- 1Research Center for Mathematics and Interdisciplinary Sciences, Shandong University, Qingdao, China
- 2Postdoctoral Programme of Zhongtai Securities Co. Ltd, Jinan, China
Biological time series data plays an important role in exploring the dynamic changes of biological systems, while the determinate patterns of association between various biological factors can further deepen the understanding of biological system functions and the interactions between them. At present, local trend analysis (LTA) has been commonly conducted in many biological fields, where the biological time series data can be the sequence at either the level of gene expression or OTU abundance, etc., A local trend score can be obtained by taking the similarity degree of the upward, constant or downward trend of time series data as an indicator of the correlation between different biological factors. However, a major limitation facing local trend analysis is that the permutation test conducted to calculate its statistical significance requires a time-consuming process. Therefore, the problem attracting much attention from bioinformatics scientists is to develop a method of evaluating the statistical significance of local trend scores quickly and effectively. In this paper, a new approach is proposed to evaluate the efficient approximation of statistical significance in the local trend analysis of dependent time series, and the effectiveness of the new method is demonstrated through simulation and real data set analysis.
1 Introduction
Due to the rapid development of molecular biology technology and the significant reduction to sequencing cost, a large amount of biological time series data has been generated in molecular biological research over the past decade. Among the statistical methods used for time series, local similarity analysis (LSA) has been extensively carried out to identify the correlation between various factors, which can be the genes used in gene expression analysis or operational taxonomic units (OTUs) in metagenomics (Qian et al., 2001; Ruan et al., 2006). Extending the LSA method to the study on the local correlation of repeated time series data, Xia et al. (2011) proposed the extended Local Similarity Analysis method(eLSA), where the confidence interval of LSA was constructed by bootstrap. Due to the ease to use allowed by LSA, it has been widely applied in various fields, for example gene expression profiling (Ji and Tan, 2004; Balasubramaniyan et al., 2005), gene regulatory network construction (Madeira et al. (2010)), symbiotic relationship pattern recognition (Beman et al., 2011; Steele et al.. 2011; Goncalves and Madeira, 2014; Cram et al., 2015) etc. Initially, the permutation test is commonly performed to evaluate the statistical significance of LSA, however, both the approximations of statistical significance and permutation test require the assumption that the time series are independent identically distributed (i.i.d.), which can be violated in most time series data. In order to analyze the statistical significance of LSA for stationary time series, an approach based on moving block bootstrap was proposed by Zhang et al. (2018), and it is referred to as Moving Block Bootstrap LSA (MBBLSA). To assess statistical significance of LSA for stationary time series data, Zhang et al. (2019) developed a theoretical method, which is known as Data Driven LSA (DDLSA). According to DDLSA, long run variance estimated by a nonparametric kernel method is applied to adjust the asymptotic theory of LSA, on the basis of which the limit distribution of LS score for stationary time series can be obtained.
As suggested by Ji and Tan (2004), the degree of similarity shown by rising, unchanged, or falling trends in time series data can be taken as another indicator of the correlation among various biological factors, which is known as local trend analysis (LTA). In LTA, local similarity analysis is performed on the transformed trend sequence, and the corresponding similarity measure is referred to as the local trend score. Local trend analysis is an extension of local similarity analysis, which can better preserve the changing trend of time series. In addition, the discretization of the original sequence can transform some non-stationary time series into stationary Markov series, which is a big advantage of local trend analysis. He and Zeng (2006) applied dynamic programming algorithm to calculate this value, and then conducted permutation test to evaluate statistical significance. Currently, LTA has been widely adopted in many biological fields, including gene association network (He et al.. 2012; Goncalves et al., 2012; Seno et al., 2006; Skreti et al.. 2014) and transcription factor network (Wu et al., 2010). Nevertheless, it takes long to evaluate the statistical significance of local trend analysis through permutation test. In this case, bioinformatics scientists have shifted attention to exploring how the statistical significance of local trend scores can be evaluated quickly and effectively. By extending the statistical significance evaluation method of local similarity analysis theory to local trend analysis, Xia et al. (2015) developed the statistical significance evaluation method of local trend analysis. However, this method is effective only when the original sequence is independent and identically distributed. On the basis of this and prior studies, this paper improves the approximation method proposed by Xia et al. to develop a general method of statistical significance evaluation for local trend analysis.
This paper is organized as follows. In Section 2, an introduction is made of the concept of local trend analysis, and a general method of theoretical evaluation regarding the statistical significance of local trend scores is proposed. In Section 3, the effectiveness of the new method is demonstrated by simulation and real data analysis. Finally, the conclusions and future work are indicated in Section 4.
2 Material and Methods
2.1 Introduction to Local Trend Analysis
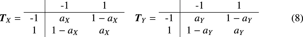
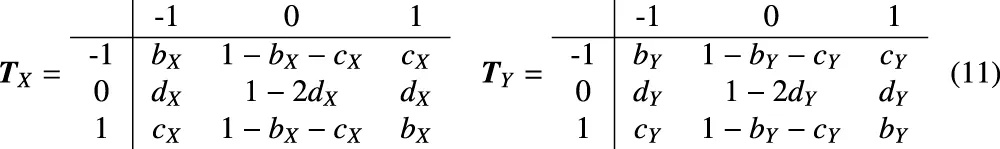
The first step in local trend analysis is to convert time series data into a change trend sequence. In general, if the change trend is indicated by two states, decline and rise, the change trend state set can be set as Σ = (D, U) or Σ = (−1, 1). If the change trend is indicated by three states decline, unchanged and rise, the change trend state set can be set as Σ = (D, N, U) or Σ = (−1, 0, 1). Undoubtedly, a collection with more changing trend states can be chosen, but it is rare in practice. For a given time series X1, X2, …, Xn, they can be converted into
when Xi ≠ 0,
where t ≥ 0 is a threshold to determine whether there is a trend of change; when Xi = 0,
When t = 0,
2.2 Statistical Significance Analysis of Local Trend Score
After the local trend score is obtained, it is necessary to evaluate its statistical significance which can be estimated by means of permutation test. In the permutation test, however, only the p value obtained by fully permutating the original data is regarded as an accurate estimate. Since the full permutation is a lengthy process, part permutation is usually selected on a random basis. The p value obtained at this time is limited to an approximate estimate. Besides, the p value obtained may deviate from the actual p value if the number of replacements is too small.
In case that the asymptotic distribution result of the local trend score is obtainable, then the p value of the local trend score can be obtained through the limit distribution. Probability statisticians have obtained the asymptotic distribution theory of the local similarity scores of Markov chains with a mean value of 0, finite second-order moment, and finite subset in
Theorem 1. Assume that Zi, i = 1, 2, …, n, Markov chains with a mean value of 0, finite second-order moment, and finite subset in
Let
Then
Assumption 1.
Under the Assumption 1,
where sD represents the local trend score of Xt and Yt, and the definition of the tail probability distribution function
It can be found out that σ2 plays a vital role in the p value approximation Eq. 5 of the local trend score, which is referred to as the variance of Markov chain. From the formula
where
2.2.1 Spectral Decomposition Theorem of Matrix
First, the definition and properties of simple matrix are given.
Definition 1. Let matrix A ∈ Cn×n, λi be the differential eigenvalues of A, i = 1, 2, …, s, and the characteristic polynomial of A is
where
Definition 2. The solution space
Definition 3. If the algebraic multiplicity of each eigenvalue of the matrix A is equal to its geometric multiplicity, then A is called a simple matrix.
Theorem 2. (Spectral decomposition theorem) Let matrix A ∈ Cn×n, λi be the differential eigenvalues of A, mi is the algebraic multiplicity of λi, i = 1, 2, …, s, then the sufficient and necessary condition of A being a simple matrix is that there is a unique Ei ∈ Cn×n, i = 1, 2, …, s, so
1)
2)
3)
2.2.2 Two-State Markov Chain Model
Firstly, the two-state Markov chain model is studied. When t = 0,
It can be obtained by calculation,
thus, when t = 0, the p value of the local trend score LT(D) is written as
where sD indicates the local trend score of Xi and Yi, σ is obtained using the Eq. 9, and
2.2.3 Three-State Markov Chain Model
Secondly, the three-state Markov chain model is studied. When t ≠ 0,
It can be obtained by calculation,
Thus, when t ≠ 0, the p value of the local trend score LT(D) is expressed as
where sD represents the local trend score of Xi and Yi, σ is obtained using the Eq. 12, and
2.2.4 Mixed-State Markov Chain Model
Thirdly, the mixed-state Markov chain model is studied. When t ≠ 0,
It can obtained by the previous derivation that
So,
Thus, when t ≠ 0 and the circumstance arises that
where sD represents the local trend score of Xi and Yi, σ is obtained using the Eq. 14, and
In summary, the p value approximation formula has been obtained for the local trend score of a two-state, three-state or mixed-state Markov chain. Despite a lack of rigorous mathematical proof for the aforementioned p value approximation method, it is still discovered that the p value obtained using this algorithm is approximately equal to the given significance level by simulation, especially when the sample size is large. Therefore, the results obtained using this method are deemed approximately valid.
2.2.5 Estimation of Markov Chain Transition Probability Matrix
In order to calculate the p value of the local trend score, it is essential to estimate the variance σ2, and the estimation of the variance depends only on the transition probability matrix of the Markov chain. With the original sequence considered as independent and identically distributed, Xia et al. (2015) deduced the value of parameter in transition probability matrix of the two-state (t = 0) and three-state (t = 0.5) Markov chain. When the original series are non-independent and identically distributed, however, the estimate is inaccurate. It is detailed below how to estimate the transition probability matrix of a two-state or three-state Markov chain under normal circumstances.
For a two-state Markov chain, since both T−1,−1 and T1,1 are equal to a, the mean of n−1,−1/n−1,⋅ and n1,1/n1,⋅ is taken as the final estimate of a, that is,
Likewise, for a three-state Markov chain, since both T−1,−1 and T1,1 are equal to b, the mean of n−1,−1/n−1,⋅ and n1,1/n1,⋅ is treated as the final estimate of b, that is,
In this article, the method put forward by Xia et al. is denoted as TLTA (Theoretical Local Trend Analysis), while the method proposed in this paper is referred to as STLTA (Stationary Theoretical Local Trend Analysis).
3 Results and Discussion
3.1 Simulation
The effects on the correlation test of time series data are explored by conducting Permutation test, TLTA and STLTA respectively. The following three models are commonly used and familiar to researchers, which can better reflect the correlation between two time series, especially the correlation of two time series can be adjusted by changing the coefficient values. In order to study the difference in type I error rate and significance level among different methods under the original hypothesis, simulation data is generated using the following three models: The effects on the correlation test of time series data are explored by conducting Permutation test, TLTA and STLTA respectively. In order to study the difference in type I error rate and significance level among different methods under the original hypothesis, simulation data is generated using the following three models:
1) AR(1) model:
2) ARMA(1,1) model:
3) ARMA(1,1)-TAR(1) model:
Where 0 < |ρ1|, |ρ2| < 1,
With consideration given to the impact of autoregressive coefficients ρ1, ρ2 and sample size n on the type I error rate for the different methods with the three models, we choose six different combinations of autoregressive coefficients ρ1, ρ2, and respectively take the values of −0.5, −0.5; 0, 0; 0.3, 0.3; 0.3, 0.5; 0.5, 0.5; 0.5, 0.8. For each combination of autoregressive coefficients, the sample size n is set to 20, 40, 60, 80, 100, 200. For simplicity, we select the time delay D = 0. In all simulations, the significance level is set to 0.05.
When t = 0, the original sequence is converted into a two-state Markov chain, and the type I error rates in the AR(1) model of different methods are presented in Table 1. The results show that when ρ1 = −0.5, ρ2 = −0.5, neither Permutation test nor TLTA can control the type I error rate even if the sample size n is small, and their type I error rates are getting bigger as the sample size increases. At this time, the type I error rate of STLTA gradually approaches the significance level 0.05 with the increase of sample size. When ρ1 = 0, ρ2 = 0, Xt and Yt are all independent and identically distributed sequences, the type I error rates of the three methods are very close to the given significance level, and are getting closer as the sample size increases. When ρ1 > 0, ρ2 > 0, the type I error rate of Permutation test decreases with the increase of sample size n, and gradually deviates from the significance level 0.05, while the type I error rate of STLTA is closer to the significance level than that of TLTA. For different autocorrelation coefficients, the type I error rates of Permutation test and TLTA show a declining trend with the increase of ρ, and they are increasingly deviant from the significance level. By contrast, STLTA shows an upward trend with the rise of ρ, and it gradually approaches the significance level, suggesting that STLTA is more suitable for stationary time series data. The performances of these three methods in ARMA(1,1) and ARMA(1,1)-TAR(1) models are shown in the Tables 2, 3 respectively, which are similar to that in the AR(1) model. Under these two models, when ρ1 = −0.5, ρ2 = −0.5, Xt is an independent and identically distributed sequence, so the type I error rates of Permutation test, TLTA and STLTA are close to the significance level. In other cases, the type I error rate of STLTA is closer to the significance level than that of TLTA, while the type I error rate of Permutation test gradually gets away from the significance level as the sample size increases.

TABLE 1. Type I error rate for different methods (the third to fifth columns) in the AR(1) model whent = 0. The first and second columns represent different combinations of autoregressive coefficients and sample sizes. The number of permutation tests is 1,000, the number of repeated simulations is 10,000, and the significance level is α = 0.05.

TABLE 2. Type I error rate for different methods (the third to fifth columns) in the ARMA(1,1) model whent = 0. The first and second columns represent different combinations of autoregressive coefficients and sample sizes. The number of permutation tests is 1,000, the number of repeated simulations is 10,000, and the significance level is α = 0.05.

TABLE 3. Type I error rate for different methods (the third to fifth columns) in the ARMA(1,1)-TAR(1) model whent = 0. The first and second columns represent different combinations of autoregressive coefficients and sample sizes. The number of permutation tests is 1,000, the number of repeated simulations is 10,000, and the significance level is α = 0.05.
When t = 0.5, the original sequence is converted into a three-state Markov chain, and the type I error rates in the AR(1) model of different methods are presented in Table 4. In the AR(1) model, when ρ1 = −0.5, ρ2 = −0.5, the type I error rate of Permutation test still far exceeds the given significance level 0.05 even if the sample size is very small (n = 20), and TLTA cannot control the type I error rate even when the sample size is large. When ρ1 = 0, ρ2 = 0, the type I error rate of Permutation test is closer to the significance level than that of TLTA and STLTA, and the type I error rate of TLTA is far less than the significance level. When ρ1 > 0, ρ2 > 0, similar to the case of t = 0, the type I error rate of Permutation test also decreases with the increase of sample size n, and gradually deviates from the significance level. The type I error rate of TLTA is much smaller than the significance level, while that of STLTA shows an upward trend with the rise of the sample size n and gradually approaches the significance level. For different combinations of autocorrelation coefficients, the type I error rates of permutation test and TLTA decline with the increase of ρ, with a gradual deviation from the significance level, with TLTA in particular. Even though the autocorrelation is extremely weak, the type I error rate is far less than 0.05, even below 0.01. While STLTA performs well in controlling the type I error rate across all autocorrelation coefficient combinations. The performances of these three methods in ARMA(1,1) and ARMA(1,1)-TAR(1) models are shown in the Tables 5, 6. In these two models, the type I error rate of TLTA is always far less than the significance level. When ρ1 = −0.5, ρ2 = −0.5, the type I error rate of Permutation test is closer to the significance level than that of STLTA. But in other cases, the type I error rate of Permutation test is much smaller than the significance level, and it increasingly deviants from the significance level with the increase of sample size and autocorrelation, while the type I error rate of STLTA gradually approaches the significance level as the sample size increases.

TABLE 4. Type I error rate for different methods (the third to fifth columns) in the AR(1) model whent = 0.5. The first and second columns represent different combinations of autoregressive coefficients and sample sizes. The number of permutation tests is 1,000, the number of repeated simulations is 10,000, and the significance level is α = 0.05.

TABLE 5. Type I error rate for different methods (the third to fifth columns) in the ARMA(1,1) model whent = 0.5. The first and second columns represent different combinations of autoregressive coefficients and sample sizes. The number of permutation tests is 1,000, the number of repeated simulations is 10,000, and the significance level is α = 0.05.

TABLE 6. Type I error rate for different methods (the third to fifth columns) in the ARMA(1,1)-TAR(1) model whent = 0.5. The first and second columns represent different combinations of autoregressive coefficients and sample sizes. The number of permutation tests is 1,000, the number of repeated simulations is 10,000, and the significance level is α = 0.05.
According to the analysis of the results, it can be figured out that STLTA is capable to control the type I error rate under different models, while the permutation test and TLTA are ineffective in this respect, which evidences that STLTA is more effective in utilizing the internal properties of time series than the other two methods, and that it can achieve a more accurate approximation of the local trend score p value.
3.2 Empirical Analysis
3.2.1 Data set of Moving Pictures of Human Microbiome
The STLTA method is applied to the Moving Pictures of Human Microbiome (MPHM) data set, for comparison with the results as obtained from DDLSA, TLTA and Permutation test. The data set of MPHM was collected from two healthy subjects, one male (“M3”) and one female (“F4”). Both individuals were sampled daily at three body sites: gut (feces), mouth(tongue), and skin (left and right palms) (Caporaso et al. (2011)). The data set consists of 130, 135 and 133 daily samples from “F4”, and 332, 372 and 357 samples from “M3”. There are 335, 373 and 1,295 operational taxonomic units (OTUs) from feces, tongue and palm (both left and right) sites of “F4” and “M3”, where the taxonomic level is Genus. We selected 59 “core” OTUs that were observed in at least 60% samples from the feces of “M3” and analyzed their relationships. Then, metagenomic analysis is conducted to obtain a time series of OTU abundance. As shown in Figure 1, there are two OTUs chosen to display their time series graphs and autocorrelation graphs. It can be found that the abundance sequence of Parabacteroides shows more significant autocorrelation compared to Bifidobacterium, and that their Box-Ljung test p values are all very close to 0, indicating that their autocorrelation relationship is of much significance.

FIGURE 1. Standardized abundance map of Parabacteroides (A) and Bifidobacterium (B) in MPHM “M3” sample fecal data set. The autocorrelation graph (C,D) shows the autocorrelation coefficient of the time series at different delays.
The significance level is set to 0.05 and 0.01, based on which a comparison is drawn in the significant relationship between the OTUs found by permutation test, TLTA, STLTA and DDLSA with the time delay of D = 3. The results are presented in Table 7. When t = 0.5 and the significance level p = 0.05, Q = 0.05, in all 1711 pairs of OTU relationships in the “M3” feces sample, it was found that 589, 165, 739 and 685 pairs of significant relationships by Permutation test, TLTA, STLTA and DDLSA respectively, which were 34.4, 9.6, 43.2 and 40% of the total. STLTA found the most significant relationship, followed by DDLSA, and TLTA the least. This is very similar to the simulation results obtained earlier: when t = 0.5 and the sample time point is 300, if the samples have autocorrelation relationship, the simulation results show that the type I error rates of Permutation test and TLTA are far less than the given significance level, while the type I error rate of STLTA is close to the given significance level. Therefore when there is correlation between autocorrelation samples, it is possible that permutation test and TLTA fail to identify many significant relationships that actually exist, but STLTA can do this. Although the permutation test can also find many significant relationships, most of them are between samples without autocorrelation. In addition, the numbers of significant correlations between OTUs found by STLTA and DDLSA are approximate, shown that STLSA can discover most significant relationships found by DDLSA.

TABLE 7. The numbers of significant correlations between OTUs found by permutation tests, TLTA, STLTA and DDLSA for different data sets and significance levels.
Venn diagram (Figure 2) shows the relationship among the results obtained using different methods in the “M3” stool sample. All of the significant relationships identified by TLTA are discovered by permutation test, and all of the significant relationships identified by permutation test are discovered by STLTA. For more stringent standards p = 0.01 and Q = 0.01 as well as different thresholds, the results are listed in Table 7. By comparing the results of t = 0 and t = 0.5, it can be found out that the permutation test and TLTA can identify more significant relationships at t = 0 then at t = 0.5, especially for TLTA. However, STLTA is just the opposite, with the significant relationship found at t = 0 less then at t = 0.5.

FIGURE 2. The Venn diagram of the significant relationships found in permutation test, TLTA and STLTA for the MPHM “M3” fecal data set. Green, blue, and red indicate the number of significant relationships found by permutation test, TLTA, and STLTA, respectively.
3.2.2 Data set of Plymouth Marine Laboratory
The STLTA method is applied to the Plymouth Marine Laboratory (PML) data set, for comparison with the results as obtained from DDLSA, TLTA and Permutation test. The PML data set is one of the longest microbial time series consisting of monthly samples taken over 6 years at a temperate marine coastal site off Plymouth, United Kingdom (Gilbert et al. (2012)). These samples were sequenced using high-resolution 16S rRNA tag NGS sequencing. A total of 155 bacterial OTUs were identified with the taxonomic level of Order. Among them, we chose 62 abundant OTUs that were present in at least 50% of the time points, and 13 environment factors to analyze their association network. We filled the missing values in the environment data using linear interpolation.
Given time delay D = 3 and significance level p = 0.05, Q = 0.05, when t = 0.5 among all the relationships between OTUs and between OTU and environmental factors, permutation test, TLTA, STLTA and DDLSA identified 87, 75, 50 and 371 pairs of significant relationships, as shown in Table 7. Venn diagram (Figure 3) reveals the relationships among the results as obtained using different methods in the PML samples. All of the significant relationships identified by TLTA are discovered by permutation tests. Among all these significant relationships, however, only 11 pairs of relationships are found out by both permutation test and STLTA. This is because there are only 33 (∼44%) factors showing autocorrelation, with more than half of the factors bearing no autocorrelation. Therefore, permutation test can be conducted to find out about the significant relationships between many time series without autocorrelation. However, there are as few as 72 sample time points, since STLTA is conservative to some extent when there are a small number of time points. Among the significant relationships discovered by the permutation test, there are 76 pairs not identified by STLTA. In addition, it is suspected that 39 pairs of significant relationships which are found out by STLTA but fail to be detected by permutation test are between autocorrelation sequences, and these relationships can be discovered by neither permutation test nor TLTA. For more stringent standards p = 0.01 and Q = 0.01 as well as different thresholds, the results are shown in Table 7. It can be found out from the table that when t = 0, the number of significant relationships identified by all methods is smaller than that of relationships discovered when t = 0.5. As the PML data set has only 72 time points, there is a massive information loss in STLTA. Thus, the number of significant correlations between OTUs found by STLTA is far from that by DDLSA.

FIGURE 3. The Venn diagram of the significant relationships found in permutation test, TLTA and STLTA for the PML data set. Green, blue, and red indicate the number of significant relationships found by permutation test, TLTA, and STLTA, respectively.
4 Conclusion
In this paper, a theoretical evaluation method was proposed for the statistical significance of local trend scores, STLTA. First of all, the original sequence was discretized into a changing trend sequence and the local trend score was calculated. Then, according to the spectral decomposition theory of the matrix, the variance of the trend sequence was estimated for different state spaces. Finally, in combination with the limit theory of Markov chain local similarity analysis, the limit distribution of the local trend score was obtained, and the approximate p value of the local trend score was calculated. By means of simulation, it was discovered in a given stationary time series model that the type I error rate of STLTA can be made significantly closer to the given significance level, with the type I error rates of permutation test and TLTA increasingly deviant from the given significance level over time, especially when t = 0.5. It is suggested that STLTA method is more effective than permutation test and TLTA method. Then, these three methods were applied to the MPHM and PML data sets. In the relatively long data set MPHM “M3” fecal data set, STLTA detected the most significant relationships, and all of the significant relationships discovered by permutation tests and TLTA were identified by STLTA. In the PML data set with relatively short time points, STLTA discovered some relationships that cannot be found out by permutation tests and TLTA, with these relationships resulting from the autocorrelation of the sequence.
Compared with local similarity analysis, however, local trend analysis converts a continuous original time series into a discrete trend series, which may cause the loss of some information from the original series, thus limiting the practical application of local trend analysis. Nonetheless, the discretization of the original sequence may lead to the transformation of some non-stationary time series into a stationary Markov sequence, which is a major advantage of local trend analysis. In addition, the DDLSA based on non-parametric kernel estimation and the MBBLSA based on moving block bootstrap can be applied to the statistical significance analysis as part of local trend analysis, which provides another direction of further research.
Data Availability Statement
Publicly available datasets were analyzed in this study. The "MPHM" datasets used during the current study are publicly available in the supplementary of Gilbert et al. (2012), whose link is https://genomebiology.biomedcentral.com/articles/10.1186/gb-2011-12-5-r50#additional-information. The "PML" data can be found here: https://vamps2.mbl.edu/.
Author Contributions
AS gave the main writing of the manuscript. FZ gave the main data analysis program of the manuscript. YL gave some idea and proofreading of the manuscript.
Funding
This work was supported by the National Science Foundation of China (Grant Number: 11971264) and the National Key R&D program of China (Grant Number: 2018YFA0703900).
Conflict of Interest
Author AG is employed by Postdoctoral Programme of Zhongtai Securities Co. Ltd, Jinan, China
The remaining authors declare that the research was conducted in the absence of any commercial or financial relationships that could be construed as a potential conflict of interest.
Publisher’s Note
All claims expressed in this article are solely those of the authors and do not necessarily represent those of their affiliated organizations, or those of the publisher, the editors and the reviewers. Any product that may be evaluated in this article, or claim that may be made by its manufacturer, is not guaranteed or endorsed by the publisher.
Supplementary Material
The Supplementary Material for this article can be found online at: https://www.frontiersin.org/articles/10.3389/fgene.2022.729011/full#supplementary-material
References
Balasubramaniyan, R., Hüllermeier, E., Weskamp, N., and Kämper, J. (2005). Clustering of Gene Expression Data Using a Local Shape-Based Similarity Measure. Bioinformatics 21 (7), 1069–1077. doi:10.1093/bioinformatics/bti095
Beman, J. M., Steele, J. A., and Fuhrman, J. A. (2011). Co-occurrence Patterns for Abundant marine Archaeal and Bacterial Lineages in the Deep Chlorophyll Maximum of Coastal California. ISME J. 5 (7), 1077–1085. doi:10.1038/ismej.2010.204
Caporaso, J. G., Lauber, C. L., Costello, E. K., Berg-Lyons, D., Gonzalez, A., Stombaugh, J., et al. (2011). Moving Pictures of the Human Microbiome. Genome Biol. 12 (5), R50. doi:10.1186/gb-2011-12-5-r50
Cram, J. A., Xia, L. C., Needham, D. M., Sachdeva, R., Sun, F., and Fuhrman, J. A. (2015). Cross-depth Analysis of marine Bacterial Networks Suggests Downward Propagation of Temporal Changes. ISME J. 9 (12), 2573–2586. doi:10.1038/ismej.2015.76
Daudin, J.-J., Etienne, M. P., and Vallois, P. (2003). Asymptotic Behavior of the Local Score of Independent and Identically Distributed Random Sequences. Stochastic Process. their Appl. 107 (1), 1–28. doi:10.1016/s0304-4149(03)00061-9
Etienne, M. P., and Vallois, P. (2004). Approximation of the Distribution of the Supremum of a Centered Random Walk. Application to the Local Score. Methodol. Comput. Appl. Probab. 6 (3), 255–275. doi:10.1023/b:mcap.0000026559.87023.ec
Feller, W. (1951). The Asymptotic Distribution of the Range of Sums of Independent Random Variables. Ann. Math. Statist. 22 (3), 427–432. doi:10.1214/aoms/1177729589
Gilbert, J. A., Steele, J. A., Caporaso, J. G., Steinbrück, L., Reeder, J., Temperton, B., et al. (2012). Defining Seasonal marine Microbial Community Dynamics. Isme J. 6 (2), 298–308. doi:10.1038/ismej.2011.107
Goncalves, J. P., and Madeira, S. C. (2014). LateBiclustering: Efficient Heuristic Algorithm for Time-Lagged Bicluster Identification. Ieee/acm Trans. Comput. Biol. Bioinf. 11 (5), 801–813. doi:10.1109/tcbb.2014.2312007
Gonçalves, J. P., Aires, R. S., Francisco, A. P., and Madeira, S. C. (2012). Regulatory Snapshots: Integrative Mining of Regulatory Modules from Expression Time Series and Regulatory Networks. Plos One 7 (5), e35977. doi:10.1371/journal.pone.0035977
He, F., Chen, H., Probst‐Kepper, M., Geffers, R., Eifes, S., del Sol, A., et al. (2012). PLAU Inferred from a Correlation Network Is Critical for Suppressor Function of Regulatory T Cells. Mol. Syst. Biol. 8 (1), 624. doi:10.1038/msb.2012.56
He, F., and Zeng, A.-P. (2006). In Search of Functional Association from Time-Series Microarray Data Based on the Change Trend and Level of Gene Expression. BMC Bioinformatics 7, 69. doi:10.1186/1471-2105-7-69
Ji, L., and Tan, K.-L. (2004). Mining Gene Expression Data for Positive and Negative Co-regulated Gene Clusters. Bioinformatics 20 (16), 2711–2718. doi:10.1093/bioinformatics/bth312
Madeira, S. C., Teixeira, M. C., Sá-Correia, I., and Oliveira, A. L. (2010). Identification of Regulatory Modules in Time Series Gene Expression Data Using a Linear Time Biclustering Algorithm. Ieee/acm Trans. Comput. Biol. Bioinform 7 (1), 153–165. doi:10.1109/TCBB.2008.34
Qian, J., Dolled-Filhart, M., Lin, J., Yu, H., and Gerstein, M. (2001). Beyond Synexpression Relationships: Local Clustering of Time-Shifted and Inverted Gene Expression Profiles Identifies New, Biologically Relevant Interactions. J. Mol. Biol. 314 (5), 1053–1066. doi:10.1006/jmbi.2000.5219
Ruan, Q., Dutta, D., Schwalbach, M. S., Steele, J. A., Fuhrman, J. A., and Sun, F. (2006). Local Similarity Analysis Reveals Unique Associations Among marine Bacterioplankton Species and Environmental Factors. Bioinformatics 22 (20), 2532–2538. doi:10.1093/bioinformatics/btl417
Seno, S., Takenaka, Y., Kai, C., Kawai, J., Carninci, P., Hayashizaki, Y., et al. (2006). A Method for Similarity Search of Genomic Positional Expression Using CAGE. Plos Genet. 2 (4), e44. doi:10.1371/journal.pgen.0020044
Skreti, G., Bei, E. S., Kalantzaki, K., and Zervakis, M. (2014). Temporal and Spatial Patterns of Gene Profiles during Chondrogenic Differentiation. IEEE J. Biomed. Health Inform. 18 (3), 799–809. doi:10.1109/jbhi.2014.2305770
Steele, J. A., Countway, P. D., Xia, L., Vigil, P. D., Beman, J. M., Kim, D. Y., et al. (2011). Marine Bacterial, Archaeal and Protistan Association Networks Reveal Ecological Linkages. ISME J. 5 (9), 1414–1425. doi:10.1038/ismej.2011.24
Wu, L.-C., Huang, J.-L., Horng, J.-T., and Huang, H.-D. (2010). An Expert System to Identify Co-regulated Gene Groups from Time-Lagged Gene Clusters Using Cell Cycle Expression Data. Expert Syst. Appl. 37 (3), 2202–2213. doi:10.1016/j.eswa.2009.07.053
Xia, L. C., Steele, J. A., Cram, J. A., Cardon, Z. G., Simmons, S. L., Vallino, J. J., et al. (2011). Extended Local Similarity Analysis (eLSA) of Microbial Community and Other Time Series Data with Replicates. BMC Syst. Biol. 5 Suppl 2, S15. doi:10.1186/1752-0509-5-S2-S15
Xia, L. C., Ai, D., Cram, J. A., Liang, X., Fuhrman, J. A., and Sun, F. (2015). Statistical Significance Approximation in Local Trend Analysis of High-Throughput Time-Series Data Using the Theory of Markov Chains. BMC Bioinformatics 16, 301. doi:10.1186/s12859-015-0732-8
Zhang, F., Shan, A., and Luan, Y. (2018). A Novel Method to Accurately Calculate Statistical Significance of Local Similarity Analysis for High-Throughput Time Series. Stat. Appl. Genet. Mol. Biol. 17 (6), 20180019. doi:10.1515/sagmb-2018-0019
Keywords: local trend analysis, dependent time series, statistical significance, Markov chain model, spectral decomposition theory
Citation: Shan A, Zhang F and Luan Y (2022) Efficient Approximation of Statistical Significance in Local Trend Analysis of Dependent Time Series. Front. Genet. 13:729011. doi: 10.3389/fgene.2022.729011
Received: 22 June 2021; Accepted: 01 March 2022;
Published: 26 April 2022.
Edited by:
Jun Chen, Mayo Clinic, United StatesReviewed by:
Yinglei Lai, George Washington University, United StatesGuosheng Han, Xiangtan University, China
Copyright © 2022 Shan, Zhang and Luan. This is an open-access article distributed under the terms of the Creative Commons Attribution License (CC BY). The use, distribution or reproduction in other forums is permitted, provided the original author(s) and the copyright owner(s) are credited and that the original publication in this journal is cited, in accordance with accepted academic practice. No use, distribution or reproduction is permitted which does not comply with these terms.
*Correspondence: Yihui Luan, eWhsdWFuQHNkdS5lZHUuY24=