- 1 Center of Excellence in Clinical Immunology and Neurosurgery Research Program, Children’s Memorial Research Center, Chicago, IL, USA
- 2 Department of Pathology, Northwestern University, Chicago, IL, USA
- 3 Genomics Core, Northwestern University, Chicago, IL, USA
- 4 Department of Preventive Medicine, Feinberg School of Medicine, Northwestern University, Chicago, IL, USA
Background: Aging is a complex process that involves the interplay of genetic, epigenetic, and environmental factors. Identifying aging-related biomarkers holds great potential for improving our understanding of complex physiological changes, thereby providing a means to investigate the mechanism by which aging influences various diseases. Method and Results: We performed a parallel study of microRNA and gene expression profiling of peripheral blood in a group of healthy young adult women, among which 13 were aged 22–25 and 9 were aged 36–39 years old. We identified a significantly distinct pattern of microRNA, but not gene expression profiling, between these two young adult women groups. We also performed correlation analysis of expression levels between all pairs of age-associated microRNAs and genes and identified a weak global correlation between these two types of expression levels. A significant involvement of estrogen regulation was observed by pathway analysis of the most differentially expressed microRNAs that included miR-155, -18a, -142, -340, -363, -195, and -24. Conclusion: Our results suggest that the change in global microRNA expression in the peripheral blood is associated with normal aging in young adult women. This change may precede global gene expression changes. Future studies are needed to investigate the regulatory mechanism of the estrogen-related microRNAs and associated diseases.
Introduction
Aging is a complex process that involves the interplay of genetic, epigenetic, and environmental factors. Human physiological functions normally decline with age and aging is a major risk factor for several chronic diseases and conditions such as obesity, cardiovascular disease, dementia, osteoporosis, type two diabetes, and cancer. Identifying aging-related biomarkers holds great potential for improving our understanding of complex physiological changes, thereby providing a means to investigate the mechanism by which aging influences various diseases.
High throughput technologies such as microarrays are useful tools for the systematic examination of complex molecular processes. The gene expression profiles of several model organisms have been used to investigate the aging process (McCarroll et al., 2004; Fabrizio et al., 2005). Animal studies also use these technologies to investigate tissue-specific changes of gene expression during normal aging or through experimental conditions such as caloric restriction to understand the transcriptional regulation of aging (Lee et al., 1999, 2000; Tollet-Egnell et al., 2001). Recently, a new class of molecules, namely microRNAs (miRNAs), has been recognized as master post-transcriptional regulators of mRNAs (Sun et al., 2010). MiRNAs are a class of small (20–25 nucleotides) non-coding RNAs that are involved in several biological and pathological processes including cell differentiation, proliferation, and apoptosis (Bartel, 2004). Through imperfect pairing with target protein coding genes, miRNAs may lead to translational repression or cleavage of the target protein coding genes. More than 30% of the entire genome is predicted to be targets of miRNAs (Filipowicz et al., 2008). Dysregulation of miRNAs has been found in malignant tumors and changes in circulating miRNAs have been linked to coronary artery disease (Garzon et al., 2009; Lee and Dutta, 2009; Fichtlscherer et al., 2010). Similarly, miRNAs were found to be involved with aging. Somel et al. (2010) studied the link between development and aging in human and macaque brain and found that the majority of miRNA and gene expression changes that occur during the aging process are in fact reversal patterns of development, suggesting a direct link between development regulation and expression changes associated with aging. The authors also demonstrated that in both species, miRNA expression is highly influenced by age.
Recently, Hooten et al. (2010) identified several miRNAs differentially expressed between young (30 years of age) and old (64 years of age) adults and showed an overall decline in miRNA expression in older adults compared to younger adults. However, it is unknown whether changes in miRNA levels are related to the normal aging process during young adulthood. Here, we performed a parallel comparison of miRNA and mRNA profiling patterns between 13 healthy women aged 22–25 and 9 women aged 36–39 years old. Our study identified a specific miRNA signature that is involved in estrogen regulation and was differentially expressed between these two age groups of young adult women.
Materials and methods
Study Participants
Twenty-two healthy young adult women without diabetes or inflammatory diseases took part in this study. Among these 22 women, 13 were 22–25 years old (mean ± SD: 23.6 ± 0.8) and 9 were 36–39 years old (37.2 ± 1.1). The younger age group included nine white and four Asian women, while the older age group included one Hispanic, three Asian, and five white women. Each volunteer participant had 5 ml fasting whole blood drawn into two PAXgene tubes (QIAGEN Inc., Valencia, CA, USA) for total RNA isolation. The Institutional Review Board at Northwestern University approved the study and all participants gave written informed consent.
Total RNA Extraction and mRNA and MiRNA Profiling
Whole blood (5 ml) from each participant was drawn into two PAXgene tubes and was incubated at room temperature for 3 h before being frozen at −70°C. Total RNA was extracted from the first PAXgene blood tube using the PAXgene blood RNA extraction kit according to the manufacturer’s protocol. MiRNA was extracted from the second PAXgene blood tube using TRIZOL (Invitrogen) as per the manufacturer’s protocol. The amount of microRNA in each sample was evaluated by the small RNA chip using the 2100 Agilent Bioanalyzer. The concentration and the quality of the extracted total RNA were accessed by NanoDrop (Thermo Fisher Scientific Inc., Waltham, MA, USA) and Bioanalyzer 2100 (Agilent technologies Inc., Santa Clara, CA, USA), respectively. Total RNA preparations with a 260/280 ratio between 1.98–2.22 and an RNA integrity number (RIN) number >7.5 with sufficient quantity were used for the mRNA expression analysis. Globin reduction was performed using the Ambion GLOBINclear kit (Ambion Inc., Austin, TX, USA). The quality of the globin-reduced RNA samples was assessed by the Bioanalyzer 2100. High quality samples were used to make first and second strand DNA followed by an IVT reaction. The size distribution of the resulting biotin-labeled cRNA and the yield was checked by Agilent 2100 and NanoDrop, respectively. A normalized amount of labeled cRNA was hybridized to the Human Ref-8 beadchips (Illumina, San Diego) for 18 h at 55°C. After washing and staining with Cy3, the chips were scanned on the Illumina iScan. The Ref-8 BeadChip allows genome-wide expression profiling of more than 22,000 gene transcripts and known alternative splice variants from the RefSeq database. For miRNA profiling, we used the Illumina 96-sample Universal Matrix Array, which assesses >500 miRNAs described in the Sanger Institute miRBase database and putative miRNAs from the literature resulting in a total of 739 miRNAs. We followed the manufacturer’s protocol. All 22 miRNA samples were run on a single Illumina miRNA plate. The microarray analysis was performed at the Northwestern Genomic Core Facility at the Center for Genetic Medicine. The full mRNA and miRNA microarray data were submitted to the NCBI Gene Expression Omnibus data1 under accession number GSE30205.
Quantitative RT-PCR
Expression levels of four differentially expressed miRNAs (Let-7c, miR-425, miR-199b, and miR-142-5p) were validated by quantitative real time RT-PCR using the TaqMan MicroRNA Assay (Applied BioSystems, Foster City, CA, USA) according to the manufacture’s protocol. RNU44 was used as the endogenous control to normalize the data. Relative expression levels of these miRNAs were determined by the ΔΔ-CT method. All experiments were performed in triplicate.
Data Analysis
Illumina BeadStudio software (Illumina, Inc., San Diego) was used to translate the scanned images into expression data, which were further log-transformed and normalized by the quantile normalization procedure using the Bioconductor package: affy. Principal component analysis (PCA) was used to identify grouping of mRNA and miRNA profiles among all 22 women. Percentages of total data variance for principal components 1 and 2 were calculated for both microarray data sets. Hierarchical clustering2 was used to identify the miRNA expression pattern in the cluster members. Significance analysis of microarrays (Tusher et al., 2001; SAM) was used to identify differentially expressed miRNAs between younger and older women. Standardized fold changes were calculated as mean expression differences divided by pooled SD in the log scale. For miRNAs that were differentially expressed between younger and older women (34 miRNAs), Pearson correlation coefficients were calculated for each of these individual miRNAs and all 22,184 mRNAs. For each miRNA, SAM was used to identify significantly correlative mRNAs (false discovery rate, FDR < 20%). Ingenuity pathway analysis (IPA)3 was used to identify enriched pathways or biological functions among differentially expressed miRNAs.
Results
Global miRNA but not mRNA Profiling is Distinct between Younger and Older Women
Principal component analysis showed a distinct pattern of miRNA expression profiling between the two age groups of women. Specifically, all 13 younger women except one clustered on the left while the nine samples from older women were spread out on the right (Figure 1A). Of note, the cluster for the younger women was much more compact than for the older women, suggesting that miRNA profiles are more similar among younger women than among older women. In contrast, the mRNA expression profiles were mixed between the older and younger women groups and no distinct pattern was observed (Figure 1B). We observed three miRNA profiles from older women on the furthest right of the PCA plot that did not correspond with the three mRNA profiles of older women on the lower part of the PCA plot. In addition, the miRNA profile of one younger woman deviated from all of the other younger women and did not correspond with the mRNA profile of younger women on the right-lower corner of the PCA plot. The miRNA profile of this younger woman can be seen at the third column from the right in the clustering heatmap (Figure 1C).

Figure 1. Parallel comparison of miRNA and mRNA profiling patterns among 9 older (aged 36–39) and 13 younger (aged 22–25) adult women by principal component analysis. (A) miRNA profiling; (B) mRNA profiling. For the miRNA data, the first principal component (X-axis) explains 40.8% of total variation and the second principal component explains (Y-axis) 14.5% of total variation. For the mRNA data, the first and second principal components explain 18.4 and 13% of total variation, respectively. (C) Cluster analysis of miRNA profiling.
Differentially Expressed miRNAs between Younger and Older Women
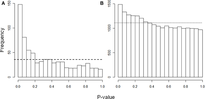
Based on two-sample t tests, a total number of 148 miRNAs (20% of 739 miRNAs represented in the array) have a nominal p-value < 0.05 in the older women versus younger women comparison, which is more than expected by chance alone (Figure 2A). In contrast, only 6.7% of mRNA transcripts (Figure 2B) showed differential expression between the two age groups at the nominal p-value 0.05 level. SAM identified 34 differentially expressed miRNAs between older and younger women with a FDR of 0.1% (Table 1), while only five genes had an FDR of 0.1%. Consistent with PCA, this result indicates a significantly different miRNA, but not mRNA, expression pattern between the two age groups. The expression of four miRNAs with FC ≥ 1.5 or FC ≤ −1.5, two upregulated in older women (let-7c and miR-425) and two downregulated in older women (miR-199b and miR-142-5p), were validated by quantitative real time RT-PCR (Figure 3).

Figure 2. Distributions of p-values from t tests comparing younger and older women. (A) miRNA profiling; (B) mRNA profiling. The width of each bin represents an interval of 0.05 p-value. The horizontal dashed lines indicate the expected distribution under the null hypothesis of no differential expression. If there were no differential expression observed, all the bars will be approximately at the height of the dashed line.

Table 1. Thirty-four differentially expressed microRNAs at an FDR of 0.1% between younger and older women.

Figure 3. Quantitative RT-PCR validation of four age-associated miRNAs identified from the microarray experiment. Bars represent fold changes comparing expression between older and younger women. A positive (negative) fold change represents up (down)-regulation of expression in older women.
Network Analysis of Differentially Expressed miRNAs
To investigate potential regulatory networks among differentially expressed miRNAs, we used IPA software to analyze the functional enrichment of the 34 miRNAs with an FDR of 0.1%. IPA showed that the top biological functions (P = 2·10−9∼5·10−4) represented by this list of differentially expressed miRNAs were: (1) reproductive system disease with six molecules (miR-142, 195, 155, 425, 340, and let-7c), (2) cancer with seven molecules (miR-142, 155, 195, 340, 425, let-7c, and let-7e), and (3) skeletal and muscle disorder with four molecules (miR-155, 195, let-7c, and let-7e). Seven of the 34 differentially expressed miRNAs (miR-340, 363, 18a, 142, 155, 195, and 24) are interconnected in a network involving hormone regulation through the estrogen receptor (ESR1) and/or β-estradiol (Figure 4). We examined the expression correlation between pairs of miRNA–mRNA shown in Figure 4 and found that two pairs of miRNA–mRNA, mi-340/EFNB2 and mi-155/EGFR, showed pronounced negative correlations (Pearson correlation: −0.45 and −0.31; p-value: 0.037 and 0.16, respectively). Using the microarray gene expression data, we determined that the mRNA levels of EGFR (p = 0.05), but not EFNB2 (p = 0.57), were significantly different between the two age groups.

Figure 4. An estrogen regulation network of age-associated differentially expressed miRNAs from Ingenuity Pathway Analysis. Dashed arrow: negative regulation; solid arrow: positive regulation. β-estradiol represents protein.
The Correlation between Pair-Wise mRNA/miRNA Levels is Weak
We evaluated the significance levels of all pair-wise correlations between all mRNAs and the 34 age-associated miRNAs using SAM, a non-parametric permutation test. For each of these 34 individual miRNAs, we identified very few significant correlative mRNAs at an FDR of 20% except for miR-563 (see Table 1). This is even more evident for the 20 miRNAs that were downregulated in older women. The miRDB miRNA database (Wang, 2008) identified 64 genes as predicted targets of miR-563. However, only one of the 72 genes that correlated with miR-563 was found to be a predicted target. The findings that only a few significant correlative mRNA–miRNA pairs were identified and very few correlative genes were predicted targets suggest that the regulation of the differentially expressed miRNA is likely to occur at the post-transcriptional level, but not at the mRNA level.
Discussion
Our results suggest that miRNA, but not mRNA, profiles are associated with normal aging. This may be explained by the fact that there are several mechanisms that underlie gene expression regulation in addition to negative modulation by miRNAs. Every step in the process is subject to dynamic regulation in the cell including structural changes in the chromatin to make a gene open for transcription, transcription of DNA into RNA, splicing of RNA into mRNA, editing, and further covalent modifications of the mRNA (Black, 2003; Saha et al., 2006; Shabalina et al., 2006). Therefore, there are mechanisms that together “compensate” for the initial dysregulation of miRNAs and, only later in the process of aging, these mechanisms will become insufficient for the tight control of gene expression, which ultimately leads to the occurrence of the altered phenotype (Issa, 2004).
Our network analysis of the most differentially expressed miRNAs revealed a significant involvement of estrogen regulation, which is an important implication because estrogen is one of the most crucial hormones and has a wide effect on human disease and physiological processes (Moggs and Orphanides, 2001; Deroo and Korach, 2006). As women age, changes in estrogen levels are often associated with several chronic diseases such as breast cancer, osteoporosis, and atherosclerosis. Several miRNAs in this estrogen-associated network have been linked to these diseases. For example, miR-155 is upregulated in the older age group and this miRNA regulates EGFR (Figure 4). Interestingly, EGFR is regulated by β-estradiol and is involved in the pathophysiology of several types of cancer, and was downregulated at the mRNA level in the older age group. Moreover, miR-155 inhibited the tumor suppressor gene, SOCS1, in a breast cancer cell line and was associated with estrogen/progesterone receptor levels in women with breast cancer (Iorio et al., 2005; Zhu et al., 2009; Jiang et al., 2010). MiR-155 also targets transcripts coding for proteins involved in LPS/TNF-α signaling, which is crucial in the innate immune and inflammatory response (Tili et al., 2007). MiR-18a is downregulated in the older age group, and this miRNA regulates ESR1, which is also negatively regulated by β-estradiol. MiR-18a prevents translation of estrogen receptor-α and promotes the development of hepatocellular carcinoma in women (Liu et al., 2009). MiR-195 (upregulated in older age) and miR-24 (downregulated in older age) both regulate MAPK14, which negatively regulates EGFR (Figure 4). Both reportedly function as modulators of cardiac hypertrophy and heart failure (van Rooij et al., 2006). MiR-142 regulates EGR1, which is involved in atherosclerosis and is also negatively regulated by beta-estradiol (Patino et al., 2006). Finally, miR-340 and miR-363 (both downregulated in the older age group) regulate EFNB2, which is involved in several types of cancer and is also negatively regulated by beta-estradiol (Pedram et al., 2002). Thus, this network represents a synergistic control of multiple molecules in estrogen regulation. Given that miRNA changes in midlife might underlie some of the early pre-clinical changes that ultimately manifest as age-associated decline, (Wang, 2007) age-related miRNAs, individually or in combination, may be used as diagnostics for scoring “physiological” age to predict an individual’s risk for chronic diseases.
We sought to identify miRNAs and their target genes using correlation analysis by parallel comparison between miRNA and mRNA expression profiling. Our result suggests that relatively few pairs of miRNAs and mRNAs are significantly correlated, which is not surprising. First, each miRNA can potentially target hundreds of mRNAs and most mRNA 3′ UTRs contain potential binding sites for a large number of individual miRNAs. Furthermore, the targets of many miRNAs can modulate the expression of other miRNAs, resulting in complex feedback loops. Therefore, interactions between miRNAs and mRNAs may not be explained by simple correlation structure. Finally, the predominant mechanism of regulation by miRNAs in mammals appears to be translational inhibition, suggesting that a correlation between miRNA and protein levels would be more likely than a correlation between miRNA and mRNA levels. Although other studies have attempted to use correlation structure and/or predicted miRNA binding sites to identify miRNA targets, (Wang and Li, 2009; Nunez-Iglesias et al., 2010; Enerly et al., 2011) such approaches are not fruitful in our data and may lead to a large number of false positives.
It has been demonstrated that when there is a large age range between study participants (∼30 years), older individuals show a relative decrease of miRNA expression overall compared to younger participants (Hooten et al., 2010). However, although we did not observe this global pattern in our study in which the age difference was approximately 10 years between study participants, we did observe differential expression of specific miRNAs between the two groups of young adult women (Table 1). In summary, our results suggest that prior to an overall dysregulation of mRNA expression with aging, there are fluctuations in the expression of specific miRNAs that may be related to age-specific changes. Interestingly, these specific aging-related miRNAs seem to be involved in estrogen-regulated processes in women. Our cross-sectional study could not address the casual relation between estrogen and the age-associated miRNAs. Further study is needed to investigate the regulatory mechanisms among these estrogen-associated miRNAs.
Conflict of Interest Statement
The authors declare that the research was conducted in the absence of any commercial or financial relationships that could be construed as a potential conflict of interest.
Acknowledgments
This research was supported by the National Institutes of Health (R01 HL086678; Chiang-Ching Huang).
Footnotes
References
Black, D. L. (2003). Mechanisms of alternative pre-messenger RNA splicing. Annu. Rev. Biochem. 72, 291–336.
Deroo, B. J., and Korach, K. S. (2006). Estrogen receptors and human disease. J. Clin. Invest. 116, 561–570.
Enerly, E., Steinfeld, I., Kleivi, K., Leivonen, S. K., Aure, M. R., Russnes, H. G., Ronneberg, J. A., Johnsen, H., Navon, R., Rodland, E., Makela, R., Naume, B., Perala, M., Kallioniemi, O., Kristensen, V. N., Yakhini, Z., and Borresen-Dale, A. L. (2011). miRNA-mRNA integrated analysis reveals roles for miRNAs in primary breast tumors. PLoS ONE 6, e16915.
Fabrizio, P., Li, L., and Longo, V. D. (2005). Analysis of gene expression profile in yeast aging chronologically. Mech. Ageing Dev. 126, 11–16.
Fichtlscherer, S., De Rosa, S., Fox, H., Schwietz, T., Fischer, A., Liebetrau, C., Weber, M., Hamm, C. W., Roxe, T., Muller-Ardogan, M., Bonauer, A., Zeiher, A. M., and Dimmeler, S. (2010). Circulating microRNAs in patients with coronary artery disease. Circ. Res. 107, 677–684.
Filipowicz, W., Bhattacharyya, S. N., and Sonenberg, N. (2008). Mechanisms of post-transcriptional regulation by microRNAs: are the answers in sight? Nat. Rev. Genet. 9, 102–114.
Garzon, R., Calin, G. A., and Croce, C. M. (2009). MicroRNAs in cancer. Annu. Rev. Med. 60, 167–179.
Hooten, N. N., Abdelmohsen, K., Gorospe, M., Ngozi Ejiogu, N., Zonderman, A. B., and Evans, M. K. (2010). microRNA expression patterns reveal differential expression of target genes with age. PLoS ONE 5, e10724.
Iorio, M. V., Ferracin, M., Liu, C. G., Veronese, A., Spizzo, R., Sabbioni, S., Magri, E., Pedriali, M., Fabbri, M., Campiglio, M., Menard, S., Palazzo, J. P., Rosenberg, A., Musiani, P., Volinia, S., Nenci, I., Calin, G. A., Querzoli, P., Negrini, M., and Croce, C. M. (2005). MicroRNA gene expression deregulation in human breast cancer. Cancer Res. 65, 7065–7070.
Jiang, S., Zhang, H. W., Lu, M. H., He, X. H., Li, Y., Gu, H., Liu, M. F., and Wang, E. D. (2010). MicroRNA-155 functions as an OncomiR in breast cancer by targeting the suppressor of cytokine signaling 1 gene. Cancer Res. 70, 3119–3127.
Lee, C. K., Klopp, R. G., Weindruch, R., and Prolla, T. A. (1999). Gene expression profile of aging and its retardation by caloric restriction. Science 285, 1390–1393.
Lee, C. K., Weindruch, R., and Prolla, T. A. (2000). Gene-expression profile of the ageing brain in mice. Nat. Genet. 25, 294–297.
Liu, W. H., Yeh, S. H., Lu, C. C., Yu, S. L., Chen, H. Y., Lin, C. Y., Chen, D. S., and Chen, P. J. (2009). MicroRNA-18a prevents estrogen receptor-alpha expression, promoting proliferation of hepatocellular carcinoma cells. Gastroenterology 136, 683–693.
McCarroll, S. A., Murphy, C. T., Zou, S., Pletcher, S. D., Chin, C. S., Jan, Y. N., Kenyon, C., Bargmann, C. I., and Li, H. (2004). Comparing genomic expression patterns across species identifies shared transcriptional profile in aging. Nat. Genet. 36, 197–204.
Moggs, J. G., and Orphanides, G. (2001). Estrogen receptors: orchestrators of pleiotropic cellular responses. EMBO Rep. 2, 775–781.
Nunez-Iglesias, J., Liu, C. C., Morgan, T. E., Finch, C. E., and Zhou, X. J. (2010). Joint genome-wide profiling of miRNA and mRNA expression in Alzheimer’s disease cortex reveals altered miRNA regulation. PLoS ONE 5, e8898.
Patino, W. D., Kang, J. G., Matoba, S., Mian, O. Y., Gochuico, B. R., and Hwang, P. M. (2006). Atherosclerotic plaque macrophage transcriptional regulators are expressed in blood and modulated by tristetraprolin. Circ. Res. 98, 1282–1289.
Pedram, A., Razandi, M., Aitkenhead, M., Hughes, C. C., and Levin, E. R. (2002). Integration of the non-genomic and genomic actions of estrogen. Membrane-initiated signaling by steroid to transcription and cell biology. J. Biol. Chem. 277, 50768–50775.
Saha, A., Wittmeyer, J., and Cairns, B. R. (2006). Chromatin remodelling: the industrial revolution of DNA around histones. Nat. Rev. Mol. Cell Biol. 7, 437–447.
Shabalina, S. A., Ogurtsov, A. Y., and Spiridonov, N. A. (2006). A periodic pattern of mRNA secondary structure created by the genetic code. Nucleic Acids Res. 34, 2428–2437.
Somel, M., Guo, S., Fu, N., Yan, Z., Hu, H. Y., Xu, Y., Yuan, Y., Ning, Z., Hu, Y., Menzel, C., Hu, H., Lachmann, M., Zeng, R., Chen, W., and Khaitovich, P. (2010). MicroRNA, mRNA, and protein expression link development and aging in human and macaque brain. Genome Res. 20, 1207–1218.
Sun, W., Julie Li, Y. S., Huang, H. D., Shyy, J. Y., and Chien, S. (2010). microRNA: a master regulator of cellular processes for bioengineering systems. Annu. Rev. Biomed. Eng. 12, 1–27.
Tili, E., Michaille, J. J., Cimino, A., Costinean, S., Dumitru, C. D., Adair, B., Fabbri, M., Alder, H., Liu, C. G., Calin, G. A., and Croce, C. M. (2007). Modulation of miR-155 and miR-125b levels following lipopolysaccharide/TNF-alpha stimulation and their possible roles in regulating the response to endotoxin shock. J. Immunol. 179, 5082–5089.
Tollet-Egnell, P., Flores-Morales, A., Stahlberg, N., Malek, R. L., Lee, N., and Norstedt, G. (2001). Gene expression profile of the aging process in rat liver: normalizing effects of growth hormone replacement. Mol. Endocrinol. 15, 308–318.
Tusher, V. G., Tibshirani, R., and Chu, G. (2001). Significance analysis of microarrays applied to the ionizing radiation response. Proc. Natl. Acad. Sci. U.S.A. 98, 5116–5121.
van Rooij, E., Sutherland, L. B., Liu, N., Williams, A. H., Mcanally, J., Gerard, R. D., Richardson, J. A., and Olson, E. N. (2006). A signature pattern of stress-responsive microRNAs that can evoke cardiac hypertrophy and heart failure. Proc. Natl. Acad. Sci. U.S.A. 103, 18255–18260.
Wang, E. (2007). MicroRNA, the putative molecular control for mid-life decline. Ageing Res. Rev. 6, 1–11.
Wang, X. (2008). miRDB: a microRNA target prediction and functional annotation database with a wiki interface. RNA 14, 1012–1017.
Wang, Y. P., and Li, K. B. (2009). Correlation of expression profiles between microRNAs and mRNA targets using NCI-60 data. BMC Genomics 10, 218.
Keywords: aging, estrogen, gene expression, microRNA, microarrays
Citation: Sredni ST, Gadd S Jafari N and Huang C (2011) A parallel study of mRNA and microRNA profiling of peripheral blood in young adult women. Front. Gene. 2:49. doi: 10.3389/fgene.2011.00049
Received: 28 May 2011;
Paper pending published: 12 June 2011;
Accepted: 06 July 2011;
Published online: 18 July 2011.
Edited by:
Lawrence Wing Chi Chan, Hong Kong Polytechnic University, ChinaReviewed by:
Terrence Chi-kong Lau, The Chinese University of Hong Kong, Hong KongKin Fai Au, Stanford University, USA
Copyright: © 2011 Sredni, Gadd, Jafari and Huang. This is an open-access article subject to a non-exclusive license between the authors and Frontiers Media SA, which permits use, distribution and reproduction in other forums, provided the original authors and source are credited and other Frontiers conditions are complied with.
*Correspondence: Chiang-Ching Huang, Department of Preventive Medicine, Northwestern University, 680 N. Lake Shore Drive, Suite 1400, Chicago, IL 60611, USA. e-mail:aHVhbmdjY0Bub3J0aHdlc3Rlcm4uZWR1