ORIGINAL RESEARCH article
Front. Artif. Intell.
Sec. AI in Business
Multi-Perspective Hotel Operation Process Anomaly Prediction Method Based on Graph Transformer and Autoencoder
Provisionally accepted- 1Vocational College Of Defense Technology, Luan, China
- 2Tiangong University, Tianjin, China
Select one of your emails
You have multiple emails registered with Frontiers:
Notify me on publication
Please enter your email address:
If you already have an account, please login
You don't have a Frontiers account ? You can register here
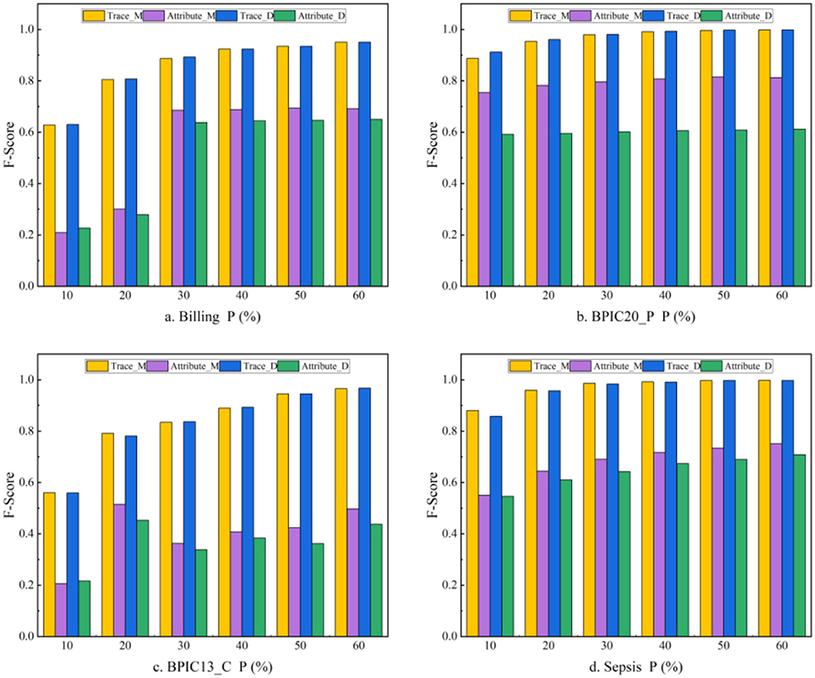
Due to the influence of various factors, abnormal situations are inevitable in hotel operation processes. Predicting upcoming anomalies in advance can ensure the reasonable operation of the process. Current advanced anomaly prediction methods use deep learning to encode control flow and data flow information for predicting anomalies in attributes like activity and time. However, this approach struggles to represent the behavioral relationships between process activities and the interaction between control flow and data flow is not specific. To address this issue, this paper proposes a business process anomaly prediction method based on Multi-perspective Graph Transformer and Auto Encoder (MLGTAE). This method first uses Petri nets to capture process behaviors and combines time, resource, and other data attributes to construct multi-perspective trace graphs. Finally, the attention mechanism is used to achieve deep interaction between behavior and data, and the decoder performs reconstruction to predict anomalies. The method was verified through multiple real datasets, and the results show that the proposed method outperforms the comparison methods in anomaly prediction at both the activity level and the data attribute level.
Keywords: Hotel operation, process anomaly prediction, graph transformer, Behavioral relationship, behavioral footprint
Received: 12 Aug 2025; Accepted: 17 Nov 2025.
Copyright: © 2025 Ma and Wu. This is an open-access article distributed under the terms of the Creative Commons Attribution License (CC BY). The use, distribution or reproduction in other forums is permitted, provided the original author(s) or licensor are credited and that the original publication in this journal is cited, in accordance with accepted academic practice. No use, distribution or reproduction is permitted which does not comply with these terms.
* Correspondence: Yidan Ma, hf_myd@163.com
Disclaimer: All claims expressed in this article are solely those of the authors and do not necessarily represent those of their affiliated organizations, or those of the publisher, the editors and the reviewers. Any product that may be evaluated in this article or claim that may be made by its manufacturer is not guaranteed or endorsed by the publisher.
