ORIGINAL RESEARCH article
Front. Comput. Neurosci.
This article is part of the Research TopicData Mining in NeuroimagingView all articles
Transferable CNN-Based Data Mining Approaches for Medical Imaging: Application to Spine DXA Scans for Osteoporosis Detection
Provisionally accepted- 1National College of Business Administration and Economics, Multan, Pakistan
- 2Universita degli Studi di Bologna, Bologna, Italy
- 3Istanbul Topkapi Universitesi, Istanbul, Türkiye
- 4Prince Sattam bin Abdulaziz University, Al Kharj, Saudi Arabia
- 5Istanbul Arel Universitesi, Istanbul, Türkiye
- 6Qassim University, Buraydah, Saudi Arabia
- 7Istinye Universitesi, Istanbul, Türkiye
- 8Istanbul Sabahattin Zaim University, Istanbul, Türkiye
- 9Istanbul Nisantasi Universitesi, Sarıyer, Türkiye
- 10Istanbul Medipol University, Istanbul, Türkiye
- 11Applied Science Private University, Amman, Jordan
Select one of your emails
You have multiple emails registered with Frontiers:
Notify me on publication
Please enter your email address:
If you already have an account, please login
You don't have a Frontiers account ? You can register here
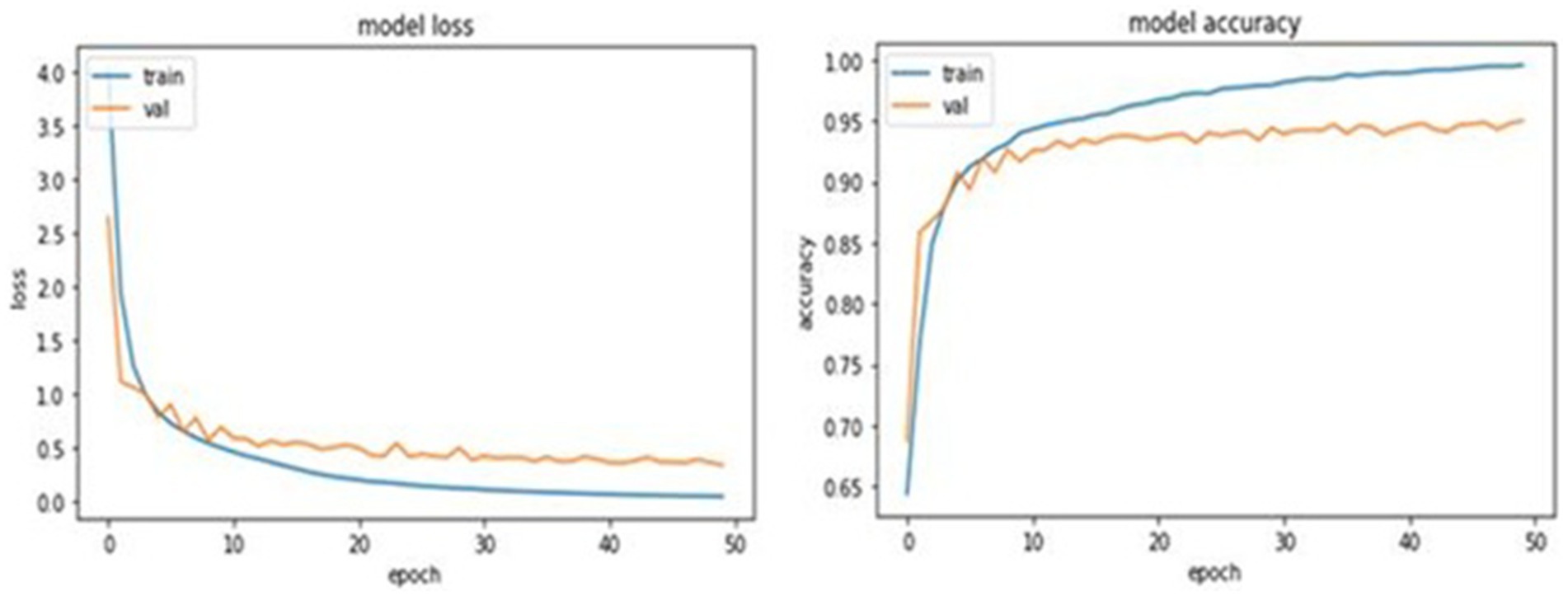
Osteoporosis is the leading cause of sudden bone fractures. This is a silent and deadly disease that can affect any part of the body, such as the spine, hips, and knee bones. Aim: To measure bone mineral density, dual-energy X-ray absorptiometry (DXA ) scans help radiologists and other medical professionals identify the early signs of osteoporosis in the spine. Methods: A proposed 21-layer convolutional neural network (CNN) model is implemented and validated for automatically detecting osteoporosis from spine DXA images. The dataset contains 174 spine DXA images, including 114 affected by osteoporosis and the rest normal or non-fractured. To improve training, the dataset is expanded using various data augmentation techniques. Results: The classification performance of the proposed model is compared with that of four popular pre-trained models: ResNet-50, VGG-16, VGG-19, and Inception-v3. With an F1-score of 97.16%, recall of 95.41%, classification accuracy of 97.14%, and precision of 99.04%, the proposed model consistently outperforms competing approaches. Conclusion: The proposed paradigm would therefore be very valuable to radiologists and other medical professionals. The capacity of the proposed approach to detect, monitor, and diagnose osteoporosis may lower the chance of developing the condition.
Keywords: CNN, Classification model, Osteoporosis, DEXA Images, image processing, MedicalDiagnosis
Received: 25 Sep 2025; Accepted: 05 Dec 2025.
Copyright: © 2025 Naeem, Osman, Alsubai, Çevik, ZAIDI, Seyyedabbasi and Rasheed. This is an open-access article distributed under the terms of the Creative Commons Attribution License (CC BY). The use, distribution or reproduction in other forums is permitted, provided the original author(s) or licensor are credited and that the original publication in this journal is cited, in accordance with accepted academic practice. No use, distribution or reproduction is permitted which does not comply with these terms.
* Correspondence: Jawad Rasheed
Disclaimer: All claims expressed in this article are solely those of the authors and do not necessarily represent those of their affiliated organizations, or those of the publisher, the editors and the reviewers. Any product that may be evaluated in this article or claim that may be made by its manufacturer is not guaranteed or endorsed by the publisher.
