METHODS article
Front. Electron.
Sec. Power Electronics
Adaptive Active Frequency Support Strategy for Receiving-end MMC-HVDC Stations Based on Rate of Change of Frequency
Provisionally accepted- 1State Key Laboratory of HVDC (Electric Power Research Institute, CSG), Guangzhou, China
- 2China Southern Power Grid Co Ltd, Guangzhou, China
Select one of your emails
You have multiple emails registered with Frontiers:
Notify me on publication
Please enter your email address:
If you already have an account, please login
You don't have a Frontiers account ? You can register here
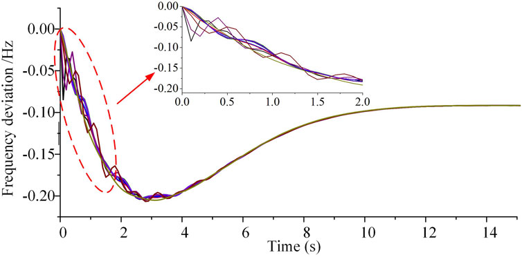
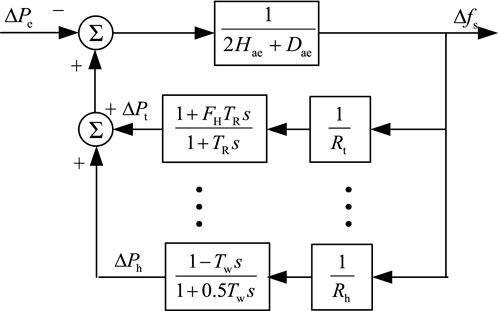
As the proportion of HVDC infeed power increases in the eastern receiving-end power grid, inertia and frequency regulation capability decrease. Utilizing modular multilevel converter (MMC) stations at the receiving-end to provide active frequency support can effectively address this challenge. To this end, this paper first introduces conventional control methods for MMC-based HVDC systems participating in frequency regulation. Subsequently, it establishes a critical mapping relationship between the initial rate of change of frequency (RoCoF) and the subsequent maximum frequency deviation at the converter bus. Building upon this relationship, an adaptive strategy for dynamically adjusting the frequency regulation parameters (virtual inertia and damping coefficient) of the MMC is proposed. This strategy enables the MMC to provide prioritized inertia support during the initial inertial stage and switch to damping support during the recovery stage. Finally, simulations conducted on a modified IEEE 39 bus system validate the effectiveness of the proposed adaptive frequency regulation strategy.
Keywords: Active frequency support1, Adaptive adjustment contro2, Modular MultilevelConverter (MMC)3, virtual inertia4, Virtual damping coefficient5
Received: 24 Jul 2025; Accepted: 31 Oct 2025.
Copyright: © 2025 Baoye¹, Li, Zhai and Zhang. This is an open-access article distributed under the terms of the Creative Commons Attribution License (CC BY). The use, distribution or reproduction in other forums is permitted, provided the original author(s) or licensor are credited and that the original publication in this journal is cited, in accordance with accepted academic practice. No use, distribution or reproduction is permitted which does not comply with these terms.
* Correspondence: 
Tian  Baoye¹, zhh_cspg@163.com
Ye  Zhang, lou061889@163.com
Disclaimer: All claims expressed in this article are solely those of the authors and do not necessarily represent those of their affiliated organizations, or those of the publisher, the editors and the reviewers. Any product that may be evaluated in this article or claim that may be made by its manufacturer is not guaranteed or endorsed by the publisher.
