S. (2024). Novel similarity measure between hesitant fuzzy set and their applications in pattern recognition and clustering analysis. J. Eng. Appl. Sci. 71:5. doi: 10.1186/s44147-023-00329-y

Crossref Full Text | Google Scholar

Karunakaran, V., Suganthi, M., and Rajasekar, V. (2020). Feature selection and instance selection using cuttlefish optimisation algorithm through tabu search. Int. J. Enterp. Netw. Manag. 11, 32–64. doi: 10.1504/IJENM.2020.103907

PubMed Abstract | Crossref Full Text | Google Scholar

Kowalski, P. A., Łukasik, S., Charytanowicz, M., and Kulczycki, P. (2020). Optimizing clustering with cuttlefish algorithm. Inf. Technol. Syst. Res. Comput. Phys. 3, 34–43. doi: 10.1007/978-3-030-18058-4_3

Crossref Full Text | Google Scholar

Li, S., Long, Q., Nong, L., Zheng, Y., Meng, X., and Zhu, Q. (2023). Identification of immune infiltration and cuproptosis-related molecular clusters in tuberculosis. Front. Immunol. 14:1205741. doi: 10.3389/fimmu.2023.1205741

PubMed Abstract | Crossref Full Text | Google Scholar

Lin, H.-J., Yang, F.-W., and Kao, Y.-T. (2005). An efficient ga-based clustering technique. J. Appl. Sci. Eng. 8, 113–122.

Google Scholar

Ma, M., Luo, Q., Zhou, Y., Chen, X., and Li, L. (2015). An improved animal migration optimization algorithm for clustering analysis. Discrete Dyn. Nat. Soc. 2015:194792. doi: 10.1155/2015/194792

Crossref Full Text | Google Scholar

Merz, C. J. (1998). UCI Repository of Machine Learning Databases. Available online at: http://www.ics.uci.edu/mlearn/MLRepository.html (Accessed April 7, 2025).

Google Scholar

Nelder, J. A., and Mead, R. (1965). A simplex method for function minimization. Comput. J. 7, 308–313. doi: 10.1093/comjnl/7.4.308

PubMed Abstract | Crossref Full Text | Google Scholar

Niknam, T., and Amiri, B. (2010). An efficient hybrid approach based on pso, aco and k-means for cluster analysis. Appl. Soft Comput. 10, 183–197. doi: 10.1016/j.asoc.2009.07.001

Crossref Full Text | Google Scholar

Niu, B., Duan, Q., Liu, J., Tan, L., and Liu, Y. (2017). A population-based clustering technique using particle swarm optimization and k-means. Nat. Comput. 16, 45–59. doi: 10.1007/s11047-016-9542-9

Crossref Full Text | Google Scholar

Oti, E. U., Olusola, M. O., Eze, F. C., and Enogwe, S. U. (2021). Comprehensive review of k-means clustering algorithms. Criterion 12, 22–23. doi: 10.31695/IJASRE.2021.34050

Crossref Full Text | Google Scholar

Ran, X., Xi, Y., Lu, Y., Wang, X., and Lu, Z. (2023). Comprehensive survey on hierarchical clustering algorithms and the recent developments. Artif. Intell. Rev. 56, 8219–8264. doi: 10.1007/s10462-022-10366-3

PubMed Abstract | Crossref Full Text | Google Scholar

Rengasamy, S., and Murugesan, P. (2021). Pso based data clustering with a different perception. Swarm Evol. Comput. 64:100895. doi: 10.1016/j.swevo.2021.100895

Crossref Full Text | Google Scholar

Suganthi, M., and Karunakaran, V. (2019). Instance selection and feature extraction using cuttlefish optimization algorithm and principal component analysis using decision tree. Cluster Comput. 22, 89–101. doi: 10.1007/s10586-018-1821-z

Crossref Full Text | Google Scholar

Tareq, M., Sundararajan, E. A., Harwood, A., and Bakar, A. A. (2021). A systematic review of density grid-based clustering for data streams. IEEE Access 10, 579–596. doi: 10.1109/ACCESS.2021.3134704

Crossref Full Text | Google Scholar

Thalamala, R., Barnabas, J., and Reddy, A. (2019). A novel variant of social spider optimization using single centroid representation and enhanced mating for data clustering. PeerJ Comput. Sci. 5:e201. doi: 10.7717/peerj-cs.201

PubMed Abstract | Crossref Full Text | Google Scholar

Vijilesh, V., Harini, A., Dharshini, M. H., and Priyadharshini, R. (2021). Customer segmentation using machine learning. Elem. Educ. Online 8, 821–825. doi: 10.17051/ilkonline.2021.03.335

Crossref Full Text | Google Scholar

Wang, R., Zhou, Y., Qiao, S., and Huang, K. (2016). Flower pollination algorithm with bee pollinator for cluster analysis. Inf. Process. Lett. 116, 1–14. doi: 10.1016/j.ipl.2015.08.007

Crossref Full Text | Google Scholar

Wu, D., Karhade, D. S., Pillai, M., Jiang, M.-Z., Huang, L., Li, G., et al. (2021). “Machine learning and deep learning in genetics and genomics,” in Machine Learning in Dentistry (Cham: Springer), 163–181. doi: 10.1007/978-3-030-71881-7_13

Crossref Full Text | Google Scholar

Yang, L., Hou, Q., Zhu, X., Lu, Y., and Xu, L. D. (2025). “Potential of large language models in blockchain-based supply chain finance,” in Enterprise Information Systems (Taylor and Francis), 2541199. doi: 10.1080/17517575.2025.2541199

Crossref Full Text | Google Scholar

Yang, Y., Cai, J., Yang, H., Zhang, J., and Zhao, X. (2020). Tad: a trajectory clustering algorithm based on spatial-temporal density analysis. Expert Syst. Appl. 139:112846. doi: 10.1016/j.eswa.2019.112846

Crossref Full Text | Google Scholar

Zhao, R., Wang, Y., Xiao, G., Liu, C., Hu, P., and Li, H. (2021). A selfish herd optimization algorithm based on the simplex method for clustering analysis. J. Supercomput. 77, 8840–8910. doi: 10.1007/s11227-020-03597-0

Crossref Full Text | Google Scholar

Zhou, Y., Zhou, Y., Luo, Q., and Abdel-Basset, M. (2017). A simplex method-based social spider optimization algorithm for clustering analysis. Eng. Appl. Artif. Intell. 64, 67–82. doi: 10.1016/j.engappai.2017.06.004

Crossref Full Text | Google Scholar

Keywords: clustering, cuttlefish optimization algorithm, Nelder-Mead simplex method, global search ability, metaheuristic optimization algorithm

Citation: K. K and G. HG (2025) SMCFO: a novel cuttlefish optimization algorithm enhanced by simplex method for data clustering. Front. Artif. Intell. 8:1677059. doi: 10.3389/frai.2025.1677059

Received: 31 July 2025; Accepted: 31 August 2025;
Published: 26 September 2025.

Edited by:

Yang Lu, Beijing Technology and Business University, China

Reviewed by:

Fengyi Wang, Beijing Technology and Business University, China
Enliang Li, Qualcomm, United States

Copyright © 2025 K. and G.. This is an open-access article distributed under the terms of the Creative Commons Attribution License (CC BY). The use, distribution or reproduction in other forums is permitted, provided the original author(s) and the copyright owner(s) are credited and that the original publication in this journal is cited, in accordance with accepted academic practice. No use, distribution or reproduction is permitted which does not comply with these terms.

*Correspondence: Hannah Grace G., aGFubmFoZ3JhY2UuZ0B2aXQuYWMuaW4=

Disclaimer: All claims expressed in this article are solely those of the authors and do not necessarily represent those of their affiliated organizations, or those of the publisher, the editors and the reviewers. Any product that may be evaluated in this article or claim that may be made by its manufacturer is not guaranteed or endorsed by the publisher.