ORIGINAL RESEARCH article
Front. Chem. Eng.
Sec. Sustainable Process Engineering
This article is part of the Research TopicLow-Carbon Hydrogen Production and ApplicationsView all 3 articles
Decarbonizing Methanol Synthesis via Low-Carbon Hydrogen: Process Simulation and Techno-Economic Insights
Provisionally accepted- 1Texas A&M University at Qatar, Doha, Qatar
 - 2Texas A&M University, College Station, United States
 - 3Hamad Bin Khalifa University, Doha, Qatar
 
Select one of your emails
You have multiple emails registered with Frontiers:
Notify me on publication
Please enter your email address:
If you already have an account, please login
You don't have a Frontiers account ? You can register here
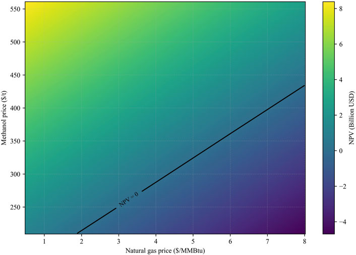
Methanol synthesis is one of the most hydrogen-intensive chemical processes, making its decarbonization a critical step toward climate-aligned chemical production. In this study, Aspen Plus® process simulation and techno-economic assessment (TEA) were applied to evaluate & compare four hydrogen production configurations for natural-gas-based methanol synthesis with capacity of 5,000 tons/day: (i) a conventional partial oxidation (POx)- water-gas shift reaction (WGS) base case, (ii) advanced reforming of methane (ARM) with integrated CO₂ utilization and multi-walled carbon nanotube (MWCNT) co-production, (iii) methane pyrolysis coupled with reverse water–gas shift reaction (RWGS), and (iv) POx supplemented with renewable hydrogen and oxygen from alkaline water electrolysis (AWE). Each configuration was assessed for syngas composition, carbon intensity (CI), capital and operating expenditures, net present value (NPV), internal rate of return (IRR), levelized cost of fuel (LCOF), and marginal abatement cost (MAC). Both ARM and Methane Pyrolysis + RWGS achieved net-negative CI (−0.47 and −0.57 kg CO₂/kg MeOH, respectively), while AWE + POx reduced CI by 75 % compared with the baseline and exhibited the lowest indirect emissions. ARM provided the highest profitability (NPV ≈ $20.2 B, IRR ≈ 118 %/year) due to MWCNT revenues, whereas AWE-integrated delivered the lowest LCOF (≈ $296/ton) and a negative MAC (≈ −$137/ton CO₂e), representing a cost-saving "no-regrets" decarbonization pathway. Methane pyrolysis and RWGS offered the deepest CO₂ reduction but were more sensitive to natural gas and electricity prices. These results identify clear deployment niches: ARM in regions with robust carbon co-product markets, methane pyrolysis + RWGS where CO₂ supply is abundant and valorization is feasible, and AWE-integrated where low-cost renewable electricity is accessible. Two-way sensitivity maps further delineate viability domains as a function of gas and methanol prices, providing a compact decision-support tool for investors.
Keywords: methanol synthesis, low-carbon hydrogen , Techno-economic analysis, CO2 utilization, methane pyrolysis, Advanced Reforming, Electrolytic hydrogen, Syngas Production
Received: 02 Oct 2025; Accepted: 03 Nov 2025.
Copyright: © 2025 Khawaja, Musa, Challiwala, El-Halwagi and Elbashir. This is an open-access article distributed under the terms of the Creative Commons Attribution License (CC BY). The use, distribution or reproduction in other forums is permitted, provided the original author(s) or licensor are credited and that the original publication in this journal is cited, in accordance with accepted academic practice. No use, distribution or reproduction is permitted which does not comply with these terms.
* Correspondence: Nimir  Elbashir, nimir.elbashir@qatar.tamu.edu
Disclaimer: All claims expressed in this article are solely those of the authors and do not necessarily represent those of their affiliated organizations, or those of the publisher, the editors and the reviewers. Any product that may be evaluated in this article or claim that may be made by its manufacturer is not guaranteed or endorsed by the publisher.
