ORIGINAL RESEARCH article
Front. Environ. Econ.
Sec. Economics of Climate Change
Spatial and temporal evolution characteristics and influencing factors of carbon footprint pressure in China's equipment manufacturing industry
Provisionally accepted- Nanjing University of Information Science and Technology, Nanjing, China
Select one of your emails
You have multiple emails registered with Frontiers:
Notify me on publication
Please enter your email address:
If you already have an account, please login
You don't have a Frontiers account ? You can register here
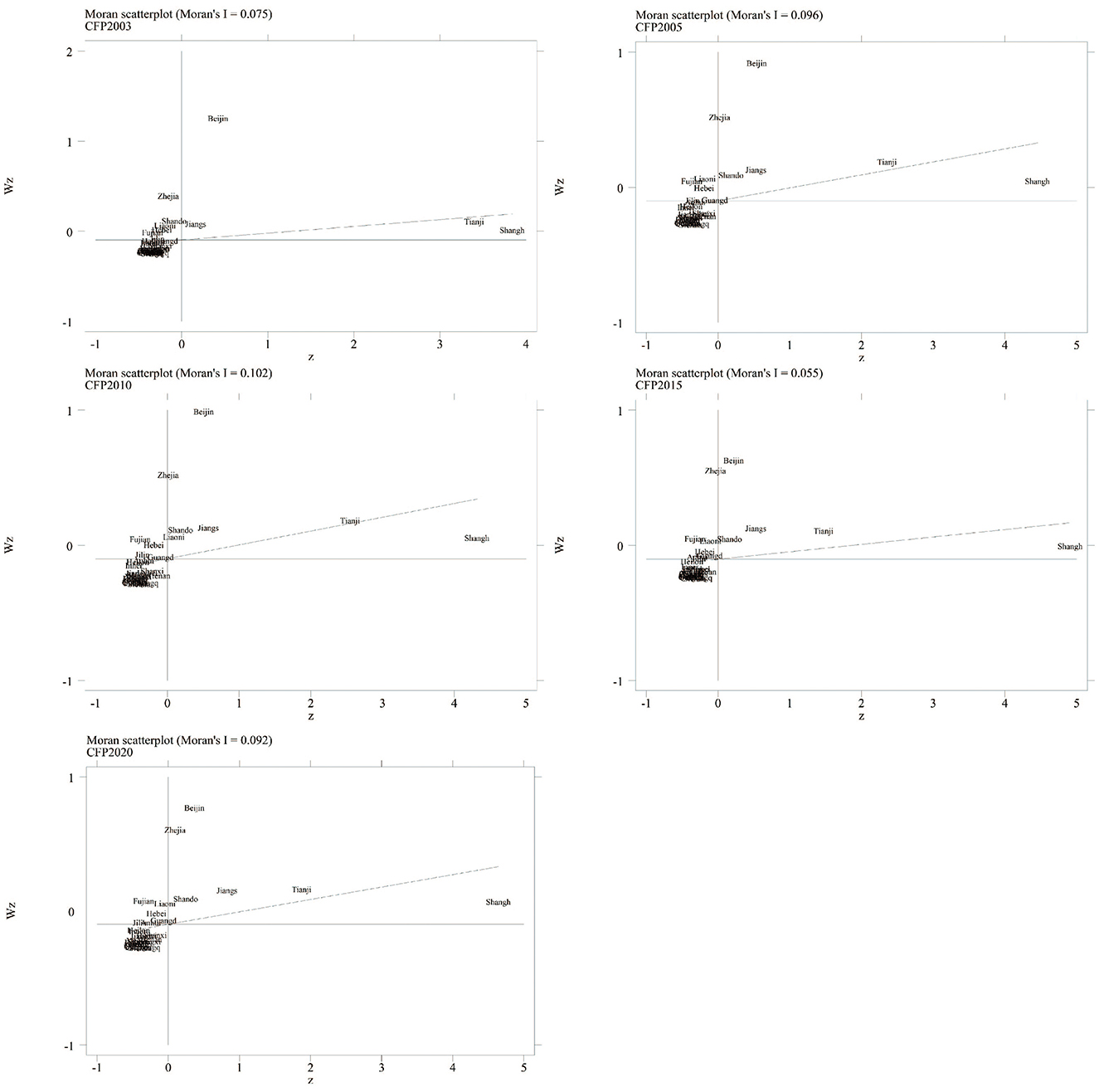
This paper takes China's equipment manufacturing industry as the main research object. Based on the theory of vegetation carbon sequestration, the carbon footprint pressure index (ECFP) of equipment manufacturing industry in 30 provinces in China is constructed and analyzed. First, the temporal and spatial evolution characteristics of China's ECFP were analyzed using exploratory elliptical deviation and standard elliptical deviation. Secondly, Logarithmic Mean Divisia Index decomposition (LMDI) was used to decompose and analyze the influencing factors of ECFP, and the relationship between ECFP and the industry's economic development was investigated using the Tapio model. Finally, the extended STIRPAT model is constructed by combining the LMDI results, and the spatial effects of ECFP are analyzed using a spatial econometric model. The study results show that ECFP continued to rise along the eastern seaboard from 2003 to 2020, and gradually spread inland. The number of practitioners, the economic impact, and the technology effect are the main influences on ECFP. Some eastern regions have achieved decoupling of economic growth from ECFP, while the effect of decoupling has been erratic in the central and western regions. Green technology innovations dampen the rise in ECFP in both the short and long term while being able to reduce ECFP in regional neighborhoods. In addition, Research investment and Industrial structure are the main reasons for higher local ECFP, but technology transfer and industrial agglomeration, reduce the ECFP of neighboring regions. Based on these findings, it is recommended that the government accelerate regional innovation synergies and increase investment in green technology innovation.
Keywords: Equipment manufacturing industry, Carbon footprint pressure, vegetation carbon sequestration, Spatial econometric model, Influencing factors
Received: 19 Aug 2025; Accepted: 29 Oct 2025.
Copyright: © 2025 Zhou, Duan, Ding, Lu and Liu. This is an open-access article distributed under the terms of the Creative Commons Attribution License (CC BY). The use, distribution or reproduction in other forums is permitted, provided the original author(s) or licensor are credited and that the original publication in this journal is cited, in accordance with accepted academic practice. No use, distribution or reproduction is permitted which does not comply with these terms.
* Correspondence: Chunwei Liu, liuchunwei@yeah.net
Disclaimer: All claims expressed in this article are solely those of the authors and do not necessarily represent those of their affiliated organizations, or those of the publisher, the editors and the reviewers. Any product that may be evaluated in this article or claim that may be made by its manufacturer is not guaranteed or endorsed by the publisher.
