Your new experience awaits. Try the new design now and help us make it even better

ORIGINAL RESEARCH article

Front. Hortic., 10 October 2025

Sec. Controlled Environment Horticulture

Volume 4 - 2025 | https://doi.org/10.3389/fhort.2025.1620375

This article is part of the Research TopicGrowing Media and SustainabilityView all 12 articles

Efficiently evaluating peat-free growing media for press pots: effects of mixture combinations

  • Leibniz Institute of Vegetable and Ornamental Crops (IGZ) e.V., Großbeeren, Germany

In the last decade, many European countries set goals for peat-free horticulture, targeting both commercial growers and home gardeners. Peat substitutes are typically mixtures of several components designed to mimic peat’s properties, such as maximum water holding capacity, bulk density, and nitrogen dynamics. This study aimed to develop a peat-free mixture for seedling production in press-pots and evaluate a new statistical method for optimizing mixing strategies. The multivariate design method links component properties to mixture performance, enabling the development of targeted zero-peat mixtures. Using the XVERT system, we combined compost, wood fiber, fermented compost fiber, and clay within specific limits, applying response surface methodology and a desirability approach to predict mix effects on seedling growth. To test the substrate mixtures, Chinese cabbage seedlings (Brassica rapa subsp. pekinensis) were grown in eleven combinations of the four components. Although none of the tested mixtures fully met all predefined target properties, the response surface methodology in combination with the desirability function allowed for the identification of mixtures that closely approached these targets under the given experimental conditions. Compost and wood fiber negatively impacted mixture quality, highlighting the limitations of these common substitutes. However, the XVERT method effectively identified these issues, demonstrating its utility for designing peat-free substrates. Restricting mixtures to the tested components failed to meet horticultural quality standards. Future efforts should explore alternative components with better physical properties while leveraging the proposed experimental design method to optimize formulations. This approach offers a promising path for developing effective peat-free substrates for professional and home gardening applications.

Introduction

Europe has outlined clear objectives aimed at reducing fossil carbon use and decreasing atmospheric carbon (Fetting, 2020). These objectives primarily emphasize the reduction of carbon emissions from sources either capable of long-term CO2-C sequestration or having already achieved it. Besides fossil carbon reservoirs such as natural gas or oil, peat is a central resource in that regard. The carbon storage potential of peatlands has been extensively documented and is acknowledged as one of the most significant global carbon reservoirs (Leifeld and Menichetti, 2018; Strack et al., 2022).

After the use of peat as an energy source, European horticultural production is the major market for peat. Peat is commonly used as a component in soilless growing systems (Hirschler and Osterburg, 2022). Due to the high global warming potential of peat, the European Commission and numerous European nations have established ambitious targets to decrease peat utilization in horticulture within the current decade (Gruda et al., 2024). Germany, for instance, as the country with the highest population in the EU, has committed to reduce peat usage “as much as possible” in the professional horticultural sector by 2030 (BMLEH, 2022; Hirschler and Thrän, 2023). Similarly, other European countries such as Switzerland or Austria are adopting comparable strategies. While Norway, the United Kingdom, and Ireland are going a step further and aim for a complete phase-out of peat in the professional horticultural sector by 2030 (Gruda et al., 2024). These targets are notably ambitious, especially given the current situation in Germany, where approximately 77% of peat is used in growing media within the professional sector (Hirschler and Thrän, 2023).

In addition to the availability of peat substitutes, maintaining substrate quality plays a crucial role in horticulture (Pascual et al., 2018). Peat usage has contributed significantly to the ability of professional horticulture to specialize and consistently deliver high-quality products to the market (Joosten and Clarke, 2002). These standards should also be met with peat-reduced and eventually peat-free substrates.

The specific properties of peat allow modifications in order to meet practical requirements (Raviv et al., 2019). Furthermore, different peat qualities (or types) such as black-peat (strongly humified sphagnum peat) or white-peat (slightly humified sphagnum peat) generally exhibit uniform quality, facilitating conclusions about their properties in cultivation systems. Typically, in professional sectors, various requirements are met by utilizing black peat, white peat, or their combinations to enhance substrate properties. Additionally, peat additives like clay, perlite, lime, or specific fertilizers also play crucial roles (Raviv et al., 2019). Achieving particular growing medium requirements for different crops across various professional sectors appears achievable primarily through mixtures of the various peats and with a certain share of additives.

In recent years, several publications have investigated peat-free mixtures across various sectors (De Lucia et al., 2013b; Di Lonardo et al., 2021a; Gong et al., 2018; Paradelo et al., 2019). These studies analyzed the impact of different peat substitutes either as individual components (De Lucia et al., 2013b) or in mixtures (Di Lonardo et al., 2021a), comparing the results with mixtures containing higher peat contents. Disadvantageous conditions on plant growth were identified along various aspects, including chemical properties such as pH or salinity/EC (Giménez et al., 2020), hydrological properties like water holding capacity (Paradelo et al., 2019) and biological aspects such as N immobilization (Boyer et al., 2012). It has often been noted that substrate containing mixtures of green waste compost can have an increased pH (Cacini et al., 2021; Gong et al., 2018; Massa et al., 2018). The properties of green waste compost can vary depending on feedstock and composting technique (Di Lonardo et al., 2021a, 2021). During composting, the pH of green waste typically ranges between 6.5 and 7.5 (Reyes-Torres et al., 2018). Furthermore, a decrease in water-holding capacity is observed using green waste compost as part of a peat-mix substrate (Zhang et al., 2013). While particle size distribution affects physical properties, other factors, such as mixing processes, irrigation practices, container geometry, and biodegradation, can also significantly influence air and water retention, especially in compost-based substrates (Durand et al., 2024). According to Reyes-Torres et al. (2018), the maximum water holding capacity in green waste compost is approximately 50% with a low coefficient of variation. The relevance of nitrogen immobilization in green waste compost is largely determined by turnover stability (Pascual et al., 2018), the carbon-to-nitrogen (C/N) ratio, and the availability of plant-accessible nitrogen (Vandecasteele, 2023). A key factor in this context is the proportion of fibrous material, which, due to its high C/N ratio and substantial amounts of microbially available carbon, significantly increases the risk of nitrogen immobilization.

Composts and wood fibers have been extensively studied as primary components in peat-reduced- or peat-free mixtures (Atzori et al., 2021; Gruda et al., 2024; Pascual et al., 2018). These materials serving as peat substitutes are typically available regionally in sufficient quantities, although increasing demand may lead to temporary limitations in availability. They nevertheless offer significant potential for substituting peat within regional material cycles.

However, the suitability of compost as a peat substitute is subject to significant limitations, like poor physical properties and phytotoxic effects, such as high salinity, excessive NH4+, or the presence of heavy metals have frequently been reported in the literature (Adamczewska-Sowinska et al., 2022; Carmona et al., 2012; Herrera et al., 2008).

The transition to peat-reduced or peat-free mixtures can be achieved through the strategic combination of peat substitutes (Ceglie et al., 2015; Tietjen et al., 2022; Yang et al., 2018). The XVERT algorithm has already been successfully integrated with a decision-making algorithm for press pots used in young plant cultivation to formulate mixtures for the professional sector containing only 25% peat (Sradnick et al., 2023). Developed by Snee and Marquardt (1974), this algorithm was specifically designed for mixture experiments to efficiently explore the relevant range of possible component combinations. Only a few points are selected, and the mixture region is restricted on the basis of assumptions (constraint regions). This results not only in a small number of test mixtures but also in improved experimental designs that better represent the relevant mixture area (Snee and Marquardt, 1974). The algorithm works by systematically generating extreme vertices of the constrained mixture space, using a stepwise approach that adjusts component proportions to ensure all constraints are met while efficiently covering the defined design space (Smith, 2005). By employing a mixture design and evaluation-based approach, the effects of individual peat substitutes within the mixture can be quantified, allowing the prediction of substrate safety risks and overall mixture effects. This approach enhances understanding of the limitations in the proportions of commonly used peat substitute compounds in relation to the requirements of the professional sector. The multidimensional approach allows the prediction of a wide range of mixture combinations, thereby accelerating the development of peat-free growing media tailored to the next-generation horticultural industry.

We conducted experiments testing the XVERT algorithm on full peat substitute mixes. Three research questions were tested, i.e. (1) whether the specific properties of peat substitutes become more relevant, thereby reducing the potentially applicable utilization; (2) whether the potential applications in terms of water holding capacity and N-immobilization are constrained by the high proportions of compost and wood fiber; and (3) whether the selected experimental design and evaluation using the surface response method can also produce recommendations for “safe” professional substrates on peat-free mixtures.

Materials and methods

Growing media components

Four compounds were employed to create mixtures for peat substitute products, i.e. (1) green compost (GC; TerrAktiv®), (2) fermented compost and fiber (FC; TerrAktiv FT®), (3) fine wood fiber soft (SF; GreenFibre®, Klasmann-Deilmann GmbH, Germany), and (4) fine powder clay (CL; Florisol® P-A 30, Stephan Schmidt KG, Germany). A commercial mix of black and white peat (9:1) served as the control variant (C; Podgrond H, Klasmann-Deilmann GmbH, Germany). The selection of materials was based on their relevance in practice and prior findings: compost and fermented fibers had already been tested successfully in earlier studies (Sradnick et al., 2023), wood fiber represents a standard component in commercial horticulture, and clay was included specifically to enhance the structural stability of pressed pot systems.

All peat substitutes were procured immediately before the commencement of the trial and subjected to analysis for their properties (Table 1). The salt content was determined according to EN 13038:2011 in order to evaluate potential salt stress of the tested plants. This method involves preparing a water extract of the sample, measuring its electrical conductivity with a conductivity meter, and expressing the result as potassium chloride (KCl) equivalent. The soluble contents of inorganic N (NH4-N and NO3-N), phosphate (P), potassium (K), magnesium (Mg), and sodium (Na) were determined according to EN 13651:2002–1 using the CAT method, which involves extraction with a 0.01 M CaCl2/0.002 M DTPA solution followed by analysis of the nutrient ions in the extract, in order to assess plant nutrition. The pH value was determined using the EN 13037:2011 method with calcium chloride (CaCl2) by a ratio of 1:5 to interpret the nutrient availability. Density determination, referred to as potting density, was conducted in accordance with Raviv et al. (2019) and VDLUFA (1997). The content of total carbon and total nitrogen was measured using gas chromatography according to the European standard (EN ISO 16948:2015). This method is based on complete combustion of the sample in an oxygen atmosphere and subsequent quantification of the resulting gases.

Table 1
www.frontiersin.org

Table 1. Properties of the constituents (Co) for growing media used in the experiments based on fresh matter (FM) and dry matter (DM).

Plant experiment

Between April and May 2023, an experiment was conducted in a standard glass-covered Venlo-type greenhouse compartment (10 m x 6.40 m) at the Leibniz Institute of Vegetable and Ornamental Crops (Grossbeeren, Germany; LAT 52°), equipped with automated climate control of temperature and humidity (RAM, Herrsching, Germany) using passive heating with pipes and passive ventilation with roof vents.

Chinese cabbage seeds (Brassica rapa subsp. pekinensis, cultivar: ‘Granaat’) were sown into press-pots of 4.0 cm x 4.0 cm (length x width) consisting of the respective 12 substrate compositions (11 mixes plus control, Tables 24). The height of the pots varied between the mixtures ranging from 4.1 cm to 5.0 cm. This was calculated from the pot volume (Table 3) divided by the 16 cm² base area. This refers to the partial re-expansion of compressed substrate material after pressing, which can affect physical properties such as pot volume and bulk density. Seeds were placed in the pressed pots four days after pressing the substrates (Press-Pot machine; Unger, Perfekt, Dossenheim, Germany). The press-pots with seedlings were placed in standard plant raising trays (62.4 cm length, 42.5 cm width, 11.0 cm height) in the greenhouse. The temperature during the experimental period is illustrated in the Appendix Figure A1 in Supplementary Material. The initial sampling occurred three days after sowing, followed by a fertilization with 20 mg N (as ammonium nitrate) per press pot on day 11 after sowing (DaS), to prevent nitrogen deficiency, excluding the control (C). Each press pot was fertilized separately using a pipette (2 ml volume). This treatment was not applied to the control group, as it already exhibited sufficient nitrogen levels. The second sampling was conducted on DaS 18, and the final sampling was carried out on DaS 23 at the end of the trial. The destructive sampling involved removing several press pots from the center of the plant trays, which were replaced by backup pots of the same mixture. The trays were stored outdoors between DaS 18 and 23, following commercial practice.

Table 2
www.frontiersin.org

Table 2. Mean value and standard deviation in parentheses for fresh plant biomass, WHCmax and pot density in the substrate mixtures (M) and the peat control treatment (C) after different time steps: days after sowing (DaS) of.

Table 3
www.frontiersin.org

Table 3. Mean value and standard deviation in parentheses for stability, pot volume, pH, salt content and Nmin-N reduction in the substrate mixtures and the peat control treatment (C) after different time steps: days after sowing (DaS) of.

Table 4
www.frontiersin.org

Table 4. Mean value and standard deviation in parentheses for Nmin-N, and NH4-N the substrate mixtures (M) and the peat control treatment (C) after different time steps: days after sowing (DaS).

Inorganic N content (NH4-N plus NO3-N) was assessed on all 4 sampling dates from intact press pots post-extraction with 0.0125 M CaCl2 (EN 13651:2002-01). The change in inorganic N (Δ Nmin-N) was calculated as the N content at the end of the experiment minus the initial content and added N via fertilization. The pH-values were determined in 0.01 M CaCl2 (EN 13037:2012-01), and maximum water holding capacity (WHCmax), total salt content on basis of KCl, and density were assessed following the protocols of the Association of German Agricultural Inspection and Research Institutes (VDLUFA, 2018). Pot density was determined as the ratio of dry mass to press pot volume, in accordance with the definition of bulk density after compression. The WHCmax was expressed in g water [press pot]-1 in order to better reflect the actual available water per unit, as volume percentages do not account for differences in pot sizes caused by spring-back effects during pressing. This format provides a more relevant indicator of water availability for seedlings in press pots. Bulk density is relevant in the production of vegetable transplants, as these are typically transported from specialized nurseries to vegetable farms. A high substrate weight increases overall load, thereby raising transport costs. The dry matter was determined after 24 hours at a temperature of 105°C.

Above-ground plant biomass was measured to evaluate plant growth as fresh matter (FW). Pot-pressing stability was gauged using a penetrometer (Sauter FA 200 Force gauge 200 N) after drying samples at 30°C to a range between 50% and 60% of their WHCmax.

Experimental design and sampling

The experimental setup followed a randomized complete block design with 5 replicates of each test mixture composition. The composition allocation of the 11 test mixtures was determined using the XVERT algorithm for a constrained mixture design (Smith, 2005; Snee and Marquardt, 1974). The maximum admixture limits were derived from the range yielding the highest desirability for the 25% v/v peat variant as per Sradnick et al. (2023, the preliminary study providing the baseline for the mixture development in this study) where the desirability function was developed using the response surface methodology. The desirability function is widely used for multi-objective optimization, where individual responses are scaled between zero and one and combined to form an overall desirability score (Kuhn, 2016). The boundaries of the constraint region were chosen to reflect a desirability between 0.1 to 0.39, based on preliminary work by Sradnick et al. (2023). Various substrate properties and cultivation-relevant parameters were evaluated collectively.

Mixing limits for the four substrate components were chosen as follows: GC 15% v/v - 65% v/v, SF 30% v/v - 65% v/v, FC 0% v/v - 25% v/v, and CL 1% v/v - 5% v/v. Additionally, the maximum combination constraints were set to 15% v/v to 65% v/v for the sum of GC and FC. This limited the combinations to composts with suitable quality characteristics. An overview of the tested mixtures can be found in Tables 2 to 4, where the volumetric proportions were mixed according to the potting density shown in Table 1.

Statistics

All statistical analysis were conducted using R GNU (R Core Team, 2021). Variance homogeneity was assessed using Levene’s test from the ‘car’ package. Data analysis was conducted using linear models and regression analysis with the ‘mixexp’ package. The linear model for predicting the effects of mixture components was based on Scheffé (1958). The quadratic model by Scheffé was also tested to represent the mixture effects. However, it exhibited high variance inflation factors (VIF) in all scenarios, indicating multicollinearity issues, and was therefore not considered further. Furthermore, we employed the “Shapiro-Wilk test” from the “stats” package to evaluate the normal distribution of the linear model and the “Durbin-Watson test” was utilized to investigate autocorrelation (“car” package; Fox et al., 2012). The pH and inorganic N measurements were log-transformed due to heterogeneous variance and non-uniformity of model residues. To assess variations among the test mixtures, analysis of variance followed by a Tukey’s honest significant difference test was conducted using the “stats” package. The models’ validity was assessed using root mean squared error (RMSE) and adjusted R-squared (R²; Sradnick et al., 2023).

Mixture effects were visualized for individual measurement parameters using response trace plots following Piepel (1982). The ‘mixexp’ package (Lawson and Willden, 2016) was employed to identify the most suitable mixtures based on specified quality parameters from Table 5. Desirability was visualized using the ‘ModelPlot’ function of the ‘mixexp’ package, integrating the ‘dOverall’ function from package ‘desirability’ (Kuhn, 2016). The desirability method is a subjective approach based on threshold values that were defined exemplarily using practical assumptions; different parameters may lead to varying results.

Table 5
www.frontiersin.org

Table 5. Decision, target and min and max boundary to calculate desirability.

Results

Compounds

The initial substrates, in order of increasing bulk dry potting density, were: CL, GC, FC and P. The peat fraction had a density of 133 g/L DM, which was approximately 40% higher than that of SF. The initial pH values of the substrate source materials were notably alkaline, exceeding 7 for both GC and CL. Relevant contents of inorganic N were found in FC and P. The C/N ratio of wood fibers (427) was notably higher compared to other peat alternatives (Table 1).

Measurements of plant biomass WHCmax and pH

On DaS 18, the plant biomass was highest in mixtures (Mix) 4, 8, 9, and 10, averaging more than 1 g fresh mass (FM) per pot, which did not differ from the control (Table 2). This trend persisted on DaS 24, with maximum biomass in Mix 9 and Mix 10, each reaching approximately 3 g FM per pot. Conversely, some mixtures (Mix 3, 6, 7, 11) containing high proportions of wood fiber (> 50%) exhibited lower biomass than the 100% peat control (P).

The effect-plot for plant growth indicated that SF had a negative impact, while FC and GC had positive effects on biomass (Figure 1). Regression analysis revealed that only FC and GC had a statistically significant influence in the model, yielding an R² of at least 0.6 and an RMSE of 0.26 for both assessment dates (Appendix Table A1 in Supplementary Material).

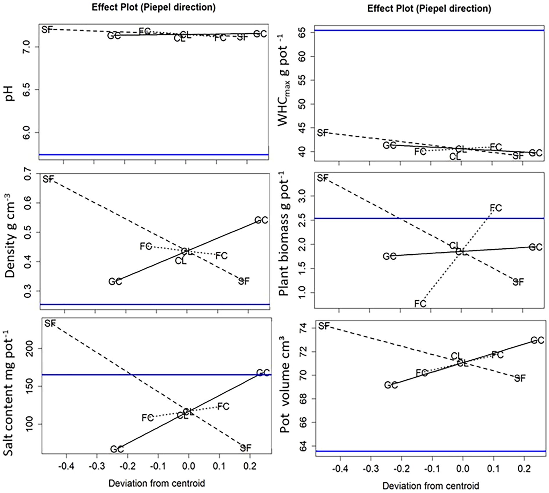
Figure 1
Effect plots showing deviation from the centroid in six graphs. The plots depict the relationships between pH, maximum water holding capacity (WHCmax), pot density, plant biomass, salt content and pot volume, and deviation from the centroid. Each plot includes SF, GC, FC and CL, with dashed lines indicating trends. The blue line represents the control (C).

Figure 1. Effect plot of Piepel directions of measured parameters in the peat free mixtures: Top-left: pH value; middle-left: pot density g cm-3; bottom-left: salt content in mg pot-1, top-right WHCmax g pot-1, middle-right: plant biomass g pot -1, bottom-right: pot volume cm-3. The blue line presents the mean of the peat-based control. Deviation from centroid in v/v.

The maximum water holding capacity (WHCmax) was reduced in all mixtures compared to the control at both sampling dates. Initially, the difference was greater (> 20 g H2O per pot) compared to the end of the observations (> 12 g H2O per pot, Table 2). The regression model for WHCmax showed a weak response (R² = 0.14 and 0.05, respectively; Appendix Table A1 in Supplementary Material). The Piepels effect plot depicting the mean values illustrates a narrow range of variation within the constrained region, where WHCmax did not differ among the test mixtures (Figure 1).

The pot density in Mix 1, 5, and 10, with compost proportions exceeding 40%, was approximately 0.5 g cm-3, about twice the peat control at 0.25 g cm-3 (Table 2). However, the pressed pots in Mixtures 2, 3, and 4 at DaS 4 did not differ from the control at the same date. The model prediction accuracy was high, with R² values of 0.88 for DaS 4 and 0.93 for DaS 24, particularly influenced by GC and CL (Appendix Table A1 in Supplementary Material). The effect plot results demonstrate a positive impact of GC and CL and a notably negative impact of SF on density (Figure 1).

Initially, the salt content at trial onset was either similar or notably lower than the peat control in certain mixtures (Mix 2, 3, 4, 6, 7, 8, or 11). However, by the end of the experiment, salt content showed minimal differences among mixtures but varied widely within them. Mixtures high in the specific factor “SF content” (Mix 2, 3, 4, 6, 7) showed lower salt content compared to those high in GC proportions in mixtures 1, 5, 9, 10 (Table 3). Using the selected linear model, salt content could be predicted accurately with R² values of 0.88 and 0.74 at the trial’s start and end, respectively (Appendix Table A1 in Supplementary Material). The effect plot and regression model analysis highlight that GC, FC, and CL contribute to increased salt content, while higher SF content decreases salt content in the mixture (Figure 1).

Notably, all peat-free press pot mixtures exhibited greater volume than the peat-based control (Table 2). However, the model yielded a low predictive accuracy (R² 0.25, Appendix Table A1 in Supplementary Material). Nonetheless, it seems that SF and FC composites enhance pot volume (Figure 1).

Physical stability of the press pots in Mix 1 and Mix 5 exhibited higher stability compared to Mix 4, Mix 6, and Mix 9, with average values exceeding 0.56 kg cm-². Stability could be enhanced by employing a directional approach with GC and CL, whereas FC and SF blends notably reduce stability. The model prediction for stability was weak, with an R² = 0.41 (Appendix Table A1 in Supplementary Material).

The pH measurements displayed notable variances between the peat free test mixtures and the peat control group. At DaS 4, pH levels in all test mixtures were more than one unit higher than in the control (Table 3). The model exhibited limited predictive power for pH values, with R² = 0.1 and 0.27, for DaS 4 and DaS 24 respectively. This limitation is evident in (Figure 1), which only represents a small portion within the constrained region.

Inorganic nitrogen (Nmin-N) contents were generally lower in peat reduced press-pots. Mix 3, 5, 7 had particularly low values, less than 1 mg per pot (Table 4). This is especially evident when considering NH4-N values in the peat free mixtures. In this case, the control sample with over 10 mg N per pot exhibited higher values than all other mixtures. These differences became less pronounced with longer production, e.g., at DaS 18. The control mixture containing 100% peat showed the highest mean value of 16.47 mg per pot. By the trial’s end, Nmin-N contents in most of the peat-free mixtures were below 1 mg per pot and differed from the control (Table 4). Piepel plots indicate that inorganic nitrogen content consistently decreases with increasing SF proportions across all sampling times (Figure 2).

Figure 2
Effect plots showing deviation from the centroid in six graphs. The plots depict the relationships Log(Inorganic N Das 4 mg pot⁻¹), Log (Inorganic N Das 18 mg pot⁻¹), Log (Inorganic N Das 25 mg pot⁻¹) and physical stability (kg cm⁻²), and deviation from the centroid. Each plot includes SF, GC, FC and CL, with dashed lines indicating trends. The blue line represents the control (C).

Figure 2. Effect plot of Piepel directions of measured parameters in the peat free mixtures: Top-left: inorganic N at day 4 (DaS 4) mg pot-1; bottom-left: inorganic N at day after sowing 18 (DaS 18) mg pot-1, top-right: physical stability kg cm-2, bottom-right: inorganic N at day after sowing 25 (DaS 25) mg pot-1. The blue line presents the mean of the peat-based control. Deviation from centroid in v/v.

Mixture compositions

The desirability calculations, incorporating parameters such as plant biomass, pH, salt content, Nmin-N after DaS 4, WHCmax, physical stability, and pot density, are depicted in Figure 3. The region of predicted optimal mixtures falls within the range of 24-65% v/v GC, with mixtures containing lower CL contents generally ranging between 45-65% v/v GC.

Figure 3
Four ternary diagrams labeled A, B, C, and D display desirability regions in varying colors from red to orange, representing different desirability ranges. Each diagram uses triangle plots to show proportions of GC, FC, and SF, with major desirability areas highlighted. The color gradient indicates desirability levels from 0.10- .19 (red) to 0.25-0.30 (orange). (A) CL = 0% v/v, (B) CL = 2.5% v/v, (C) CL = 4% v/v and (D) CL = 5% v/v.

Figure 3. Surface response of desirability for mixtures for green compost (GC), fermented compost (FC), soft wood fiber (SF) and clay (CL) in percent. Bold dashed lines are the limits of peat substitutes tested. (A) CL = 0% v/v, (B) CL = 2.5% v/v, (C) CL = 4% v/v and (D) CL = 5% v/v.

Mixtures with CL contents above 3% v/v are predicted to have higher desirability levels of SF and FC. However, only a few mixtures exceeded the defined desirability threshold. Additionally, desirability values above 0.25 were predicted outside of the constrained region.

Discussion

Mixing performance using XVERT

In this study, the XVERT algorithm (Snee and Marquardt, 1974) is presented as the central element for developing zero-peat substrate mixtures that meet specific requirements. This experimental design facilitates the precise representation of the effects of individual components through desirability analysis (Kuhn, 2016). Compared to traditional factorial or variance analyses that evaluate the effects of mixtures against one another (Lawson and Willden, 2016), this approach provides a superior method for predicting mixture effects not only for individual parameters but also for combinations of parameters. This is particularly relevant for decision-making regarding optimal mixtures in professional horticulture, as it takes the specifications of the cultivation system into account. It is important to distinguish between model-based optimization results and their practical applicability, since theoretical predictions may not fully reflect adjustments typically made under real-world conditions.

The XVERT mixture design utilized here demonstrates high effectiveness with a manageable number of test mixtures (n = 11) due to its constraint regions (e.g., upper limits for individual substrates to reflect physical and economic boundaries). While the constrained mixture design allowed for an efficient reduction of experimental effort, it must be acknowledged that the selection of mixing limits may have been too restrictive and could have excluded potentially favorable combinations. A key advantage of these regions is their ability to leverage insights from other publications, such as Sradnick et al. (2023) and De Lucia et al. (2013b), allowing for targeted restrictions of mixture boundaries. This approach enables more efficient experiments aimed at identifying practical mixtures and supports the testing of costly peat substitutes, such as biochar or clay, in varying small proportions. Despite the strengths of the presented methodology, it is important to critically reflect that the algorithm’s output does not fully incorporate practical constraints associated with substrate production. The theoretical optimization should therefore be complemented by feasibility checks regarding material availability and mixing practicality. It is expected that compost exhibits greater variability due to its complex production process compared to wood fiber, which may negatively affect predictability in substrate performance. However, based on our observations, such fluctuations may be reduced within a given commercial brand, likely due to consistent quality management practices. Other aspects such as plant protection and legal requirements should also be taken into account.

Only linear models were used, since quadratic or nonlinear models showed high Variance Inflation Factor (>10). Linear models nevertheless provided sufficient statistical power. While nonlinear models could potentially increase the number of test mixtures by expanding the edge centroids, this would significantly elevate the experimental effort. An alternative for future experiments could involve further narrowing down the region starting from the area with the highest desirability scores.

A further challenge is the narrow range of mixtures that meet practical requirements for peat-free formulations, increasing the risk of recommending mixtures close to quality boundaries, since raw material variability is inevitable.

While most mixing experiments traditionally involve three components (Smith, 2005), the inclusion of four components, as described here, appears to be particularly advantageous in the field of professional growing media. This facilitates the strategic incorporation of additives or distinct qualities of raw materials in the mixture development process.

Constituent for growing media

Substrates should generally aim for a pH between 5.5 and 6.5 (Raviv et al., 2019) to ensure efficient nutrient uptake. In our experiment, the pH was influenced by the peat substitute components, with GC generally increasing the pH, which consistently shows elevated pH in another research (De Lucia et al., 2013a; Grigatti et al., 2007). This may result from the composting process or additives used (Reyes-Torres et al., 2018). Nonetheless, compost provides sufficient nutrients for seedlings (De Lucia et al., 2013a). Lowering pH with organic acids or sulfates is possible but might increase salt levels (Cacini et al., 2021). The pH of SF and FC were within the recommended ranges (i.e., 5.5-6.5), indicating good material quality comparable to that of peat. Clay was added to improve the physical stability of the substrate, enhancing its pressure resistance for mechanical planting in the field, although its high pH (>7.5) may result from bentonite components (Arias-Estévez et al., 2007). The peat-free media tested often had pH values above the optimal range due to high compost content (Pascual et al., 2018), while effects on nutrient availability were minimal. For Chinese cabbage, pH values <7.2 do not seem to limit growth, which is consistent with earlier studies (Fan et al., 2015). Our findings indicate that high proportions of nutrient-rich peat substitutes, such as compost, can ensure an adequate supply of nutrients, particularly for vegetable seedlings with low nutrient requirements, even at elevated pH.

Effects of peat-free media on plant growth and plant nutrition

The highest plant fresh masses in the eleven tested mixtures matched the range reported by Sradnick et al. (2023). Unlike previous experiments using growing media with 50% and 25% peat (Sradnick et al., 2023), in 0% peat mixes, plant biomass clearly depended on the components used. Plant growth correlated negatively with SF, which hindered nutrient uptake. Rapid nitrogen (N) immobilization occurred early explaining the Initially low N levels in SF treatments, which is consistent with previous studies (Pansu et al., 2003; Sradnick and Feller, 2020; Thuries et al., 2000). Even with compensatory fertilization, N immobilization by microbial biomass could not be offset, as observed in other studies (Jackson et al., 2009; Wright et al., 2008). High N immobilization likely resulted from the cellulose and hemicellulose content in wood fiber (Gruda et al., 2000a; Jensen et al., 2005; Vandecasteele et al., 2018) and microbial activity from compost, leading to rapid nitrification and increased nitrate leaching. Therefore, SF should be replaced with a compound of similar physical properties but lower nitrogen immobilization risk. Possible components could include bark-based materials or grasses with a low C:N ratio (Vandecasteele et al., 2021).

Physical and physicochemical properties

Substrate WHCmax, bulk density, porosity, and EC (here as salt level), affect the uptake of nutrients by plants. In our experiment, WHCmax was in all test mixtures lower than peat, as confirmed by several studies (Gomis et al., 2022; Gong et al., 2018). This requires adjustments in irrigation during the seedling phase, and seedlings may need quicker planting without additional watering. The WHCmax can vary significantly between peat substitutes; mixtures with a high proportion of wood fiber and green waste compost can reduce WHCmax (Grigatti et al., 2007; Sradnick et al., 2023). To improve WHCmax, smaller particle size fractions as well as additives like polymers or coir dust could be considered (Pancerz and Bąbelewski, 2017; Singh et al., 2015).

Some raw components like coir or loose wood fiber show bulk densities < 0.1 g cm-³, the values reported in our study refer to compressed press pot conditions, which result in substantially higher densities. Peat-free substrates showed higher bulk density due to the share of compost, while the effect on wet pots was minimal. The lighter wood fiber can reduce material density, but it affects other parameters as e.g., nitrogen immobilization (Di Lonardo et al., 2021a). Notably, salt levels in the peat-free substrates were lower than the control, likely due to the experimental design and high wood fiber content compensating for salt from compost. However, adding inorganic nitrogen could increase salt content, and levels should not exceed 2.5 mg salt L-1 (Pascual et al., 2018).

Due to springback, the elastic recovery of the substrate after compression, the pressed pots exhibited a slightly greater height than originally intended. This effect, primarily caused by the elastic behavior of fibrous components, led to a minor increase in pot volume but did not adversely affect the physical properties of the substrate mixtures. Physical stability, which is crucial for pressed pot substrates, was not a limiting factor in the peat-free mixtures, as several test mixtures achieved similar or even higher stability values compared to the peat-based substrate (Laun et al., 2021; Sradnick et al., 2023). Further evaluation under practical cultivation conditions is strongly recommended, as physical stability is known to be influenced by water content.

The quest for peat-free blends

There are significant efforts in the field of growing media for horticulture to develop materials or mixtures that can be used in proportions similar to peat (Hirschler and Thrän, 2023). It is important to note that crop requirements vary across horticulture. In order to attain crop specific properties, peat products in horticulture are traditionally mixes of different substances, including formulations like those discussed by Raviv (2005).

Through targeted mixtures, a range of potential peat substitutes such as fiber materials from agricultural crops or industrial residues can be integrated. However, these substitutes can typically not be used alone as a direct replacement for peat substrates. By targeted substrate formulation strategically, negative effects on plant growth or additional costs in crop management can be mitigated through complementary properties. This approach aims to optimize growing conditions and sustainability in horticulture while gradually reducing the dependence on peat.

In using the four peat substitutes in the framework described in Sradnick et al. (2023), the limits concerning a 0% v/v peat variant were demonstrated. This quickly shows users which parameters and substances are feasible. It was clearly demonstrated that maximum water holding capacity, pH value, and nitrogen immobilization do not meet the requirements for potting substrates such as pH 5.5–6.5 and WHC above 60% (Raviv et al., 2019, Gruda et al., 2000b), regardless of how these substances are combined. To enhance mixture properties, specific additives that increase reactive surface area, pH-reducing substances, or compensatory fertilization could be used. Alternatively, individual substances could be replaced in new experiments or used as a fixed component to buffer “negative” properties. Examples of this could include coir dust which, at approximately 25% v/v, could be considered as a core component to replace FC, combining properties of GC and SF. Furthermore, it should be noted that not all theoretically identified mixtures may be viable in practice. Material sourcing, cost factors, and operational mixing constraints need to be considered when transferring the algorithm’s recommendations into horticultural production.

Conclusion

This study demonstrated the usefulness of a statistical mixing algorithm as a tool for creating peat-reduced and peat-free substrate mixes. Using the previously applied XVERT system, peat-free press pots could be a feasible option with a high potential for practical application. However, all peat-free mixtures had reduced WHCmax, increased density, and greater nitrogen immobilization compared to peat. In contrast, the results showed no negative effects on salt content or stability in peat-free mixtures. To develop more targeted peat-free mixtures to be integrated into practice, considerations of other peat substitutes are important, sphagnum moss or coir dust appear as suitable candidates.

In commercial practice, compost proportions above 30% v/v are rarely used due to physical limitations. Our study explored experimental boundaries rather than recommending direct implementation. Nevertheless, the methodology effectively demonstrated the practical potential of peat substitutes in mixtures. This enabled rapid evaluation of substitute materials in their maximum application rates. The current approach supports integrating these substitutes in small amounts into complex multi-component mixtures. Further research is needed to evaluate additives affecting WHCmax, pH, and stability within a comprehensive experimental design framework.

While the statistical mixing algorithm proved to be a valuable tool for efficiently developing peat-free substrate mixtures, it should be noted that the initial definition of mixing limits may have influenced the range of mixtures explored. Although the selected constraints were methodologically justified, future studies could refine these boundaries, potentially guided by preliminary trials or expert feedback, to better align with practical horticultural formulations. Additionally, it would be useful to complement the algorithmic output with an assessment of practical feasibility to support successful application in commercial settings. The XVERT algorithm enhances efficiency in developing zero-peat mixtures and provides a valuable foundation for future research.

Data availability statement

The raw data supporting the conclusions of this article will be made available by the authors, without undue reservation.

Ethics statement

All ethics committees of the organizations with which the authors are affiliated have no objections to the publication of this work.

Author contributions

AS: Investigation, Writing – original draft, Software, Visualization, Funding acquisition, Validation, Writing – review & editing, Formal analysis, Conceptualization, Methodology, Data curation, Supervision. OK: Resources, Project administration, Writing – review & editing.

Funding

The author(s) declare financial support was received for the research and/or publication of this article. Funding for the research was provided by the German Federal Ministry of Food and Agriculture (BMEL) through the project “Development and evaluation of peat-reduced production systems in horticulture (ToPGa)” (project 2220MT006C).

Acknowledgments

We are grateful to Klasmann-Deilmann GmbH, Kekkilä-Brill Substrates GmbH and Stephan Schmidt KG for supplying the substrate components. We thank Kai Katroschan from the “Centre of horticultural crop production, Mecklenburg-Vorpommern Research Centre for Agriculture and Fisheries, Gülzow-Prüzen, Germany for providing their infrastructure.

Conflict of interest

The authors declare that the research was conducted in the absence of any commercial or financial relationships that could be construed as a potential conflict of interest.

Generative AI statement

The author(s) declare that Generative AI was used in the creation of this manuscript. Generative AI was used to review the text for correct spelling, grammar, and phrasing using OpenAI’s ChatGPT (GPT-4o, August 2025 version).

Any alternative text (alt text) provided alongside figures in this article has been generated by Frontiers with the support of artificial intelligence and reasonable efforts have been made to ensure accuracy, including review by the authors wherever possible. If you identify any issues, please contact us.

Publisher’s note

All claims expressed in this article are solely those of the authors and do not necessarily represent those of their affiliated organizations, or those of the publisher, the editors and the reviewers. Any product that may be evaluated in this article, or claim that may be made by its manufacturer, is not guaranteed or endorsed by the publisher.

Supplementary material

The Supplementary Material for this article can be found online at: https://www.frontiersin.org/articles/10.3389/fhort.2025.1620375/full#supplementary-material

References

Adamczewska-Sowinska K., Sowinski J., Jamroz E., and Bekier J. (2022). Compost from willow biomass (Salix viminalis L.) as a horticultural substrate alternative to peat in the production of vegetable transplants. Sci. Rep. 12, 17617. doi: 10.1038/s41598-022-22406-7

PubMed Abstract | Crossref Full Text | Google Scholar

Arias-Estévez M., López-Periago E., Nóvoa-Muñoz J. C., Torrado-Agrasar A., and Simal-Gándara J. (2007). Treatment of an acid soil with bentonite used for wine fining: effects on soil properties and the growth of Lolium multiflorum. J. Agric. Food Chem. 55, 7541–7546. doi: 10.1021/jf070837e

PubMed Abstract | Crossref Full Text | Google Scholar

Atzori G., Pane C., Zaccardelli M., Cacini S., and Massa D. (2021). The role of peat-free organic substrates in the sustainable management of soilless cultivations. Agronomy 11. doi: 10.3390/agronomy11061236

Crossref Full Text | Google Scholar

BMLEH (2022). Going peat-free, protecting the climate (Federal Ministry of Agriculture, Food and Regional Identity). Available online at: https://www.bmel.de/SharedDocs/Downloads/EN/Publications/peat-use-reduction-strategy.html (Accessed July 31, 2022).

Google Scholar

Boyer C. R., Torbert H. A., Gilliam C. H., Fain G. B., Gallagher T. V., and Sibley J. L. (2012). Nitrogen immobilization in plant growth substrates: clean chip residual, pine bark, and peatmoss. Int. J. Agron. 2012, 1–8. doi: 10.1155/2012/978528

Crossref Full Text | Google Scholar

Cacini S., Di Lonardo S., Orsenigo S., and Massa D. (2021). Managing pH of organic matrices and new commercial substrates for ornamental plant production: A methodological approach. Agronomy 11. doi: 10.3390/agronomy11050851

Crossref Full Text | Google Scholar

Carmona E., Moreno M. T., Avilés M., and Ordovás J. (2012). Use of grape marc compost as substrate for vegetable seedlings. Scientia Hortic. 137, 69–74. doi: 10.1016/j.scienta.2012.01.023

Crossref Full Text | Google Scholar

Ceglie F. G., Bustamante M. A., Ben Amara M., and Tittarelli F. (2015). The challenge of peat substitution in organic seedling production: optimization of growing media formulation through mixture design and response surface analysis. PloS One 10, e012860010. doi: 10.1371/journal.pone.0128600

PubMed Abstract | Crossref Full Text | Google Scholar

De Lucia B., Cristiano G., Vecchietti L., Rea E., and Russo G. (2013a). Nursery growing media: agronomic and environmental quality assessment of sewage sludge-based compost. Appl. Environ. Soil Sci 2013, 1–10. doi: 10.1155/2013/565139

Crossref Full Text | Google Scholar

De Lucia B., Vecchietti L., Rinaldi S., Rivera C. M., Trinchera A., and Rea E. (2013b). Effect of peat-reduced and peat-free substrates on rosemary growth. J. Plant Nutr. 36, 863–876. doi: 10.1080/01904167.2013.770018

Crossref Full Text | Google Scholar

Di Lonardo S., Cacini S., Becucci L., Lenzi A., Orsenigo S., Zubani L., et al. (2021a). Testing new peat-free substrate mixtures for the cultivation of perennial herbaceous species: A case study on Leucanthemum vulgare Lam. Scientia Hortic. 289. doi: 10.1016/j.scienta.2021.110472

Crossref Full Text | Google Scholar

Di Lonardo S., Massa D., Orsenigo S., Zubani L., Rossi G., Fascella G., et al. (2021b). Substitution of peat in the cultivation of two shrub species used for ecological restoration and recovery of degraded green areas. Acta Hortic. 1305, 97–102. doi: 10.17660/ActaHortic.2021.1305.14

Crossref Full Text | Google Scholar

Durand S., Fonteno W. C., and Michel J. C. (2024). A review and analysis of particle size parameters and their relationships to physical properties of growing media. Soil Sci Soc. America J. 88, 652–666. doi: 10.1002/saj2.20661

Crossref Full Text | Google Scholar

Fan R., Luo J., Yan S., Wang T., Liu L., Gao Y., et al. (2015). Use of water hyacinth (Eichhornia crassipes) compost as a peat substitute in soilless growth media. Compost Sci Utilization 23, 237–247. doi: 10.1080/1065657x.2015.1046614

Crossref Full Text | Google Scholar

Fetting C. (2020). The European green deal. ESDN Report No. 2/2020. European Sustainable Development Network (ESDN), Vienna. Available online at: https://www.esdn.eu/fileadmin/ESDN_Reports/ESDN_Report_2_2020.pdf.

Google Scholar

Fox J., Weisberg S., Adler D., Bates D., Baud-Bovy G., Ellison S., et al. (2012). Package ‘car’ Vol. 16 (Vienna: R Foundation for Statistical Computing), 333.

Google Scholar

Giménez A., Fernández J. A., Pascual J. A., Ros M., Saez-Tovar J., Martinez-Sabater E., et al. (2020). Promising composts as growing media for the production of baby leaf lettuce in a floating system. Agronomy, 10. doi: 10.3390/agronomy10101540

Crossref Full Text | Google Scholar

Gomis M. P., Pérez-Murcia M. D., Barber X., Martínez-Sabater E., Moral R., and Bustamante M.Á. (2022). Development and validation of alternative palm-derived substrates for seedling production. Agronomy 12, 1210. doi: 10.3390/agronomy12061377

Crossref Full Text | Google Scholar

Gong X., Li S., Sun X., Wang L., Cai L., Zhang J., et al. (2018). Green waste compost and vermicompost as peat substitutes in growing media for geranium ( Pelargonium zonale L.) and calendula ( Calendula officinalis L.). Scientia Hortic. 236, 186–191. doi: 10.1016/j.scienta.2018.03.051

Crossref Full Text | Google Scholar

Grigatti M., Giorgioni M. E., and Ciavatta C. (2007). Compost-based growing media: influence on growth and nutrient use of bedding plants. Bioresour Technol. 98, 3526–3534. doi: 10.1016/j.biortech.2006.11.016

PubMed Abstract | Crossref Full Text | Google Scholar

Gruda N. S., Hirschler O., and Stuart J. (2024). Peat reduction in horticulture – an overview of Europe. Acta Hortic. 1391, 545–560. doi: 10.17660/ActaHortic.2024.1391.75

Crossref Full Text | Google Scholar

Gruda N., Sippel C., and Schnitzler W. (2000b). “Investigation of physical properties of wood fiber substrates under press pot conditions,” in World Congress on Soilless Culture: Agriculture in the Coming Millennium 554, 51–58.

Google Scholar

Gruda N., Tucher S. V., and Schnitzler W. (2000a). N-immobilization by wood fibre substrates in the production of tomato transplants (Lycopersicon lycopersicum (L.) Karst. ex Farw.). Angewandte Botanik 74, 32–37.

Google Scholar

Herrera F., Castillo J. E., Chica A. F., and Lopez Bellido L. (2008). Use of municipal solid waste compost (MSWC) as a growing medium in the nursery production of tomato plants. Bioresour Technol. 99, 287–296. doi: 10.1016/j.biortech.2006.12.042

PubMed Abstract | Crossref Full Text | Google Scholar

Hirschler O. and Osterburg B. (2022). Peat extraction, trade and use in Europe: a material flow analysis. Mires Peat 28. doi: 10.19189/MaP.2021.SNPG.StA.2315

Crossref Full Text | Google Scholar

Hirschler O. and Thrän D. (2023). Peat substitution in horticulture: interviews with german growing media producers on the transformation of the resource base. Horticulturae 9, 908–919. doi: 10.3390/horticulturae9080919

Crossref Full Text | Google Scholar

Jackson B. E., Wright R. D., and Alley M. M. (2009). Comparison of fertilizer nitrogen availability, nitrogen immobilization, substrate carbon dioxide efflux, and nutrient leaching in peat-lite, pine bark, and pine tree substrates. HortScience 44, 781–790. doi: 10.21273/HORTSCI.44.3.781

Crossref Full Text | Google Scholar

Jensen L. S., Salo T., Palmason F., Breland T. A., Henriksen T. M., Stenberg B., et al. (2005). Influence of biochemical quality on C and N mineralisation from a broad variety of plant materials in soil. Plant Soil 273, 307–326. doi: 10.1007/s11104-004-8128-y

Crossref Full Text | Google Scholar

Joosten H. and Clarke D. (2002). Wise Use of Mires and Peatlands: Background and Principles Including a Framework for Decision-Making. International Mire Conservation Group & International Peat Society. Jyväskylä / Greifswald: 304 S.

Google Scholar

Kuhn M. (2016). The desirability package. CRAN.

Google Scholar

Laun N., Weinheimer S., Lutz F., Emmel M., and Gruda N. (2021). Peat reduced substrates for vegetable seedlings. Acta Hortic. 1321, 23–30. doi: 10.17660/ActaHortic.2021.1321.4

Crossref Full Text | Google Scholar

Lawson J. and Willden C. (2016). Mixture Experiments in R using mixexp. J. Stat. Software 72, 1–8. doi: 10.18637/jss.v072.c02

Crossref Full Text | Google Scholar

Leifeld J. and Menichetti L. (2018). The underappreciated potential of peatlands in global climate change mitigation strategies. Nat. Commun. 9, 1071. doi: 10.1038/s41467-018-03406-6

PubMed Abstract | Crossref Full Text | Google Scholar

Massa D., Malorgio F., Lazzereschi S., Carmassi G., Prisa D., and Burchi G. (2018). Evaluation of two green composts for peat substitution in geranium ( Pelargonium zonale L.) cultivation: Effect on plant growth, quality, nutrition, and photosynthesis. Scientia Hortic. 228, 213–221. doi: 10.1016/j.scienta.2017.10.025

Crossref Full Text | Google Scholar

Pancerz M. and Bąbelewski P. (2017). “Influence of miscanthus-based growing media with the amendment of hydrogel and different multicomponent fertilizers on the fresh biomass of Hydrangea arborescens' Annabelle',” in International Symposium on Growing Media, Soilless Cultivation, and Compost Utilization in Horticulture 1266, 237–242.

Google Scholar

Pansu M., Thuries L., Larre-Larrouy M. C., and Bottner P. (2003). Predicting N transformations from organic inputs in soil in relation to incubation time and biochemical composition. Soil Biol. Biochem. 35, 353–363. doi: 10.1016/s0038-0717(02)00285-7

Crossref Full Text | Google Scholar

Paradelo R., Basanta R., and Barral M. T. (2019). Water-holding capacity and plant growth in compost-based substrates modified with polyacrylamide, guar gum or bentonite. Scientia Hortic. 243, 344–349. doi: 10.1016/j.scienta.2018.08.046

Crossref Full Text | Google Scholar

Pascual J. A., Ceglie F., Tuzel Y., Koller M., Koren A., Hitchings R., et al. (2018). Organic substrate for transplant production in organic nurseries. A review. Agron. Sustain. Dev. 38, 35. doi: 10.1007/s13593-018-0508-4

Crossref Full Text | Google Scholar

Piepel G. F. (1982). Measuring component effects in constrained mixture experiments. Technometrics 24, 29–39. doi: 10.1080/00401706.1982.10487706

Crossref Full Text | Google Scholar

Raviv M. (2005). Production of high-quality composts for horticultural purposes: A mini-review. HortTechnology 15, 52–57. doi: 10.21273/horttech.15.1.0052

Crossref Full Text | Google Scholar

Raviv M., Lieth H., and Bar-Tal A. (2019). Soilless culture: Theory and practice: Theory and practice (London: Elsevier).

Google Scholar

R Core Team (2021). “R: A language and environment for statistical computing,” in R Foundation for Statistical Computing(Vienna, Austria). Available online at: https://www.R-project.org/ (Accessed January 2024).

Google Scholar

Reyes-Torres M., Oviedo-Ocana E. R., Dominguez I., Komilis D., and Sanchez A. (2018). A systematic review on the composting of green waste: Feedstock quality and optimization strategies. Waste Manag 77, 486–499. doi: 10.1016/j.wasman.2018.04.037

PubMed Abstract | Crossref Full Text | Google Scholar

Scheffé H. (1958). Experiments with mixtures. J. R. Stat. Society: Ser. B (Methodological) 20, 344–360.

Google Scholar

Singh S., Dubey R., and Kukal S. (2015). Performance of cocopeat amended media mixtures on growth and flowering of chrysanthemum. J. Appl. Horticulture 17, 230–235. doi: 10.37855/jah.2015.v17i03.44

Crossref Full Text | Google Scholar

Smith W. F. (2005). Experimental design for formulation (Philadelphia: SIAM).

Google Scholar

Snee R. D. and Marquardt D. W. (1974). Extreme vertices designs for linear mixture models. Technometrics 16, 399–408. doi: 10.1080/00401706.1974.10489209

Crossref Full Text | Google Scholar

Sradnick A. and Feller C. (2020). A typological concept to predict the nitrogen release from organic fertilizers in farming systems. Agronomy 10. doi: 10.3390/agronomy10091448

Crossref Full Text | Google Scholar

Sradnick A., Werner M., and Korner O. (2023). Make a choice: A rapid strategy for minimizing peat in horticultural press pots substrates using a constrained mixture design and surface response approach. PloS One 18, e0289320. doi: 10.1371/journal.pone.0289320

PubMed Abstract | Crossref Full Text | Google Scholar

Strack M., Davidson S. J., Hirano T., and Dunn C. (2022). The potential of peatlands as nature-based climate solutions. Curr. Climate Change Rep. 8, 71–82. doi: 10.1007/s40641-022-00183-9

Crossref Full Text | Google Scholar

Thuries L., Larre-Larrouy M. C., and Pansu M. (2000). Evaluation of three incubation designs for mineralization kinetics of organic materials in soil. Commun. Soil Sci Plant Anal. 31, 289–304. doi: 10.1080/00103620009370437

Crossref Full Text | Google Scholar

Tietjen S., Graubner I., and Sradnick A. (2022). Reducing peat in substrate mixture formulations for press pots using the Taguchi method. Scientia Hortic. 295, 110838. doi: 10.1016/j.scienta.2021.110838

Crossref Full Text | Google Scholar

Vandecasteele B. (2023). Oxygen uptake rate versus CO(2) based respiration rate for assessment of the biological stability of peat, plant fibers and woody materials with high C:N ratio versus composts. Waste Manag 167, 74–80. doi: 10.1016/j.wasman.2023.05.019

PubMed Abstract | Crossref Full Text | Google Scholar

Vandecasteele B., Muylle H., De Windt I., Van Acker J., Ameloot N., Moreaux K., et al. (2018). Plant fibers for renewable growing media: Potential of defibration, acidification or inoculation with biocontrol fungi to reduce the N drawdown and plant pathogens. J. Cleaner Production 203, 1143–1154. doi: 10.1016/j.jclepro.2018.08.167

Crossref Full Text | Google Scholar

Vandecasteele B., Van Loo K., Amery F., Delcour I., Pauwels E., Gorrens E., et al. (2021). Peat replacement by composts, plant fibers or management residues: a preliminary classification of methods for stability assessment. Acta Hortic. 1305, 333–340. doi: 10.17660/ActaHortic.2021.1305.45

Crossref Full Text | Google Scholar

VDLUFA (1997). Bestimmung der Rohdichte (Volumengewicht) von gärtnerischen Substraten mit sperrigen Komponenten (Determination of bulk density (volume weight) of horticultural substrates with bulky components). Methodenb, 1–5.

Google Scholar

VDLUFA (2018). Untersuchung von Böden (VDLUFA-Methodenbuch) (VDLUFA).

Google Scholar

Wright R. D., Jackson B. E., Browder J. F., and Latimer J. G. (2008). Growth of chrysanthemum in a pine tree substrate requires additional fertilizer. HortTechnology hortte 18, 111–115. doi: 10.21273/horttech.18.1.111

Crossref Full Text | Google Scholar

Yang L., Cao H., Yuan Q., Luoa S., and Liu Z. (2018). Component optimization of dairy manure vermicompost, straw, and peat in seedling compressed substrates using simplex-centroid design. J. Air Waste Manag Assoc. 68, 215–226. doi: 10.1080/10962247.2017.1368736

PubMed Abstract | Crossref Full Text | Google Scholar

Zhang L., Sun X., Tian Y., and Gong X. (2013). Composted green waste as a substitute for peat in growth media: effects on growth and nutrition of Calathea insignis. PloS One 8, e78121. doi: 10.1371/journal.pone.0078121

PubMed Abstract | Crossref Full Text | Google Scholar

Keywords: peat-free substrates, seedling production, mixture optimization, sustainability, response surface methodology, compost, wood fiber

Citation: Sradnick A and Körner O (2025) Efficiently evaluating peat-free growing media for press pots: effects of mixture combinations. Front. Hortic. 4:1620375. doi: 10.3389/fhort.2025.1620375

Received: 29 April 2025; Accepted: 08 September 2025;
Published: 10 October 2025.

Edited by:

Jean-Charles Michel, Institut Agro Rennes-Angers, France

Reviewed by:

Stan Durand, Institut Agro Rennes-Angers, France
Jeb Fields, University of Florida, United States

Copyright © 2025 Sradnick and Körner. This is an open-access article distributed under the terms of the Creative Commons Attribution License (CC BY). The use, distribution or reproduction in other forums is permitted, provided the original author(s) and the copyright owner(s) are credited and that the original publication in this journal is cited, in accordance with accepted academic practice. No use, distribution or reproduction is permitted which does not comply with these terms.

*Correspondence: André Sradnick, c3JhZG5pY2tAaWd6ZXYuZGU=

Disclaimer: All claims expressed in this article are solely those of the authors and do not necessarily represent those of their affiliated organizations, or those of the publisher, the editors and the reviewers. Any product that may be evaluated in this article or claim that may be made by its manufacturer is not guaranteed or endorsed by the publisher.