ORIGINAL RESEARCH article
Front. Chem. Eng.
Sec. Environmental Chemical Engineering
This article is part of the Research TopicTrends and Developments in Algal Biofuels, Biorefinery and BioremediationView all articles
Engineering an Automated Microbubble-assisted Hybrid Photobioreactor for CO₂ Capture and Valorization to Polyhydroxybutyrate in Indigenous Algal Biomass
Provisionally accepted- 1Centre for Rural Development and Technology, indian institue of technology delhi, Delhi, India
- 2Department of Chemical Engineering, indian institue of technology delhi, Delhi, India
Select one of your emails
You have multiple emails registered with Frontiers:
Notify me on publication
Please enter your email address:
If you already have an account, please login
You don't have a Frontiers account ? You can register here
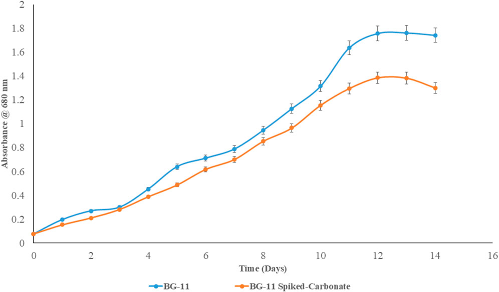
Integration of microalgal systems into carbon capture technologies offers a dual advantage; mitigation of anthropogenic CO₂ emissions and sustainable production of high-value macromolecules. The study presents the engineering and pilot scale operation of a 200 L microbubble-assisted hybrid photobioreactor for CO₂ bio-fixation. Subsequent valorization into lipids and biopolymers was obtained using an indigenous alga, Poterioochromonas malhamensis. A novel 3D-printed microbubble generator assembly (MBG) was retrofitted to a 1.2 m carbonation column (CC) and integrated with a 200 L high-rate algal pond (HRAP). Sequential high speed bubble imaging at different column heights 'H', under different liquid flow (QL) and gas flow (QG) regimes were processed and interpreted using a MATLAB based bubble analyser. Gaussian-distribution function was used to established the most probable bubble diameter (DM) in the range 400 – 800 µm while achieving microbubble density in the range 61 % - 90 % in the CC supporting efficient gas–liquid exchange. The hybrid reactor was further automated using a real-time pH-feedback loop for CO₂ dosing, under photoautotrophic conditions with 5 % (v/v) CO₂ supplementation. The system maintained the culture media bicarbonate buffer in the optimal range (pH 7.2–8.5). The hybrid reactor yielded 0.423 gL⁻¹ biomass having a carbon content of 43.06 % DCW, a CO2-biofixation rate of 44.05 mgL⁻¹d⁻¹, and Polyhydroxybutyrate (PHB) content of 5.79 % DCW. Our findings demonstrate the scalability, automation potential, and bioproduct yield enhancements of the hybrid system, making it a viable model for CCUS (carbon capture, utilization, and storage) through algal valorization. The approach offers a technically sound, energy-efficient route for transforming inorganic carbon into commercially relevant algal macromolecules.
Keywords: Microbubble photobioreactor, CO2 bio-fixation, polyhydroxybutyrate (PHB), Algal biopolymer, Carbon Capture and Usage (CCU)
Received: 09 Sep 2025; Accepted: 23 Oct 2025.
Copyright: © 2025 Dey, Dalvi, De, Sahu and Malik. This is an open-access article distributed under the terms of the Creative Commons Attribution License (CC BY). The use, distribution or reproduction in other forums is permitted, provided the original author(s) or licensor are credited and that the original publication in this journal is cited, in accordance with accepted academic practice. No use, distribution or reproduction is permitted which does not comply with these terms.
* Correspondence: Anushree Malik, anushree.malik@gmail.com
Disclaimer: All claims expressed in this article are solely those of the authors and do not necessarily represent those of their affiliated organizations, or those of the publisher, the editors and the reviewers. Any product that may be evaluated in this article or claim that may be made by its manufacturer is not guaranteed or endorsed by the publisher.
