ORIGINAL RESEARCH article
Front. Artif. Intell.
Sec. Machine Learning and Artificial Intelligence
A New Framework with Convoluted Oscillatory Neural Network (CONN) for Efficient Object-Based Land Use and Land Cover Classification on Remote Sensing Images
Provisionally accepted- Vellore Institute of Technology, Vellore, India
Select one of your emails
You have multiple emails registered with Frontiers:
Notify me on publication
Please enter your email address:
If you already have an account, please login
You don't have a Frontiers account ? You can register here
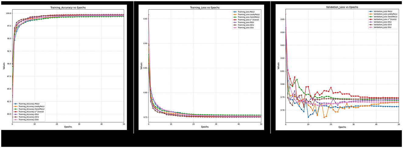
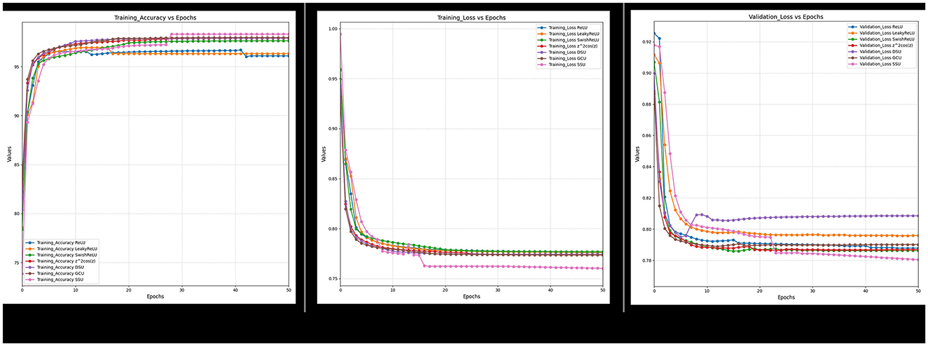
Rigorous urbanization leads to unprecedented climate change. Pune area in India has witnessed recent flash floods and landslides due to unplanned rapid urbanization. It therefore becomes vital to manage and analyse man-made impact on the environment through effective Land Use Land Cover classification (LULC). Accurate LULC classification allows for better planning and effective allocation of resources in urban development. Remote sensing images provide surface reflectance data that are used for accurate mapping and monitoring of land cover. Convolution Neural Networks (CNN) trained with Relu are conventionally used in classifying different land types. However, every neuron has a single hyperplane decision boundary which restricts the model's capability to generalize. Oscillatory activation functions with their periodic nature have demonstrated that a single neuron can have multiple hyperplanes in the decision boundary which helps in better generalization and accuracy. This study proposes a novel framework with Convoluted Oscillatory Neural Networks (CONN) that synergistically combines the periodic, non-monotonic nature of oscillatory activation functions with the deep convoluted architecture of CNNs to accurately map LULC. Results carried out on LANDSAT-8 surface reflectance images for the Pune area indicate that CONN with Decaying Sine Unit achieved an overall train accuracy of 99.999%, test accuracy of 95.979% and outperforms conventional CNN models in precision, recall and User's Accuracy. A thorough ablation study was conducted with various subsets of the feature set to test the performance of the selected models in the absence of data.
Keywords: Convolution Neural Network, Landsat8, remote sensing, Oscillatory functions, LULC (Land use Land cover)
Received: 01 Sep 2025; Accepted: 18 Nov 2025.
Copyright: © 2025 Chandnani, Kulkarni, Amali and Selvaraj. This is an open-access article distributed under the terms of the Creative Commons Attribution License (CC BY). The use, distribution or reproduction in other forums is permitted, provided the original author(s) or licensor are credited and that the original publication in this journal is cited, in accordance with accepted academic practice. No use, distribution or reproduction is permitted which does not comply with these terms.
* Correspondence: Geraldine Bessie Amali, geraldine.amali@vit.ac.in
Disclaimer: All claims expressed in this article are solely those of the authors and do not necessarily represent those of their affiliated organizations, or those of the publisher, the editors and the reviewers. Any product that may be evaluated in this article or claim that may be made by its manufacturer is not guaranteed or endorsed by the publisher.
