ORIGINAL RESEARCH article
Front. Electron.
Sec. Industrial Electronics
Research on Insulator Contamination Component Identification Based on Neural Network
Provisionally accepted- 1Qujing Power Supply Bureau of Yunnan Power Grid Co., Ltd., Qujing, China
- 2Xi'an Jiaotong University, Xi'an, China
Select one of your emails
You have multiple emails registered with Frontiers:
Notify me on publication
Please enter your email address:
If you already have an account, please login
You don't have a Frontiers account ? You can register here
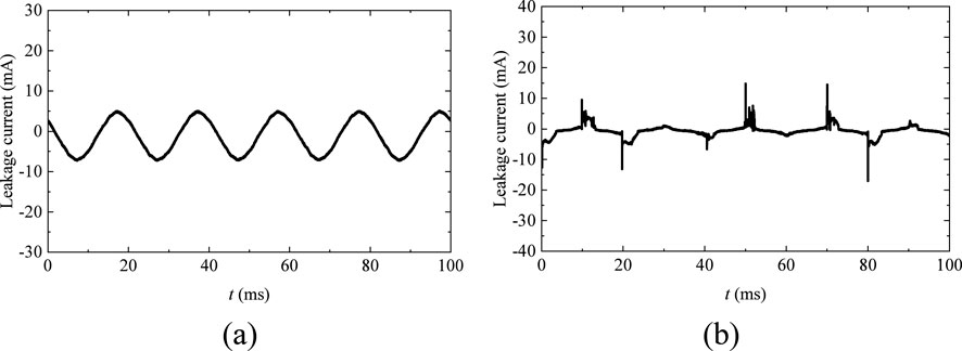
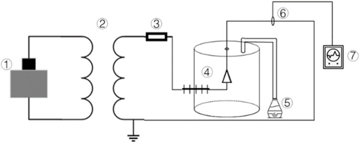
Glass suspension insulators in power transmission lines are vulnerable to surface contamination over time, especially in harsh environments like metallurgical plants. Analysis of such contamination revealed significant metal deposits, primarily iron particles sized between 2 μm and 20 μm. To study the impact of this metallic contamination on flashover behavior, researchers created artificial pollution using NaCl, diatomaceous earth, and iron powder. Leakage current tests demonstrated that metal content fundamentally alters the current waveform, causing it to exhibit AC superimposed impulses. Key findings include: metal lowers the voltage threshold for impulse inception, shortens the impulse rise and fall times, and increases critical impulse parameters (frequency, maximum amplitude, and discharge magnitude) as the metal proportion rises. Furthermore, a ResNet18-SA deep learning model was developed, integrating a self-attention mechanism. This architecture demonstrates exceptional robustness in interpreting pulsed current signals while accurately classifying levels of metallic contamination, providing a reliable and automated solution for insulator condition assessment.
Keywords: Glass insulators, Contamination composition, metal contamination, leakage current, Neural Network
Received: 08 Aug 2025; Accepted: 26 Nov 2025.
Copyright: © 2025 Luo, Liu, Wang, Mei and Liu. This is an open-access article distributed under the terms of the Creative Commons Attribution License (CC BY). The use, distribution or reproduction in other forums is permitted, provided the original author(s) or licensor are credited and that the original publication in this journal is cited, in accordance with accepted academic practice. No use, distribution or reproduction is permitted which does not comply with these terms.
* Correspondence: Xuandong Liu
Disclaimer: All claims expressed in this article are solely those of the authors and do not necessarily represent those of their affiliated organizations, or those of the publisher, the editors and the reviewers. Any product that may be evaluated in this article or claim that may be made by its manufacturer is not guaranteed or endorsed by the publisher.
