Abstract
A target to conserve 30% of oceans by designating marine protected areas (MPAs) has been agreed, yet the effectiveness of existing MPAs is often low, with few weakly implemented restrictions on impacting uses. Drawing on coevolutionary governance and social-ecological systems concepts, we hypothesize that (1) effective governance frameworks for MPAs rely on various combinations of diverse incentives, which encourage people (actors) to behave in a manner that reduces the impacts of their uses and thereby more effectively achieves conservation objectives; (2) effective MPAs will tend to employ a higher diversity of governance incentives, creating resilient MPAs analogous to resilient ecosystems with higher species diversity. This multiple case study empirical analysis of the governance of 50 MPAs supports these hypotheses and demonstrates that: (a) there is strong correlation between the effectiveness of MPAs and the number of governance incentives used; (b) combinations of economic, legal, communication, knowledge and participatory incentives are shown to be employed in effective MPAs and mostly needed in less effective MPAs; (c) whilst some incentives are frequently identified as being important to promote effectiveness, no particular ‘magic wand’ incentive or ‘best practice’ combinations of incentives guarantee this. These findings show that effectiveness is not determined by any specific governance approaches or incentives, but rather the combination of a diversity of functionally integrated incentives, which interact with and support one another to promote MPA effectiveness and resilience, i.e. diversity is the key to resilience, both of species in ecosystems and incentives in governance systems.
1 Introduction
Marine ecosystems are vital for the future wellbeing of humans and the biodiversity on which this depends. Concerns about the cumulative impacts of human activities on marine ecosystems are growing, particularly related to their capacity to deliver vital ecosystem services and their resilience to the emerging impacts of climate change (CBD-GBO5, 2020). Marine Protected Areas (MPAs) are widely recognized as a potentially important means of restoring marine populations and ecosystems (Lester et al., 2009; Soler et al., 2015). A target has recently been agreed under the UN Convention on Biological Diversity (CBD) to effectively and equitably protect 30% of the global sea area by 2030 through ecologically representative and well-connected networks of MPAs (CBD, 2022). This target also specifies that MPAs should be ecologically representative and well-connected, but these aims are more relevant to the design of MPA networks rather than the governance of particular MPAs. Whilst this 30% by 2030 target is welcomed by many as being more ambitious than the previous target, there are concerns that nation states will focus on the spatial element of the target to designate 30% of the ocean area under their jurisdiction as MPAs, neglecting the need not only for ecologically representative and well-connected networks of MPAs, but also for MPAs that are effective in achieving their objectives and equitable in the ways they do so (De Santo, 2013a; Jones and De Santo, 2016).
We focus on the effectiveness element of this target, building on recent studies indicating that many MPAs are closer to ‘paper parks’ in contributing to the spatial element of the target but being largely ineffective in reducing the impacts of human activities that are undermining the achievement of marine biodiversity conservation objectives (Jones, 2014; Pieraccini et al., 2016; Agardy, 2018; Bergseth and Day, 2023; Relano and Pauly, 2023). There is also a growing focus on the fundamental importance of addressing inequities that can arise from the unjust and exclusionary governance of MPAs (Jones, 2009; Bennett, 2018; Sowman and Sunde, 2018; Hampton-Smith et al., 2024). It is increasingly recognized that effectiveness and equity are inextricably intertwined (Jones and Long, 2021), as perceived inequity in establishing MPAs can affect conservation effectiveness (Schreckenberg et al., 2016), e.g. MPAs that focus mainly on enforcing penalties tend to be less effective than those where indigenous peoples and local people are engaged in management (Fidler et al., 2022), whilst MPAs which involve local people tend to both be more effective in achieving conservation objectives and equitable in achieving socio-economic development outcomes (Giakoumi et al., 2018).
The 30% by 2030 CBD target accordingly requires that MPAs are equitably governed, including recognition of indigenous and traditional territories and respecting the rights of indigenous peoples and local communities over their traditional territories (CBD, 2022). It has also been internationally agreed (CBD, 2018) that equity includes procedural (inclusive decision-making), distributional (fair sharing of benefits and burdens arising from decisions) and recognition (respect for social and cultural diversity and peoples’ customary values, rights and beliefs) elements (Zafra-Calvoa et al., 2017; IUCN, 2022). Concerns remain, however, that efforts to achieve the 30% spatial element of the target could lead to an unjust and inequitable focus on exclusionary designations that undermine customary use rights (Survival International, 2023). This analysis will largely focus on the effectiveness element of the CBD target, though some equity dimensions of MPA governance will be discussed (section 3.5).
In order to develop a deeper understanding of different examples of how MPA governance approaches provide for effectiveness, this paper adopts an empirical approach to analyzing 50 case studies across 24 countries (Figure 1), drawing on the coevolutionary governance concept as a theoretical basis (expanded on in section 2.1) and applying the MPA governance (MPAG) empirical framework (section 2.2) (Jones, 2014; Jones and Long, 2021). This multiple case study analysis will explore the hypotheses that (1) effective governance frameworks for MPAs rely on combinations of different approaches and incentives, which encourage involved people (actors) to behave in a manner that reduces the impacts of their uses and thereby more effectively achieves conservation objectives; (2) effective MPAs will tend to employ a higher number of governance incentives, creating resilient MPAs analogous to resilient ecosystems with higher species diversity. From a more applied perspective, these findings will also provide a framework for systematically analyzing MPA governance and thereby provide guidance on how combinations of governance approaches are employed in different MPAs and different contexts. This also serves as a means of seeking examples of good practice in achieving MPA effectiveness and equity, and thereby also providing learnings for other MPAs from such good practice combinations of governance approaches and incentives, which can be adapted and transferred to other MPAs, e.g. UN Environment (2019).
Figure 1
2 Methods
2.1 Theoretical basis
This study builds on multiple meta-analyses of MPA performance that have recently been conducted, largely demonstrating that fully protected (no-take) MPAs have more effective outcomes for biodiversity, fish biomass and social benefits, though partial protection still offers some of these benefits (Sciberras et al., 2015; Sala and Giakoumi, 2018; Zupan et al., 2018; Turnbull et al., 2021; Nowakowski et al., 2023; Gill et al., 2024), including mitigation and adaptation to climate change (Jacquemont et al., 2022). However, the degree of protection for these MPAs was largely estimated using either a Protected Area Management Effectiveness (PAME) method, based on quantitative manager surveys (Hockings et al., 2006; PAME, 2024), or a regulation-based classification system (Horta e Costa et al., 2016), based on whether de jure use restrictions, particularly on fishing, are provided for as regulations on paper. Such approaches enable the degree of protection to be estimated for a large number of designations, providing for such meta-analyses of MPAs at national (Claudet et al., 2021), regional (Jacquemont et al., 2022) and global (Gill et al., 2017, 2024) scales.
These meta-analyses have enabled more incisive evaluations of the degree and extent of protection offered by MPA networks towards the 30% target, e.g. whilst the World Database on Protected Areas (Protected Planet, 2024) indicates that the global coverage of 18,415 MPAs is 8.2%, the Marine Protection Atlas (MCI, 2024) employing the MPA Guide framework (Grorud-Colvert et al., 2021) indicates that the global coverage of implemented or actively managed MPAs is only 5.7%. The difference between these figures is attributed to the many MPAs that are unimplemented or subject to partial or unknown levels of protection. As well as assessing the stages of establishment and the levels of protection, the MPA Guide also provides for broad assessments of enabling conditions and of ecological and social outcomes (Grorud-Colvert et al., 2021), which include elements related to governance, though most applications of the MPA Guide to date have focused on the stages of establishment and levels of protection, to provide more nuanced assessments of the degree and extent of MPA networks towards the CBD 30% target. The MPA Guide is the most recent of several social-ecological analysis frameworks that have been applied to MPAs e.g. Gill et al. (2017); Mascia et al. (2017); Gill et al. (2024).
Such quantitative meta-analyses, sometimes involving qualitative elements, such as interviews and focus groups, which are then quantitatively integrated into the statistical analyses and models, are important for studying large numbers of MPA designations, including broad assessments of enabling conditions and social-ecological outcomes at national (Turnbull et al., 2021; Fidler et al., 2022), regional (Di Franco et al., 2016; Bennett et al., 2019; Di Franco et al., 2020) and global (Cinner et al., 2016; Gill et al., 2017; Andradi-Brown et al., 2023) scales. They also enable databases such as Protected Planet (2024) and the Marine Protection Atlas (MCI, 2024) to be populated with information that indicates stage of establishment, level of protection, management effectiveness, etc. for many MPAs. These meta-analyses also indicate several broad governance attributes that tend to promote effectiveness and equity, such as providing for community participation; equitable/appropriate use regulations; fair enforcement; collective knowledge production; raised awareness; customary/indigenous practices and property rights; transparency and accountability; sustainable economic benefits; and adequate capacity (budget/staff) (Cinner et al., 2016; Di Franco et al., 2016; Gill et al., 2017; Mascia et al., 2017; Bennett et al., 2019; Di Franco et al., 2020; Fidler et al., 2022; Andradi-Brown et al., 2023; Gill et al., 2024).
These meta-analyses thereby enable such governance attributes that appear to be correlated with effectiveness to be identified, employing sophisticated statistical analysis and modelling techniques. Whilst enabling large numbers of MPAs to be included, drawing on available data, and identifying broad trends and correlations, such meta-analyses are limited in terms of the information they draw on about each MPA in the sample, this mostly being limited to a review of existing restrictive regulations on paper or to quantitative data derived from management effectiveness surveys or questionnaires (with the exception of Fidler et al., 2022, who also employed in-depth qualitative interviews and focus groups). Whilst such meta-analyses enable governance attributes that appear to be correlated with effectiveness to be statistically analyzed based on large numbers of case studies, they lack a more qualitative in-depth understanding of the details of how governance approaches are implemented and combined in individual MPAs, and of the different perspectives of different MPA-related people on the degree to which MPA governance promotes effectiveness and addresses related equity issues.
In order to go beyond correlation to gain a deeper qualitative understanding of MPA governance, including case study specific details of how governance approaches are implemented and combined, this research adopts a theory-oriented grounded case studies analysis approach, including comparative quantitative analysis of 50 case studies, to explore broad learnings on how combined governance approaches can make MPAs more effective and equitable. Statistical analyses have been dominating social science research since the 1970s, as more sophisticated computers and models became available. However, multiple-method approaches that include qualitative case study research and combine and integrate within-case understandings and cross-case study comparisons across different contexts remain an important means of developing, grounding and testing theories, whilst also potentially providing policy makers with the applied generic knowledge to help them form effective strategies (George and Bennett, 2005, p. 3–36). In this vein, this research aims to draw on the findings of these 50 MPA case studies to develop an understanding of not only the correlation between the governance approaches employed and effectiveness, but also an understanding of the causative articulations by which combinations of governance approaches are (or are not) functionally integrated to promote the more effective and equitable governance of MPAs.
This research applies and builds on the theoretical concept of coevolutionary governance (Jones, 2014; Jones and Long, 2021). Many studies have focused on the concept of ‘good governance’ (Bennett and Satterfield, 2018), premised on Weberian principles outlined by Rhodes (1997): legitimacy, transparency and accountability, which have since been elaborated on and applied to the governance of protected areas, adding the principles of inclusiveness, fairness, connectivity and resilience (Lockwood, 2010). These principles form the basis of the PAME methodologies (GD-PAME, 2024) and related best practice guidelines on the governance of protected areas (Borrini-Feyerabend et al., 2013), and are employed as the conceptual basis of some recent MPA effectiveness meta-analyses (Gill et al., 2017; Bennett et al., 2019; Di Franco et al., 2020). These have been useful for indicating broad governance attributes that tend to promote effectiveness and equity across many MPAs, such as those discussed above, but they tell us very little of the complexities of governance in individual MPAs and related patterns across MPAs. These governance principles and attributes are included in this analysis through a comprehensive taxonomy of 36 MPA governance incentives detailed below (Table 1), which capture all these, along with governance-related elements employed in PAME and related frameworks (GD-PAME, 2024), and governance-related enabling conditions and outcomes employed in the MPA Guide (Grorud-Colvert et al., 2021).
Table 1
| Incentive category (Number of incentives) | Incentive | Associated governance approach(es) |
|---|---|---|
| ECONOMIC (10) Using economic and property rights approaches to promote the fulfilment of MPA objectives | i1. Payments for ecosystem services | Market-based |
| i2. Assigning property rights | ||
| i3. Reducing the leakage of benefits | ||
| i4. Promoting profitable and sustainable fisheries and tourism | ||
| i5. Promoting green marketing | ||
| i6. Promoting diversified and supplementary livelihoods | ||
| i7. Providing compensation | ||
| i8. Investing MPA income/funding in facilities for local communities | ||
| i9. Provision of state funding | ||
| i10. Provision of NGO, private sector and user fee funding | ||
| COMMUNICATION (3) Promoting awareness of the conservation features of the MPA, the related objectives for conserving them and the approaches for achieving these objectives, and promoting support for related measures | i11. Raising awareness | Supporting all three approaches |
| i12. Promoting recognition of benefits | ||
| i13. Promoting recognition of regulations and restrictions | ||
| KNOWLEDGE (3) Respecting and promoting the use of different sources of knowledge (local-traditional and expert-scientific) to better inform MPA decisions | i14. Promoting collective learning | Supporting all three approaches |
| i15. Agreeing approaches for addressing uncertainty | ||
| i16. Independent advice and arbitration | ||
| LEGAL (10) Establishment and enforcement of relevant laws, regulations etc. as a source of ‘state steer’ to promote cooperation and compliance with decisions, and thereby the achievement of MPA obligations | i17. Hierarchical obligations | Top-down (state steer) |
| i18. Capacity for enforcement | ||
| i19. Penalties for deterrence | ||
| i20. Protection from incoming users | ||
| i21. Attaching conditions to use, property rights, decentralisation, etc. | ||
| i22. Cross-jurisdictional coordination | ||
| i23. Clear and consistent legal definitions | ||
| i24. Clarity concerning jurisdictional limitations | ||
| i25. Legal adjudication platforms | ||
| i26. Transparency, accountability and fairness | ||
| PARTICIPATION (10) Providing for users, communities and other interest groups to participate in and influence MPA decision-making that may potentially affect them, in order to promote their ownership of the MPA and thereby their potential to cooperate in the implementation of decisions | i27. Rules for participation | Bottom-up (people steer) |
| i28. Establishing collaborative platforms | ||
| i29. Neutral facilitation | ||
| i30. Independent arbitration panels | ||
| i31. Decentralizing responsibilities | ||
| i32. Peer enforcement | ||
| i33. Building trust and the capacity for cooperation | ||
| i34. Building linkages between relevant authorities and user representatives | ||
| i35. Respecting and building on local customs | ||
| i36. Potential to influence higher institutional levels |
The five categories of 36 MPAG incentives in five categories, including the governance approach(es) they represent.
Colors in the first column correspond to those used in frequency plots in Figure 6.
Other studies have focused on the concept of common-pool resources (CPR) governance and the related social-ecological system (SES) framework, extensive case studies research through which has developed and refined variables or design principles that affect the likelihood of collective action by people (referred to as ‘actors’) to self-organize to sustainably govern resources (Ostrom, 1990, 2007, 2009; McGinnis and Ostrom, 2014). This framework and the related variables are highly relevant to MPAs (Schlüter et al., 2013) and have also been employed in some recent MPA assessments, e.g. Great Barrier Reef Marine Park (Evans et al., 2014; Morrison, 2017) and meta-analyses (Di Franco et al., 2016; Ban et al., 2017; Mascia et al., 2017; Fidler et al., 2022). Whilst these have also been useful for indicating variables that tend to promote sustainable governance across many MPAs, they are again limited in what they reveal about the complexities of governance in individual MPAs and related patterns across MPAs.
There is also a fundamental reason why this paper does not employ the SES framework, the CPR basis of which is premised on the principles of place-based self-governance, i.e. that local people in a given place are best able to collectively reach and implement decisions on their uses of local resources. This draws on the concept of polycentric governance, as it recognizes that there are many (‘poly’) different places (‘centers’), but that competition and conflicts between users within and between places can be addressed through cross-scale linkages within and between places. Critically, these cross-scale linkages should act purely as channels for cooperation, negotiation and conflict resolution (Carlisle and Gruby, 2019), as a key principle of CPR research is that the state should act solely as a facilitator of such deliberative approaches and that the state should not interfere with or try and control place-based self-governance by imposing decisions on local people that aim to resolve such competition and conflicts.
This CPR rationale is discussed in more detail elsewhere (Jones, 2014; Carlisle and Gruby, 2019; Jones and Long, 2021), where the assumption that competition and conflicts, such as those related to MPAs, can be resolved via cross-scale linkages through passively facilitated deliberative processes is critically questioned, particularly given the relative wide-scale and connectivity of marine ecosystems and the potential for capture by powerful elites (Jones, 2013a; Saunders, 2014). It is clear that there will always be ecological interconnections between places related to wide-ranging fish and other mobile/migratory marine species, currents, etc., and human interconnections between places related to the increasing mobility of users such as wide-ranging fishers and global tourists/operators, and the growing scale/reach of market connections. Also, MPAs often have to address competition and conflicts within sectors, e.g. between small-scale artisanal and large-scale industrial fishers, and between sectors, e.g. biodiversity conservation and commercial fishing. These ‘basic conflicts’ (Jones, 2013a, 2014) tend to be based on different ethical perspectives and value priorities and are therefore challenging to resolve solely through deliberative approaches and the quest for consensus (Miller and Kirk, 1992; Keulartz, 2018). Whilst bottom-up deliberative processes are critically important elements of MPA governance structures and processes, it is questionable whether the need to address competition and conflicts within and between MPAs and sectors therein can rely solely on place-based self-governance based on bottom-up approaches, including conflict resolution mechanisms that are only passively facilitated by the state (Jones, 2014; Jones and Long, 2021).
This paper builds on polycentrism by adopting the concept of coevolutionary governance, i.e. functionally integrated combinations of diverse incentives, representing different governance approaches, that interactively evolve and synergistically function to promote the health of both ecological and social systems, through impact reduction and ecosystem services flow enhancement. Coevolutionary governance recognizes the importance of bottom-up (civil society) approaches but also recognizes that such approaches need to be combined and integrated with top-down (state) approaches, along with market, awareness-raising and collective learning approaches. As such, coevolutionary governance involves steering human behavior through combinations of state, market and civil society approaches in order to achieve strategic objectives, such as networks of effective and equitable MPAs (Jones, 2014; Jones and Long, 2021).
This coevolutionary concept builds on polycentrism, but also recognizes that the roles of states are evolving as society evolves and that there is an increasing diversity of state roles. Whilst the state remains important in strategically coordinating governance at wider scales across places and resolving conflicts within and between places, this role is evolving to include more indirect steer through combined governance approaches as societies become more networked. Polycentrism accepts that where conflicts within and between places cannot be resolved through deliberations via cross-scale linkages, intervention by the state may be required (Rydin and Pennington, 2000). However, because MPAs tend to raise such intractable conflicts, the reality is that such exceptions will become the norm (Jones and Long, 2021). This limits the potential of the concept of polycentrism and the related SES empirical framework, as a governance analysis framework that can be routinely applied to MPAs. Therefore, the coevolutionary governance concept was developed on an empirical basis through research and case studies of MPAs, which indicated that it was rarely feasible for conflicts within and between MPAs to be addressed solely through passive facilitation. It is considered to more reflect the governance realities of MPAs and the conflicts they reveal, e.g. between local and incoming fishers; between artisanal and industrial fishers; between corporate tourism and customary ways of life; and between fishing and biodiversity conservation, that invariably cannot be addressed solely through passively facilitated deliberations, hence the recognition of role of state institutions, amongst others, in MPA governance and conflict management, i.e. coevolutionary governance as a realist institutional analysis concept (Jones and Long, 2021).
The concept of coevolutionary governance is described and discussed in more detail in Jones and Long (2021) as (1) adopting a synecology perspective focused on how different governance approaches can be functionally integrated through diverse interacting incentives to form a governance system, in the same way that diverse species from different trophic groups are functionally integrated to form an ecosystem; (2) combining top-down and bottom-up MPA governance approaches in such a way that they coevolve, along with market, awareness-raising and collective learning approaches, providing for synergies, whereby the strengths of one approach counter the weaknesses of the others; (3) building on the political science concept of multi-level governance (Hooghe and Marks, 2003), MPAs being Type II initiatives embedded in Type I sectoral hierarchies, with horizontal coevolution to provide for cross-sectoral integration and vertical coevolution to provide for the integration of bottom-up institutional learning and top-down negotiated implementation (Figure 2); (4) involving decentralization in the shadow of hierarchy (Héritier and Lehmkuhl, 2008), whereby the state sets the standards, targets, obligations and/or conditions necessary to fulfil strategic societal objectives, e.g. for effective and equitable networks of MPAs, but then decentralizes and embeds the responsibilities to achieve these standards, etc. to local people, with support, oversight and coordination through both direct and indirect state steer; (5) recognizing MPAs as linked social-ecological systems, reciprocal feedback between which, through human impacts on ecosystems and services provided to humans by ecosystems, enables them to coevolve.
Figure 2
From a coevolutionary governance perspective, increasing the diversity of incentives for a given MPA aims to strengthen the governance framework, making it more effective by influencing human behavior to reduce the impacts of human activities (Figure 3) on the biodiversity on which ecosystem services flows depend. This will also lead to the recovery of the diversity and health of the marine ecosystem, as it recovers from the impacts of human uses, enhancing the ecosystem’s resilience. This should also enhance the flow of ecosystem services, e.g. through increased fish catches, including wider spillover/export, increased coastal defense values of recovered habitats such as coral reefs and mangroves, increased attraction for ecotourism. These increased flows of ecosystem services provide feedback from the marine ecosystem that has been restored. They also help promote the wellbeing and resilience of people that rely on an MPA’s ecosystem services, which in turn promotes further acceptance of the benefits of protection and increased potential for support and cooperation. Ensuring that governance provides for justice and equity should further help promote ownership of, support for and cooperation with MPA governance. This can then lead to local people playing a stronger role in initiatives to strengthen or introduce incentives, potentially further increasing effectiveness. Social and ecological systems can thereby build mutual resilience through their increased incentive and biological diversity respectively, as well as through the coevolutionary feedbacks of mitigated impacts of human uses and enhanced flows of ecosystem services (Figure 3), though there may be a time lag of 2–5 years between impact mitigation and these enhanced flows (Jones and Long, 2021).
Figure 3
The coevolutionary governance concept thereby builds on earlier work on coevolutionary feedback between ‘sociosystems’ and ecosystems (Norgaard, 1984) and linked marine social-ecological systems (Berkes and Folke, 1998; Hughes et al., 2005; Cinner et al., 2009, 2011), including the social-ecological systems framework (Ostrom, 1990, 2007, 2009; McGinnis and Ostrom, 2014), in its recognition of synecological interactions within and between social and ecological systems. This concept is also consistent with the sociology concept of structuration, whereby societal institutions (including state structures) and the agency of local people tend to coevolve (Giddens, 1984), as well as being consistent with the recognition by McCay (2002) that though people are influenced by the structures in which they are embedded, they can influence and alter these structures. This recognition of the interactions between local actors and the coordinating hierarchical institutions in which they are embedded can be discussed in terms of embedded negotiations (Scharpf, 1994), including the need for top-down strategic targets and the programmes that implement them to be negotiated through webs of relationships with local actors, in order to adapt them to and integrate them into the local context, rather than being inflexibly imposed e.g. turtle egg harvesting ban in the Philippines (Lejano et al., 2007).
The coevolutionary governance concept and the related recognition of the role of the shadow of hierarchy in decentralization and embedded self-organization also resonates with three related governance concepts and related literatures: meta-governance – focuses on the increasingly important roles of the state in providing the ground rules for and overseeing ‘self-organizing’ partnerships, networks and other governance regimes (Jessop, 1997); interactive governance – arrangements for public and private actors to participatively solve problems or create societal opportunities, including the coordinating institutions within which these governance activities take place (Kooiman, 1999); and hybrid governance – role of different coordination and control mechanisms as ‘rules of the game’ in hybrids/combinations of market and hierarchical governance (Williamson, 1991). The coevolutionary governance thereby represents a progressive reinterpretation of polycentrism that is rooted in wider governance theories/concepts whilst recognizing the evolving roles of the state through ‘decentralization in the shadow of hierarchy’ (Jones and Long, 2021).
The realist institutional analysis concept of coevolutionary governance (Jones and Long, 2021) is applied to the 50 case studies (Figure 1) through the marine protected area governance (MPAG) empirical framework. This represents a multiple case study analysis (rather than a meta-analysis of secondary data), as each of these case studies involved primary data gathering through a combination of ethnographic and policy research methods. The MPAG framework was inspired by Elinor Ostrom’s systematic approach to case study analysis, building on the related concept of polycentrism, but instead this analysis adopts the concept of coevolutionary governance, for the reasons discussed above. Both concepts focus on how governance can be decentralized to given places (MPAs), but where polycentrism focuses on complete decentralization through place-based self-governance, coevolutionary governance focuses on decentralization in the shadow of hierarchy, combining top-down, bottom-up and other governance approaches, with the state continuing to coordinate and directly and indirectly steer governance to resolve conflicts within and between places.
2.2 Data gathering through the MPAG framework empirical case studies
The data used in this study were compiled from 50 case studies (Figure 1; Table 2), each employing the MPAG framework, which is described in full in the Supplementary Material, along with a glossary of terms used in this research and outlined below (Table 3). A detailed account of the framework’s methodology can also be found in Jones (2014) and Jones and Long (2021), whilst more specific methodological details can be found in the cited source for each of the 50 case studies (Table 2), noting that all these case studies included dedicated ethnographic and policy/document analysis research, particularly semi-structured interviews, observations, document/media analyses and policy framework analyses. Interviewees were sought through a variety of approaches, including specific actors identified through document/media analyses and policy framework analyses, but also actors recommended by key actors (gatekeepers) and by other interviewees (snowballing), the overall aim being to seek a typical range of perspectives on various MPA governance matters across a typical range of actors, rather than seeking a statistically, ethnographically or gender representative sample of actors. The ethnographic research was conducted in keeping with University College London research ethics and data protection requirements, and/or parallel requirements of the university with which case study researchers were affiliated.
Table 2
| Case study # & MPA Name | Est. | Marine Area (km2) | Country | GDP per capita (US$) | HDI | State Cap. | Gov. type | IUCN cat. | Incentives | Eff. score | Ref. | |
|---|---|---|---|---|---|---|---|---|---|---|---|---|
| Y (Y*) | N* | |||||||||||
| 1. Great Barrier Reef MP | 1979 | 346,000 | Australia | 48,800 | 0.935 | 1.54 | I | VI | 27 (1) | 0 | 3 | Day and Dobbs (2013) |
| 2. Darwin Mounds EMS | 2003 | 1,500 | UK | 41,400 | 0.909 | 1.42 | I | IV* | 11 (3) | 2 | 3 | De Santo (2013b) |
| 3. North East Kent EMS | 1995 | 22.69 | UK | 41,400 | 0.909 | 1.42 | I | IV* | 24 (5) | 0 | 3 | Roberts and Jones (2013) |
| 4. The Wash EMS | 1996 | 1,078 | UK | 41,400 | 0.909 | 1.42 | I | IV | 20 (3) | 0 | 3 | Jones (2011) |
| 5. The Sanya Coral Reef NMNR | 1990 | 55.68 | China | 3,744 | 0.727 | -0.42 | I | II* | 9 (7) | 8 | 2 | Qiu (2013) |
| 6. Seaflower MPA | 2005 | 65,000 | Columbia | 8,900 | 0.720 | -0.18 | II | V* | 16 (13) | 1 | 1 | Taylor et al. (2013) |
| 7. Galápagos MR | 1998 | 140,000 | Ecuador | 7,500 | 0.732 | -0.53 | II | VI* | 5 (12) | 7 | 2 | Jones (2013b) |
| 8. Karimunjawa MPA | 1986 | 3,900 | Indonesia | 3,900 | 0.684 | -0.18 | I | II | 14 (4) | 4 | 2 | Campbell et al. (2013) |
| 9. Wakatobi NP | 1996 | 13,900 | Indonesia | 505 | 0.684 | -0.18 | II | II | 3 (6) | 11 | 2 | Clifton (2013) |
| 10. Tubbataha Reefs NP | 1988 | 970 | Philippines | 3,300 | 0.668 | -0.35 | II | II* | 25 (5) | 1 | 3 | Dygico et al. (2013) |
| 11. Ha Long Bay Natural WHA | 1962 | 1,533 | Vietnam | 2,800 | 0.666 | -0.34 | II | II* | 13 (2) | 4 | 2 | Hien (2011) |
| 12.Os Miñarzos Marine Reserve of Fisheries Interest | 2007 | 20.74 | Spain | 34,600 | 0.876 | 0.86 | III | VI | 22 (2) | 0 | 3 | Perez de Oliveira (2013) |
| 13. Isla Natividad MPA | 2005 | 7 | Mexico | 10,326 | 0.756 | -0.28 | III | VI | 19 (1) | 1 | 3 | Weisman and McCay (2011) |
| 14. Great South Bay Marine Conservation Area | 2002 2004 | 54 | USA | 48,000 | 0.899 | 1.24 | IV | IV | 11 (2) | 3 | 2 | LoBue and Udelhoven (2013) |
| 15. Chumbe Island Coral Park | 1994 | 0.33 | Tanzania | 955 | 0.521 | -0.41 | IV | II | 24 (0) | 0 | 4 | Nordlund et al. (2013) |
| 16. Baleia Franca EPA | 2000 | 1,561 | Brazil | 11,727 | 0.755 | -0.15 | V | V | 0 (5) | 8 | 1 | Macedo et al. (2013) |
| 17. Pirajubaé Marine Ecological Reserve | 1992 | 14 | Brazil | 10,200 | 0.755 | -0.15 | V | VI | 0 (4) | 8 | 0 | Gerhardinger et al. (2011) |
| 18. Cres-Lošinj Special MR | 2006 | 526 | Croatia | 16,100 | 0.818 | 0.44 | V | IV* | 0 (5) | 8 | 1 | Mackelworth et al. (2013) |
| 19. Velondriake LMMA | 2009 | 680 | Madagascar | 1,000 | 0.51 | -0.69 | III | V | 10 (0) | 10 | 3 | Marziali (2014) |
| 20. Hol Chan MR | 1987 | 53.97 | Belize | 8,800 | 0.709 | -0.26 | I | II | 10 (6) | 8 | 2 | Murray (2021) |
| 21. Caye Caulker MR | 1998 | 39.13 | Belize | 8,800 | 0.709 | -0.26 | I | VI | 5 (4) | 16 | 1 | Murray (2021) |
| 22. Bacalar Chico MR | 1996 | 62.8 | Belize | 8,800 | 0.709 | -0.26 | I | IV | 3 (5) | 11 | 1 | Murray (2021) |
| 23. Fal & Helford EMS | 1996 | 63.6 | UK | 41,400 | 0.909 | 1.42 | I | IV* | 10 (5) | 8 | 2 | Smurthwaite (2014) |
| 24. Sandals Boscobel SFCA | 2010 | 1.07 | Jamaica | 9,000 | 0.719 | 0.18 | II | II* | 8 (8) | 8 | 2 | Tellwright (2014) |
| 25. Orcabessa SFCA | 2010 | 0.961 | Jamaica | 9,000 | 0.719 | 0.18 | II | IV* | 12 (11) | 6 | 3 | Erbs (2014) |
| 26. Bluefields Bay Special SFCA | 2009 | 13.6 | Jamaica | 8,600 | 0.719 | 0.18 | III | IV | 21 (2) | 3 | 3 | Thorpe (2016) |
| 27. Nusa Penida District MCA | 2014 | 20 | Indonesia | 3,603 | 0.694 | -0.18 | II | VI | 10 (11) | 2 | 2 | Yunitawati and Clifton (2021) |
| 28. Port-Cros NP | 1963 | 26 | France | 35,700 | 0.884 | 1.04 | I | II | 14 (4) | 7 | 2 | Hogg et al. (2021a) |
| 29. Tavolara Punta-Coda Cavallo MPA | 1997 | 154 | Italy | 29,600 | 0.872 | 0.49 | I | II | 13 (3) | 6 | 2 | Hogg et al. (2021a) |
| 30. Ustica Island MPA | 1986 | 159 | Italy | 29,600 | 0.872 | 0.49 | I | II | 14 (2) | 5 | 2 | Hogg et al. (2021a) |
| 31. Cabo de Gata-Níjar MPA | 1995 | 120 | Spain | 30,100 | 0.869 | 0.86 | I | V | 6 (5) | 20 | 2 | Hogg et al. (2021b) |
| 32. Cabo de Palos-Islas Hormigas MPA | 1995 | 19.30 | Spain | 30,100 | 0.869 | 0.86 | II | VI | 10 (7) | 13 | 3 | Hogg et al. (2021b) |
| 33. Shark Bay MP | 1990 | 7,487 | Australia | 49,600 | 0.935 | 1.54 | I | II | 20 (6) | 0 | 3 | Jones (2021) |
| 34. Ningaloo MP | 1987 | 2,633 | Australia | 49,600 | 0.935 | 1.54 | I | II | 17 (10) | 0 | 3 | Jones (2021) |
| 35.Lyme Bay MPA | 2008 | 275 | UK | 39,899 | 0.909 | 1.42 | I | IV | 20 (7) | 0 | 3 | Singer and Jones (2021) |
| 36. Ankobohobo LMMA | 2001 | 33.5 | Madagascar | 1,600 | 0.512 | -0.72 | III | VI | 4 (11) | 5 | 1 | Long et al. (2021a) |
| 37. Sainte Luce LMMA | 2013 | 160 | Madagascar | 449.7 | 0.519 | -0.74 | III | VI | 7 (17) | 6 | 1 | Long et al. (2021b) |
| 38. Anhatomirim EPA | 1992 | 47.30 | Brazil | 8,650 | 0.754 | -0.15 | I | V | 20 (10) | 1 | 2 | Macedo and Medeiros (2021) |
| 39. La Chorrera-Manchón Guamuchal Private Reserve | 1998 | 12.40 | Guatemala | 7,947 | 0.640 | -0.61 | IV | V | 9 (5) | 6 | 3 | González-Bernat and Clifton (2021a) |
| 40. Monterrico Multiple Use Area | 1977 | 28 | Guatemala | 7,947 | 0.640 | -0.61 | II | VI | 0 (12) | 13 | 1 | González-Bernat and Clifton (2021a) |
| 41. Punta de Manabique Wildlife Refuge | 1990 | 1,519 | Guatemala | 7,947 | 0.640 | -0.61 | II | IV | 5 (15) | 4 | 2 | González-Bernat and Clifton (2021b) |
| 42. Soufriere Marine Management Area | 1994 | 110 | St Lucia | 12,000 | 0.735 | 0.57 | II | II | 12 (13) | 3 | 2 | Thurlow and Jones (2021) |
| 43. Con Dao NP | 1993 | 150 | Vietnam | 2,343 | 0.683 | -0.34 | II | II | 2 (19) | 4 | 1 | Khuu et al. (2021a) |
| 44. Cu Lao Cham MPA | 2005 | 235 | Vietnam | 2,343 | 0.683 | -0.34 | II | II | 3 (23) | 3 | 2 | Khuu et al. (2021b) |
| 45. Nha Trang Bay MPA | 2001 | 160 | Vietnam | 2,343 | 0.683 | -0.34 | II | II | 2 (19) | 7 | 0 | Khuu et al. (2021b) |
| 46. Curieuse Marine NP | 1979 | 13.70 | Seychelles | 15,390 | 0.782 | 0.32 | I | II | 3 (8) | 10 | 3 | Clifton et al. (2021) |
| 47. Saint Anne Marine NP | 1973 | 14 | Seychelles | 29,300 | 0.797 | 0.32 | I | II | 0 (13) | 9 | 1 | Cockerell and Jones (2021) |
| 48. Isla Lobos de Tierra Reserve | 2009 | 184 | Peru | 6,572 | 0.750 | 0.12 | II | VI | 0 (11) | 14 | 1 | Laínez del Pozo and Jones (2021) |
| 49. Isla Lobos de Afuera Reserve | 2009 | 83 | Peru | 6,572 | 0.750 | 0.12 | II | VI | 0 (12) | 13 | 1 | Laínez del Pozo and Jones (2021) |
| 50. Greenland Halibut Fishery | – | 15,000 | Denmark | 57,804 | 0.940 | 1.69 | I | VI* | 18 (7) | 0 | 2 | Long and Jones (2021) |
| Average effectiveness | 2.02 | |||||||||||
Overview of case studies with contextual information on each case study.
EMS, European Marine Site; EPA, Environmental Protection Area; LMMA, Locally Managed Marine Area; MP, Marine Park; MR, Marine Reserve; NMNR, National Marine Nature Reserve; NP, National Park; SFCA, Special Fisheries Conservation Area; WHA, World Heritage Area; Est., year established; GDP, Gross Domestic Product ($); HDI, Human Development Index; IUCN cat., IUCN protected area category (asterisked values were assigned by authors due to a lack of formal categorization); Y, incentives employed; Y*, incentives employed but particularly important priorities for strengthening; N*, incentives not used but particularly important priorities for introduction. See Methods section 2.2 for related details, including explanations of state capacity (−2.5 to +2.5) and governance type (I state-led; II decentralized; III community-led; IV private).
Table 3
| Elements | Description |
|---|---|
| Context | This section provides an overview of national and local contexts in which the assessed MPA is embedded. This includes metrics (per capita GDP and growth rate, human development index (HDI), state capacity, etc.) |
| Objectives | MPAs often have explicit objectives that are stated in a policy and/or legal document, or informally outlined. MPA objectives are categorized into (i) conservation objectives (conserving habitats, species, ecosystems, etc.) and (ii) operational objectives (raising awareness, promoting participation, etc.) |
| Drivers and Conflicts | The achievement of MPA conservation objectives is often undermined by the impacts of diverse human activities (fishing, tourism/recreation, oil-gas extraction, etc.). This section focuses on these human activities to identify specific behaviors that need to be managed or addressed to mitigate their impacts. |
| Governance framework/approach | This section describes the main approach by which the MPA is governed. In most cases, the governance framework/approach of an MPA is outlined by the legal, policy and participative governance structure and assignation to one of four MPA governance approach categories: i) state-governed; ii) decentralized to local institutions with state oversight; iii) governed by local communities; iv) governed by private sector entities and/or NGOs. |
| Effectiveness | Effectiveness is assessed on a scale of zero (no impacts mitigated) to five (all impacts mitigated), which represents the degree to which the impacts of different sectoral uses, related to basic conflicts that can undermine the fulfilment of conservation objectives, have been effectively reduced/mitigated. |
| Incentives | Incentive analysis helps deconstruct governance approaches through a taxonomy of 36 incentives from five categories (legal, economic, communication, knowledge and participation) (Table 1) to assess which incentives are used and which are particularly important priorities for strengthening or introducing. Incentive analysis also includes describing how different incentives support and reinforce each other in a coevolutionary manner to promote a functionally integrated ‘web’ of incentives. |
| Cross-cutting issues | This section aims to thematically discuss some key issues in governance and how they are represented in a given case study. These issues often include: i) equity issues; ii) roles of NGOs; iii) Roles of political will; iv) Roles of leadership. |
Summary of key elements of the MPAG analytical framework (Jones, 2014; Jones and Long, 2021); see Supplementary Material for a full description, including the data sources.
To date 51 MPA case studies have been assessed using the MPAG framework, including the emerging high-seas MPA policy framework (Hammond and Jones, 2021), but this was excluded from this analysis as it was more widely focused on an emerging international policy framework rather than on a specific MPA. One of the case studies, #50 Greenland Halibut Fishery (Long and Jones, 2021), represents a fishery that includes sustainable fishing and biodiversity conservation objectives and has a formally defined area, so it is analyzed as a de facto MPA. The authors of each case study (see Table 2 citations for case study authors and source papers for affiliations) were MSc students, PhD students, research academics, NGO researchers and/or MPA managers, and were advised on their case study analysis (outline in Table 3) by the first author of this paper as participants in the MPAG research project. Case studies #1 - #18 were undertaken through a workshop held in Croatia in 2009, supported by funding from the UN Environment Programme, 14 of which were published as papers in a special issue of Marine Policy (Jones et al., 2013). A further 27 of these case studies were published as papers in a more recent special section of Marine Policy (Jones and Long, 2021). Nine of the case studies, along with another 25 also previously published as MPAG papers, were included in MPA governance guidance published and funded by UN Environment (2019) and the case study summaries are available in the compendium linked to this guidance.
The 50 MPAG case studies were gained through a variety of means. Whilst some MPA case studies were specifically sought, as they were known to be of particular governance interest, most case studies were selected by their authors based on various factors and were either put forward in response to calls for MPAG case studies through various MPA research/practitioner networks, or identified through discussions with potentially interested researchers, including post-graduate research students. As such, the 50 case studies were more opportunistically gained and are not aimed at providing a geographically representative sample, recognizing that whilst they are drawn from 24 countries, some countries and regions are under-represented.
Socio-economic and political data for each case study were collected as contextual, explanatory information for the MPAG analysis. This included the date of MPA establishment, MPA area, country of origin, per capita Gross Domestic Product (GDP), Human Development Index (HDI), IUCN protected area category, and MPAG effectiveness score. We also included state capacity, which is the mean of scores (−2.5 to +2.5) for six dimensions of governance (voice and accountability; political stability and absence of violence; government effectiveness; regulatory quality; rule of law; control of corruption), calculated annually using an established methodology (Kraay et al., 2011; Kaufmann and Kraay, 2023). Each case study was also assigned to one of four broad governance types – I state-led; II decentralized; III community-led; IV private (Supplementary Table 2) – using a broad classification scheme that is similar to the protected area governance types employed by the IUCN (Borrini-Feyerabend et al., 2013). Most of this information was readily available for each case study, with missing data supplemented by additional research. Some of the MPAs did not have a formal IUCN protected area category assigned, so these were assigned by the authors based on the IUCN scheme and the goals for that MPA.
It is important to note that the MPAG analysis framework defines incentives broadly as “particular types of institution that are instrumentally designed in relation to an MPA to encourage actors to choose to behave in a manner that provides for certain strategic policy outcomes, particularly conservation objectives, to be achieved” (Jones, 2014; Jones and Long, 2021), rather than considering incentives in a narrow economics sense. This broad definition of incentives draws on Ostrom’s concept of incentive structures (Ostrom, 1990; Jones and Burgess, 2005), based, in turn, on Ostrom’s broad definition of institutions: “prescriptions that humans use to organize all forms of repetitive and structured interactions, including those within and between families, neighborhoods, markets, firms, sports leagues, churches, private associations and governments at all scales (adapted from Ostrom, 2005, p.3). A summary of the MPAG incentives and their related governance approaches are included above (Table 1), and each of these 36 incentives is more fully defined in the Supplementary Material. Incentives are identified as used in a given case study (Y), used but a particularly important priority for strengthening (Y*), or not used but a particularly important priority for introducing (N*). Incentives that were not discussed as being used or particularly needed in a given case study, indicated as blank (white) cells in Figure 4, are not listed in the paper or report of that case study.
Figure 4
These analyses of the incentives are based on the ethnographic research findings, particularly the perspectives of different interviewees as actors involved in the governance of a given MPA, and the findings of the document and policy framework analysis relating to a given MPA case study. It is not assumed that the governance type that an MPA is assigned to will confine the incentives used or needed in that MPA to a specific governance incentive category, i.e. an MPA assigned as community-based (MPA governance type III) will still be assumed to potentially need a diversity of incentives from all five categories, representing a combination of governance approaches, including top-down legal incentives, rather than just needing bottom-up participative incentives, the incentives analysis mainly drawing on the findings of the ethnographic analyses, based on interviews with MPA actors, and on the document/policy analyses.
2.3 Data analysis
2.3.1 Rationale for the analysis
The analysis attempted to answer questions on which factors (incentives or contextual attributes) appear to cause some MPAs to be more effective than others, and which factors were weak or missing from governance strategies of less effective MPAs and used in more effective MPAs. As such, exploratory data analysis was conducted on the rates at which different incentives were used (Y), or considered particularly important priorities for strengthening (Y*) or introducing (N*) (section 3.3); these rates were also visualized with respect to effectiveness scores, to try to understand any patterns occurring (Figure 4). We also examined if the number of incentives used per MPA correlates with the effectiveness of the MPAs (section 3.2) and if particular incentives or groups of incentives were strongly associated with more effective MPAs (section 3.3). Sections 3.2 and 3.4 essentially use the effectiveness score as a dependent variable in quantitative analysis and attempt to predict the effectiveness using the number of employed incentives, or to identify the importance of different incentives in trying to predict the effectiveness score.
2.3.2 Visualization and frequency analysis
In order to explore hypothesis (1) that effective governance frameworks for MPAs rely on various combinations of diverse incentives, the implementation of incentives across all 50 case studies was visualized with a matrix. Each square in the matrix represents how the incentives were implemented in each case study, i.e. used (Y); used but particularly important priority for strengthening (Y*); not used but particularly important priority for introducing (N*). The case studies were organized in order of their effectiveness scores, from the highest (effectiveness of 4 out of a maximum of 5) to the lowest (effectiveness of 0). This was done to visualize any trends and patterns in the relationship between the effectiveness score and incentives used and needed. The matrix was made in R version 4.1.0 using the package ggplot2 (Wickham, 2016; R Core Team, 2021).
Frequency analyses were conducted to identify implementation patterns across different incentives and their related governance categories. To do this, the total number of times each incentive was cited as either used (Y+Y*) or needed (N*), across each case study, was calculated. The results of these analyses were then visualized using the R package ggplot2 (Wickham, 2016), showing incentives with highest frequency first, and color coding incentives into the broad categories illustrated in Table 1.
2.3.3 Correlation analysis
In order to explore hypothesis (2) that effective MPAs will tend to employ a higher diversity of governance incentives, the correlation between incentive diversity and effectiveness in reducing impacts to better achieve conservation objectives was analyzed. For each MPA the number of incentives used was totaled. Where an incentive was considered a particularly important priority for strengthening, it was assigned a value of 0.5, compared to a value of 1 if it was considered to be employed strongly enough. A Spearman Rank correlation (due to the effectiveness score being an ordinal variable) was used to test the relationship between effectiveness of the MPA and the total number of incentives used. Plots were made in R (R Core Team, 2021) using the ggplot2 library (Wickham, 2016) and the confidence intervals produced using the geom_smooth function, with method = lm. For each effectiveness score with more than one value (excluding effectiveness = 4, n=1, effectiveness = 5, n=0) median effectiveness was calculated and plotted on the figure using a red triangle.
2.3.4 Genetic algorithm analysis
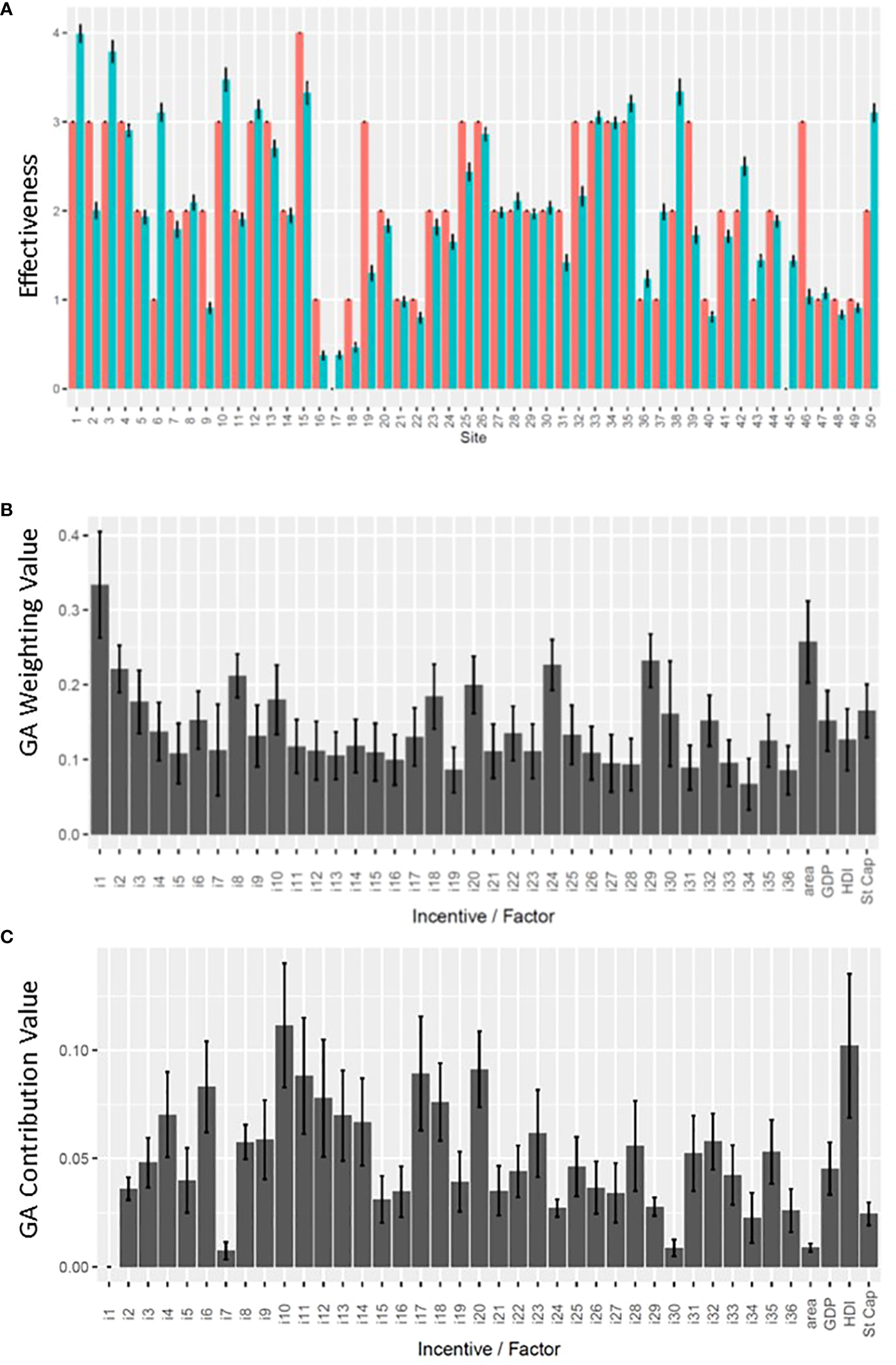
To further explore hypothesis (2), a genetic algorithm (GA) optimization technique was used to establish the importance of different incentive and contextual variables (MPA area, per capita GDP, HDI and State Capacity) in predicting the effectiveness of each MPA. Firstly, MPA area, GDP, HDI and State Capacity were normalized (all values divided by maximum value) so that their values ranged between 0 and 1, in order to match the range of values of the other incentive scores (0 – incentive not used, 0.5 – incentive used but needs strengthening, 1 – incentive used). The GA then was used to determine optimal coefficients for each incentive, so that the total score from summing all coefficient*incentive products could best predict the actual effectiveness score for the MPAs (following the same optimization process as Stafford and Rind, 2007). The ‘fitness’ score for each generation of the GA was calculated as the sum of the magnitude of the difference between the predicted effectiveness and the actual effectiveness of each MPA. The goal, therefore, of the GA was to minimize this fitness score, hence potentially providing one solution to an effective potential combination of incentives to use across all 50 MPAs.
The GA used was from the R package ‘GA’ (Scrucca, 2013; 2017). After each generation of the GA, new generations were created using linear rank selection, the different solutions being ordered in terms of fitness, with the fitter individual reproducing (i.e. providing solutions to the next generation) a greater number of times than the less fit individuals. Selection and variation between parents and offspring are provided through default mutation and crossover functions within the GA package. Each run of the GA had a population size of 100, with all coefficients limited to values between 0 and 1. Each run was repeated for 300 generations or until no change in fitness had occurred over 30 generations, whichever occurred first. An initial suggested solution of each coefficient being equal to 0.2 was provided, which was in most cases the solution with optimal fitness in early generations of each GA replicate. Runs of the GA where the fitness value did not change from the initial solution provided were excluded from the subsequent analysis (occurring in about 10% of replicate runs). The GA optimization process was replicated until 100 different solutions were found (excluding runs where no change in fitness was found). In total, this took around 10 days of computing time on a typical laptop PC.
The GA is a computational alternative to some other parameterization approaches, for example, at the simplest level, to multiple regression. As a computational approach, however, there are no data assumptions which need to be met, such as normality. The GA is also a stochastic method, meaning different solutions may be found to the same problem, and the trajectory to finding solutions may also differ. As such, the replication of the GA over 100 runs will produce different results each time, allowing for exploration of multiple solutions, which could involve very different weightings for different sets of parameters. Hence, multiple solutions could be found for which incentives to include in effective MPA governance.
Data presented include the coefficient values (mean and SD) from 100 replicate trials for each incentive (shown as incentive weightings in the results), as well as the contribution of each incentive, defined as the weighting value multiplied by the number of times the incentive is used across all MPA case studies (with incentives needing strengthening weighted as 0.5). Hence the contribution explains the importance of the incentive across all MPAs whereas the weighting explains the importance of the incentive for each MPA which employs that incentive.
3 Results/discussions
3.1 Overview of the 50 case studies
The 50 case studies were spread across 24 countries (Figure 1) and embodied a wide range of attributes, including MPA size and country level socio-economic characteristics (Table 2). MPAs with diverse governance types and IUCN categories (Dudley, 2008) were included in the study, although none were identified as a category Ia (strict nature reserve) or Ib (wilderness area), indicating a prevalence of MPAs substantially modified by human activity that aim to enable sustainable use, rather than complete no-take exclusion of extractive methods. However, none of the case study MPAs were assigned an MPAG effectiveness score higher than a 4, i.e. most impacts addressed but some not completely, and only one case study (#15 Chumbe: the smallest of the MPAs in the sample) was assigned this score, the mean effectiveness score across all 50 MPAs being only 2.02, i.e. some impacts partly addressed but some impacts not yet addressed (Table 3), a finding which evidences concerns about the ineffectiveness of many MPAs (Jones, 2014; Pieraccini et al., 2016; Agardy, 2018; Bergseth and Day, 2023; Relano and Pauly, 2023).
3.2 Correlation between effectiveness and number of governance incentives used
The incentives matrix (Figure 4) visualizes the patterns between incentives used or needed and the level of effectiveness across all 50 case studies, the least effective case studies being lower in the matrix and the more effective case studies being higher. This matrix illustrates that a larger proportion of the incentives in less effective MPAs tend to need strengthening (Y*) or introducing (N*) to more effectively reduce impacts, hence their lower position in the matrix; whilst a larger proportion of the incentives in more effective MPAs tend to be used strongly enough to effectively reduce impacts (Y), hence their higher position in the matrix.
This relationship is explored in more detail through the correlation analysis, the line of best fit (Figure 5) indicating a statistically significant correlation between the number of incentives used and effectiveness. This reinforces the trend indicated by the incentives matrix that MPAs with a higher number of incentives tend to be more effective, i.e. MPAs with higher effectiveness scores tend to employ more incentives than those with lower scores (Spearman Rank Correlation: N = 50; Rho = 0.714; p < 0.001; Figure 5). However, the median number of incentives was below the 95% confidence interval for effectiveness score 1 (low effectiveness), and above the confidence interval for effectiveness 3 (high effectiveness), indicating that typically a disproportionately high number of incentives are used to create a high effectiveness score. Furthermore, MPAs with an effectiveness score of 3 or above tended to cite the use of a higher number of incentives, whereas the MPAs with rating of 1 or less tended to cite the need to introduce or strengthen incentives (Figure 4).
Figure 5
3.3 Incentives used and needed
Overall, the MPAs used between 12 and 28 incentives, with a mean of 18 incentives used (Y+Y*), and needed between 0 and 20 incentives, with a mean of 5.7 incentives needed (N*), making a mean total of 23.7 incentives used or needed (Table 4). This provides a useful indication that a total of ~24 incentives might be appropriate for a typical MPA. Of the incentives used, Table 4 shows that 370 (41%) of the 900 total incentive usages particularly needed strengthening (Y*). This, coupled with the mean needed (N*) rate of 5.7 incentives that were considered to be particularly important priorities for introducing to further strengthen the governance framework and thereby better reduce impacts, indicates why the mean effectiveness score across all 50 MPAs was only 2.02/5, given that 41% of the incentive usages were considered too weak (Y*) and a further ~6 incentives were considered to be particularly in need of introducing (N*).
Table 4
| Usage | Calculation | Incentives | |||||
|---|---|---|---|---|---|---|---|
| Eco. | Com. | Kno. | Leg. | Par. | All | ||
| Used rate | Y | 109 | 82 | 47 | 149 | 143 | 530 |
| Used needs strengthening | Y* | 108 | 45 | 24 | 113 | 81 | 370 |
| Total used | =Y+Y* | 217 | 127 | 71 | 262 | 224 | 900 |
| Mean used | =(Y+Y*)/50 | 4.3 | 2.5 | 1.4 | 5.2 | 4.5 | 18.0 |
| Used rate | =mean/no in category X 100 | 43% | 85% | 47% | 52% | 45% | 50% |
| Needed | N* | 69 | 13 | 27 | 101 | 77 | 287 |
| Mean needed | =N*/50 | 1.4 | 0.3 | 0.5 | 2.0 | 1.5 | 5.7 |
| Needed rate | =mean/no in category X 100 | 14% | 9% | 18% | 20% | 15% | 16% |
| Used or needed | =Y+Y*+N* | 286 | 140 | 98 | 363 | 301 | 1187 |
| Mean used or needed | =(Y+Y*+*N)/50 | 5.7 | 2.8 | 2.0 | 7.3 | 6.0 | 23.7 |
| Used or needed rate | =mean/no in category X 100 | 57% | 93% | 65% | 73% | 60% | 66% |
Summary of incentive usage across the 50 case studies, from a potential 36 incentives from five categories: Economic (Eco.), Communication (Com.), Knowledge (Kno.), Legal (Leg.) and Participation (Par.).
The total numbers of incentives used (Y+Y*), needed (N*) and used or needed (Y+Y*+N*) in each category are detailed, along with the mean per case study and a rate. The rates are a measure of the rate at which the incentives in each category are used, needed or used or needed. E.g., a 0% used rate would indicate that no incentives in that category were used in any case study, whilst a 100% used rate would indicate that all incentives in that category were used in all 50 case studies.
The analysis of specific incentives across the 50 MPAs showed that some incentives were used or needed (Y+Y*+N*) in all or almost all case studies, whereas some were not frequently cited as used or needed (Figure 6A). The top five incentives most frequently cited as used or needed spanned the five incentive categories: i18 Capacity for enforcement (legal – all 50 case studies), i11 Raising awareness (communication – all 50), i28 Establishing collaborative platforms (participation: 49), i4 Promoting profitable and sustainable fisheries and tourism (economic: 48) and i14 Promoting collective learning (knowledge: 48). This spread of the five incentives most frequently cited as used or needed from each of the five categories of incentives supports the argument that a diversity of MPA governance approaches is commonly applied across these 50 case studies.
Figure 6
Disaggregating the incentives into used (Y+Y*, Figure 6B) and needed (N*, Figure 6C) indicates a different trend, three of the five incentives most frequently used being the three communication incentives (i11 Raising awareness: 47 case studies; i13 Promoting recognition of regulations and restrictions: 41; i12 Promoting recognition of benefits: 40), along with a legal (i17 Hierarchical obligations: 40) and economic (i10 Provision of NGO, private sector and user fee funding: 39) incentive. This makes practical sense as communication incentives are invariably necessary, awareness being fundamental to supporting participation, cooperation and compliance, as well as being relatively straight-forward to implement (Jones and Long, 2021), though the inclusion of a legal and economic incentive in the top five most frequently used incentives again supports the governance diversity argument.
Of those incentives not used but particularly needed to strengthen the governance framework (N*, Figure 6C), four of the most frequently cited six are legal incentives (i26 Transparency, accountability and fairness: 17; i22 Cross-jurisdictional coordination: 13; i20 Protection from incoming users: 13; i18 Capacity for enforcement: 13), whilst two are participative (i34 Building linkages between relevant authorities and user representatives: 16; i33 Building trust and the capacity for cooperation: 15). This indicates that legal incentives dominate those most frequently cited as needed, but also illustrates how the most frequently needed incentives combine top-down (legal incentives) and bottom-up (participative incentives), two of these legal incentives (i26 and i20) supporting and potentially being functionally integrated with bottom-up approaches.
Some incentives were found to be used or needed in very few case studies (Figure 6A), with the least frequently cited five incentives being i1 Payments for ecosystem services (economic: 2); i7 Providing compensation (economic: 7); i30. Independent arbitration panels (participation: 9); i24. Clarity concerning jurisdictional limitations (legal: 14) and i29. Neutral facilitation (participation: 15). Whilst there is considerable interest in the potential for payments for marine ecosystem services, particularly ‘blue carbon’ payments for mangroves (Locatelli et al., 2014) as the marine equivalent of Reduced Emissions for Deforestation and Degradation (REDD+) payments, it is striking that none of the 50 MPAG case studies cited this as used and that only two cited it as particularly needed, as blue carbon payments for marine ecosystem services are at a relatively early stage of development and implementation.
Table 4 also reports the average usage and needed rates for each category of incentives, which indicate that whilst communication incentives had the highest average usage rate (85%) and lowest average needed rate (9%), legal incentives had the highest average needed rate (20%), as well as the second highest usage rate (52%), again illustrating that communication incentives are most widely used as they are ubiquitously required and relatively readily implemented, whilst legal incentives are most frequently prioritized as needed to strengthen and reinforce the incentive frameworks. The aggregated average used or needed rates show a similar trend along with a relatively even spread across the five categories of incentives: communication 93%; legal 73%; knowledge 65%; participative 60% and economic 57%, again illustrating how a diversity of incentives from different categories tend to be functionally integrated to combine governance approaches (Jones and Long, 2021).
From an applied MPA perspective, the incentives more frequently cited as used or needed, higher in the bar chart (Figure 6A), could be considered as the basic building blocks for the development or strengthening of a given MPA’s governance incentive framework, whilst the incentives that were found to be used or needed in very few case studies, lower in the bar chart (Figure 6A), could be considered as options less likely to be relevant to a given MPA. However, MPAs are complex social-ecological systems and each MPA has to be considered individually as a unique governance context, for which there are no templates for incentive frameworks that are universally applicable. Some incentives more frequently cited as used or needed could be less relevant to a given MPA, whilst some found to be used or needed in very few case studies could be highly important for a given MPA, so there is no template or ‘best practice’ combination of governance incentives that represents a universal solution to the challenges of achieving effective and equitable MPAs. Instead, the incentives taxonomy can be applied as a menu of options to be considered for the development or strengthening of a given MPA’s governance incentive framework, with the focus on an appropriate diversity of functionally integrated incentives across the five categories for that particular MPA, given its particular context and challenges, those higher in Figure 6A being more likely to be appropriate and those lower being less likely to be appropriate, but it is not feasible to be deterministic and prescriptive in identifying ‘best practice’ governance approaches and templates for frameworks of incentives given the uniqueness of each MPA as a complex social-ecological system.
3.4 Genetic algorithm analysis
The genetic algorithm optimization process predicted the effectiveness scores of each MPA from the incentives used and contextual variables with reasonable accuracy. However, case study #6 (Seaflower MPA) had a predicted effectiveness score that was notably higher than its allocated score, whilst case studies #19 (Velondriake LMMA) and #46 (Curieuse Marine NP) had predicted effectiveness scores lower than allocated (Figure 7A). Incentive weighting (Figure 7B) and contribution (Figure 7C) show high levels of variation between replicate runs of the genetic algorithm optimization process, especially for those values with the largest mean contribution scores (as indicated by the large SD values). This means different combinations of incentives were used by the genetic algorithm on different replicate runs with varying levels of contribution to best match predicted and actual effectiveness scores (see Supplementary Figure SM1), indicating an apparent mathematical redundancy of incentives in more effective MPAs. It should be noted that the weighting value for i1. Payment for ecosystem services, is the highest of all weightings, yet the contribution of this incentive is zero. However, the weighting value for this incentive is uninformative as it randomly varies from an assigned initial value. It is not refined in the genetic algorithm model as the incentive does not apply in any case studies, therefore the high value should not be considered a sign of the importance of this incentive.
Figure 7
The disproportionately larger number of incentives employed in more effective MPAs, along with the large degree of variability in weighting and contribution of different incentives in different runs of the genetic algorithm analysis, implies a mathematical redundancy of incentives in predicting effectiveness. The term ‘redundancy’ does not mean these incentives are not important, rather it creates an analogy akin to the apparent ecological redundance of species within biodiverse and resilient ecosystems (Folke et al., 2004; Biggs et al., 2020), where biodiverse ecological communities may be able to lose some species without major changes to ecosystem functions and processes (Oliver et al., 2015). ‘Redundancy’ and resilience are associated with increasing complexity within systems (including ecosystems and social systems), and the coevolutionary governance concept recognizes the potential for inter-system complexity and thereby resilience to be developed. Jones and Long (2021) suggest coevolutionary governance is akin to synecology, where diverse and interacting incentives form a governance system. This can be pursued through a functionally integrated combination of diverse incentives that coevolve over time, so that the strengths of one governance approach counter the weaknesses of the others. Our results support this coevolutionary perspective, whereby essentially the effectiveness of well-performing MPAs is determined by emergent (or coevolving) governance frameworks, made up of complex interactions of diverse incentives, rather than effectiveness being due to the presence of a specific ‘magic wand’ incentive or small group of ‘best practice’ incentives alone. Indeed, ‘redundancy’ of incentives and resilience of a governance framework will be vital for effective MPAs, where a breakdown in the coevolutionary social-ecological system may lead to behavioral changes and related impacts (Figure 3), which may take many years to repair and recover from.
3.5 Equity and MPA governance
Equity issues are discussed in a specific section of each of the 50 MPAG case study reports, as well as being recurring themes across the MPAG analyses. Four of the six incentives most frequently cited as needed (N*, Figure 6C) are particularly important in promoting equity: i26 Transparency, accountability and fairness; i34 Building linkages between relevant authorities and user representatives; i33 Building trust and the capacity for cooperation; i20 Protection from incoming users. These highlight the recurring need for improved equity in these 50 case studies, whilst the fact that two of these incentives are legal (i26 & i20) and two are participative (i33 & i34) indicates that a combination of top-down (legal) and bottom-up (participative) incentives is as important in promoting equity as it is in promoting effectiveness. This is consistent with the recognition that inequities can arise both from MPAs that are too top-down, through the risks of imposition, and too bottom-up, through the risks of localism (Jones, 2014; Jones and Long, 2021).
For example, in the community-based Isla Natividad MPA (#13), management responsibilities were decentralized to a local fishing cooperative through a functionally integrated combination of diverse incentives across the five categories, particularly i2, i3, i4, i8, i12, i14, i20, i21, i26, i28, i31 and i32 (Figure 4; Table 1). However, only cooperative members were allowed to exploit the MPA’s fisheries, creating equity concerns that this represented a hierarchical structure based on local entitlements, with non-members of the local community being marginalized from decisions and benefits, promoting diversified and supplementary and supplementary livelihoods (i6) being a priority for introduction and reducing the leakage of benefits (i3) to incoming poachers being a priority for strengthening to help address this equity issue (Weisman and McCay, 2011; Jones, 2014). These priorities to address this equity issue are both economic incentives but the need for them to be functionally integrated with a combination of diverse incentives across the five categories again illustrates the need for incentive diversity, including to promote equity.
4 Synthesis and conclusions
This quantitative analysis of 50 case studies of MPA governance and effectiveness supports the hypotheses set. In particular, (a) we find a strong correlation between the number of incentives employed and the effectiveness score of the MPA, with a disproportionate number of incentives employed in the most effective MPAs in our study. We also show that (b) some incentives (from all categories of legal, economic, communication, knowledge and participatory) are frequently identified as employed or needed, (c) yet we can predict the effectiveness score of the MPA with reasonable accuracy from many different and diverse combinations of incentives. This indicates that there is no ‘magic wand’ incentive or ‘best practice’ combination of incentives that must always be employed, and more effective MPAs, with disproportionate numbers of incentives may show greater resilience, due to greater complexity of interactions between various functionally integrated combinations of diverse incentives.
As nation states strive to achieve the CBD target to effectively and equitably protect 30% of the global sea area by 2030, these findings show that a functionally integrated diversity of incentives provides for a combination of MPA governance approaches. MPAs are complex social-ecological systems, each designation essentially being unique, so there is no template or ‘one size fits all’ governance approach or ‘best practice’ governance incentives framework that represents a solution to the challenges of achieving effective and equitable MPAs. Rather than seeking broad governance attributes or specific governance approaches and incentive frameworks that appear to be ‘best practice’ or are considered to be ‘right’, these findings indicate that social and ecological systems should be considered as coevolving, both within and between the two systems, recognizing “that diversity is the key to resilience, both of species in ecosystems and incentives in governance systems” (Jones, 2014). At a more applied level, these 50 empirical MPA case studies, particularly the detailed findings of each in the source documents listed in Table 2, illustrate the complex realities of the various ways in which different coevolving incentives can be functionally integrated to promote resilience through diversity.
Statements
Data availability statement
The original contributions presented in the study are included in the article/Supplementary Material. Further inquiries can be directed to the corresponding author.
Ethics statement
Ethical approval was not required for the studies involving humans because the study analysed retrospectively collected data from studies which had ethical approval.
Author contributions
PJ: Conceptualization, Data curation, Formal Analysis, Funding acquisition, Investigation, Methodology, Project administration, Resources, Supervision, Validation, Visualization, Writing – original draft, Writing – review & editing. RS: Data curation, Formal Analysis, Methodology, Software, Supervision, Visualization, Writing – original draft, Writing – review & editing. IH: Data curation, Formal Analysis, Investigation, Software, Visualization, Writing – review & editing. DK: Formal Analysis, Investigation, Project administration, Writing – review & editing.
Funding
The author(s) declare financial support was received for the research, authorship, and/or publication of this article. We are grateful to the United Nations Environment Programme for funding and supporting some elements of this research and to Blue World Institute, Croatia for providing funding and organizational support for the first MPAG workshop in 2009.
Acknowledgments
We particularly thank all the MPA Governance case study authors, contributors and participants. We are also grateful to previous key contributors to the MPAG project over the years since 2009, particularly Wanfei Qiu, Elizabeth De Santo, Julian Clifton, Ruth Murray and Stephen Long.
Conflict of interest
The authors declare that the research was conducted in the absence of any commercial or financial relationships that could be construed as a potential conflict of interest.
Publisher’s note
All claims expressed in this article are solely those of the authors and do not necessarily represent those of their affiliated organizations, or those of the publisher, the editors and the reviewers. Any product that may be evaluated in this article, or claim that may be made by its manufacturer, is not guaranteed or endorsed by the publisher.
Supplementary material
The Supplementary Material for this article can be found online at: https://www.frontiersin.org/articles/10.3389/fmars.2024.1412654/full#supplementary-material
References
1
AgardyT. (2018). Justified ambivalence about MPA effectiveness. ICES J. Mar. Sci.75, 1183–1185. doi: 10.1093/icesjms/fsx083
2
Andradi-BrownD. A.VeverkaL.CraneN. L.FoxH. E.GillD.GoetzeJ.et al. (2023). Diversity in marine protected area regulations: Protection approaches for locally appropriate marine management. Front. Mar. Sci.10. doi: 10.3389/fmars.2023.1099579
3
BanN. C.DaviesT. E.AguileraS. E.BrooksC.CoxM.EpsteinG.et al. (2017). Social and ecological effectiveness of large marine protected areas. Global Environ. Change43, 82–91. doi: 10.1016/j.gloenvcha.2017.01.003
4
BennettN. J. (2018). Navigating a just and inclusive path towards sustainable oceans. Mar. Policy97, 139–146. doi: 10.1016/j.marpol.2018.06.001
5
BennettN. J.Di FrancoA.CalòA.NetheryE.NiccoliniF.MilazzoM.et al. (2019). Local support for conservation is associated with perceptions of good governance, social impacts, and ecological effectiveness. Conserv. Lett.12, e12640. doi: 10.1111/conl.12640
6
BennettN. J.SatterfieldT. (2018). Environmental governance: A practical framework to guide design, evaluation, and analysis. Conserv. Lett.11, e12600. doi: 10.1111/conl.12600
7
BergsethB.DayJ. C. (2023). Compliance – The ‘Achilles heel’ of protected areas. Mar. Policy155, 105728. doi: 10.1016/j.marpol.2023.105728
8
BerkesF.FolkeC. (1998). Linking Social and Ecological Systems: Management Practices and Social Mechanisms for Building Resilience (Cambridge, UK: Cambridge University Press).
9
BiggsC. R.YeagerL. A.BolserD. G.BonsellC.DichieraA. M.HouZ.et al. (2020). Does functional redundancy affect ecological stability and resilience? A review and meta-analysis. Ecosphere11, e03184. doi: 10.1002/ecs2.3184
10
Borrini-FeyerabendG.DudleyN.JaegerT.LassenB.NeemaP.PhillipsA.et al. (2013)Governance of protected areas: from understanding to action. In: Best Practice Protected Area Guidelines Series No.20 (Gland, Switzerland: IUCN). Available online at: https://portals.iucn.org/library/sites/library/files/documents/PAG-020.pdf (Accessed 17 August 2023).
11
CampbellS.KartawijayaT.YuliantoI.PrasetiaR.CliftonJ. (2013). Co-management approaches and incentives improve management effectiveness in the Karimunjawa National Park, Indonesia. Mar. Policy41, 72–79. doi: 10.1016/j.marpol.2012.12.022
12
CarlisleK.GrubyR. L. (2019). Polycentric systems of governance: A theoretical model for the commons. Policy Stud. J.47, 927–952. doi: 10.1111/psj.12212
13
CBD (2018) Decision adopted by the Conference of the Parties to the Convention On Biological Diversity (Egypt). Available online at: https://www.cbd.int/doc/decisions/cop-14/cop-14-dec-08-en.pdf (Accessed 11 January 2024).
14
CBD (2022) Kunming-Montreal Global biodiversity framework. (Secretariat of the Convention on Biological Diversity). Available online at: https://www.cbd.int/gbf/ (Accessed 6 July 2023).
15
CBD-GBO5 (2020)Secretariat of the Convention on Biological Diversity. In: Global Biodiversity Outlook 5 (Montreal, Canada). Available online at: https://www.cbd.int/gbo5 (Accessed August 15, 2023).
16
CinnerJ. E.FolkeC.DawT.HicksC. C. (2011). Responding to change: using scenarios to understand how socioeconomic factors may influence amplifying or dampening exploitation feedbacks among Tanzanian fishers. Global Environ. Change21, 7–12. doi: 10.1016/j.gloenvcha.2010.09.001
17
CinnerJ. E.HucheryC.MacNeilM. A.GrahamN. A.McClanahanT. R.MainaJ.et al. (2016). Bright spots among the world’s coral reefs. Nature535, 416–419. doi: 10.1038/nature18607
18
CinnerJ. E.McClanahanT. R.DawT. M.GrahamN. A.MainaJ.WilsonS. K.et al. (2009). Linking social and ecological systems to sustain coral reef fisheries. Curr. Biol.19, 206–212. doi: 10.1016/j.cub.2008.11.055
19
ClaudetJ.LoiseauC.PebayleA. (2021). Critical gaps in the protection of the second largest exclusive economic zone in the world. Mar. Policy124, 104379. doi: 10.1016/j.marpol.2020.104379
20
CliftonJ. (2013). Refocusing conservation through a cultural lens: Improving governance in the Wakatobi National Park, Indonesia. Mar. Policy41, 80–86. doi: 10.1016/j.marpol.2012.12.015
21
CliftonJ.OsmanE.SuggettD.SmithD. (2021). Resolving conservation and development tensions in a small island state: A governance analysis of Curieuse Marine National Park, Seychelles. Mar. Policy127, 103617. doi: 10.1016/j.marpol.2019.103617
22
CockerellL. M.JonesP. J. S. (2021). Governance analysis of st anne marine national park, Seychelles. Mar. Policy127, 103912. doi: 10.1016/j.marpol.2020.103912
23
DayJ.DobbsK. (2013). Effective governance of a large and complex cross-jurisdictional marine protected area: Australia’s Great Barrier Reef. Mar. Policy41, 14–24. doi: 10.1016/j.marpol.2012.12.020
24
De SantoE. M. (2013a). Missing marine protected area (MPA) targets: how the push for quantity over quality undermines sustainability and social justice. J. Environ. Manage.124, 137–146. doi: 10.1016/j.jenvman.2013.01.033
25
De SantoE. M. (2013b). The Darwin Mounds special area of conservation: Implications for offshore marine governance. Mar. Policy41, 25–32. doi: 10.1016/j.marpol.2013.01.007
26
Di FrancoA.HoggK. E.CalòA.BennettN. J.Sévin-AllouetM. A.AlaminosO. E.et al. (2020). Improving marine protected area governance through collaboration and co-production. J. Environ. Manage.269, 110757. doi: 10.1016/j.jenvman.2020.110757
27
Di FrancoA.ThirietP.Di CarloG.DimitriadisC.FrancourP.GutiérrezN. L.et al. (2016). Five key attributes can increase marine protected areas performance for small-scale fisheries management. Sci. Rep.6, 38135. doi: 10.1038/srep38135
28
DudleyN. (2008) Guidelines for Applying Protected Area Management Categories (Gland, Switzerland: IUCN). Available online at: https://portals.iucn.org/library/sites/library/files/documents/pag-021.pdf (Accessed 19 July 2023). doi: 10.2305/IUCN.CH.2008.PAPS.2.en
29
DygicoM.SongcoA.WhiteA.GreenS. (2013). Achieving MPA effectiveness through application of responsive governance incentives in the Tubbataha reefs. Mar. Policy41, 87–94. doi: 10.1016/j.marpol.2012.12.031
30
ErbsM. (2014)Oracabessa Special Fisheries Conservation Area, Jamaica. In: Enabling Effective and Equitable Marine Protected Areas: guidance on combining governance approaches; Case Study Compendiu. Available online at: https://wedocs.unep.org/bitstream/handle/20.500.11822/27851/MPA_CS.pdf (Accessed 17 August 2023).
31
EvansL. S.BanN. C.SchoonM.NenadovicM. (2014). Keeping the ‘great’in the Great Barrier Reef: large-scale governance of the Great Barrier Reef Marine Park. Int. J. Commons8, 396–427. doi: 10.18352/ijc.405
32
FidlerR. Y.AhmadiaG. N.AmkieltielaAwaludinnoerCoxC.Estradivariet al. (2022). Participation, not penalties: Community involvement and equitable governance contribute to more effective multiuse protected areas. Sci. Adv.8, eabl8929. doi: 10.1126/sciadv.abl8929
33
FolkeC.CarpenterS.WalkerB.SchefferM.ElmqvistT.GundersonL.et al. (2004). Regime shifts, resilience, and biodiversity in ecosystem management. Annu. Rev. Ecol. Evol. Syst.35, 557–581. doi: 10.1146/annurev.ecolsys.35.021103.105711
34
GD-PAME (2024) Global Database on Protected Area Management Effectiveness. Available online at: https://www.protectedplanet.net/en/thematic-areas/protected-areas-management-effectiveness-pame (Accessed 28 February 2024).
35
GeorgeA. L.BennettA. (2005). Case studies and theory development in the social sciences (Cambridge, MA: MIT Press), ISBN: ISBN: 9780262572224.
36
GerhardingerL. C.InuiR.MatareziJ.HansenC.VivacquaM. (2011)Pirajubaé Marine Extractive Reserve – governance analysis. In: Governing Marine Protected Areas: getting the balance right – volume 2, Technical Report to Marine and Coastal Ecosystems Branch (Nairobi: UNEP). Available online at: https://www.ucl.ac.uk/marine-protected-area-governance/sites/marine-protected-area-governance/files/mpag-final-technical-report_vol_2_web.pdf (Accessed August 17, 2023).
37
GiakoumiS.McGowanJ.MillsM.BegerM.BustamenteR. H.CharlesA.et al. (2018). Revisiting “success” and “failure” of marine protected areas: A conservation scientist perspective. Front. Mar. Sci.5. doi: 10.3389/fmars.2018.00223
38
GiddensA. (1984). The constitution of society: Outline of the theory of structuration (Cambridge, MA: University of California Press).
39
GillD. A.LesterS. A.FreeC. M.PfaffA. (2024). A diverse portfolio of marine protected areas can better advance global conservation and equity. PNAS121, e2313205121. doi: 10.1073/pnas.2313205121
40
GillD. A.MasciaM. B.AhmadiaG. N.GlewL.LesterS. E.BarnesM.et al. (2017). Capacity shortfalls hinder the performance of marine protected areas globally. Nature543, 665–669. doi: 10.1038/nature21708
41
González-BernatM.CliftonJ. (2021a). A governance analysis of two marine protected areas in the Pacific Region of Guatemala: The Multiple Use Area of Monterrico and the Private Reserve La Chorrera-Manchón Guamuchal. Mar. Policy127, 103625. doi: 10.1016/j.marpol.2019.103625
42
González-BernatM.CliftonJ. (2021b). A governance analysis of Guatemala’s first recognized marine protected area: The Wildlife Refuge of Punta de Manabique (RVSPM). Mar. Policy127, 103626. doi: 10.1016/j.marpol.2019.103626
43
Grorud-ColvertK.Sullivan-StackJ.RobertsC.ConstantV.Horta e CostaB.PikeE. P.et al. (2021). The MPA Guide: A framework to achieve global goals for the ocean. Science373, eabf0861. doi: 10.1126/science.abf0861
44
HammondA.JonesP. J. S. (2021). Protecting the ‘blue heart of the planet’: Strengthening the governance framework for marine protected areas beyond national jurisdiction. Mar. Policy127, 104260. doi: 10.1016/j.marpol.2020.104260
45
Hampton-SmithM.GurneyG. G.CinnerJ. E. (2024). A systematic review of equity perceptions and outcomes in marine conservation. Biol. Conserv.289, 110395. doi: 10.1016/j.biocon.2023.110395
46
HéritierA.LehmkuhlD. (2008). The shadow of hierarchy and new modes of governance. J. Public Policy28, 1–17. doi: 10.1017/S0143814X08000755
47
HienB. T. T. (2011)Ha Long Bay World Natural Heritage Area – governance analysis. In: Governing Marine Protected Areas: getting the balance right – volume 2, Technical Report to Marine and Coastal Ecosystems Branch. (Nairobi: UNEP). Available online at: https://www.ucl.ac.uk/marine-protected-area-governance/sites/marine-protected-area-governance/files/mpag-final-technical-report_vol_2_web.pdf (Accessed 17 August 2023).
48
HockingsM.StoltonS.LeveringtonF.DudleyN.CourrauJ. (2006) Evaluating Effectiveness: A framework for assessing management effectiveness of protected areas. (Gland, Switzerland and Cambridge, UK: IUCN). Available online at: https://portals.iucn.org/library/efiles/documents/pag-014.pdf (Accessed 17 August 2023).
49
HoggK.Noguera-MéndezP.Semitiel-GarcíaM. (2021a). Lessons from three north-western Mediterranean MPAs: A governance analysis of Port-Cros National Park, Tavolara Punta-Coda Cavallo and Ustica. Mar. Policy127, 102943. doi: 10.1016/j.marpol.2017.10.034
50
HoggK.Semitiel-GarcíaM.Noguera-MéndezP.Antonio García-ChartonJ. (2021b). A governance analysis of Cabo de Palos-Islas Hormigas and Cabo de Gata-Níjar Marine Protected Areas, Spain. Mar. Policy127, 102944. doi: 10.1016/j.marpol.2017.10.035
51
HoogheL.MarksG. (2003). Unraveling the central state, but how? Types of multi-level governance. Am. Political Sci. Rev.97, 233–243. doi: 10.1017/S0003055403000649
52
Horta e CostaB.ClaudetJ.FrancoG.ErziniK.CaroA.GonçalvesE. J. (2016). A regulation-based classification system for Marine Protected Areas (MPAs). Mar. Policy72, 192–198. doi: 10.1016/j.marpol.2016.06.021
53
HughesT. P.BellwoodD. R.FolkeC.SteneckR. S.WilsonJ. (2005). New paradigms for supporting the resilience of marine ecosystems. Trends Ecol. Evol.20, 380–386. doi: 10.1016/j.tree.2005.03.022
54
IUCN (2022) Equity in conservation – what, why and how? World Commission on Protected Areas Technical Note 7. Available online at: https://www.iucn.org/sites/default/files/2022–08/07_iucn_wcpa_technical_note_series_no._7.pdf (Accessed 11 January 2024).
55
JacquemontJ.BlasiakR.Le CamC.Le GouellecM.ClaudetJ. (2022). Ocean conservation boosts climate change mitigation and adaptation. One Earth5, 1126–1138. doi: 10.1016/j.oneear.2022.09.002
56
JessopB. (1997). Capitalism and its future: remarks on regulation, government and governance. Rev. Int. Political Economy4, 561–581. doi: 10.1080/096922997347751
57
JonesP. J. S. (2009). Equity, justice and power issues raised by no-take marine protected area proposals. Mar. Policy33, 759–765. doi: 10.1016/j.marpol.2009.02.009
58
JonesP. J. S. (2011). The Wash & North Norfolk Coast European Marine Site – governance analysis. In: Governing Marine Protected Areas: getting the balance right –volume 2, Technical Report to Marine & Coastal Ecosystems Branch. (Nairobi: UNEP). Available online at: https://www.ucl.ac.uk/marine-protected-area-governance/sites/marine-protected-area-governance/files/mpag-final-technical-report_vol_2_web.pdf (Accessed 17 August 2023).
59
JonesP. J. S. (2013a). Governing protected areas to fulfil biodiversity conservation obligations: from Habermasian ideals to a more instrumental reality. Environment Dev. Sustainability15, 39–50. doi: 10.1007/s10668-012-9375-3
60
JonesP. J. S. (2013b). A governance analysis of the Galápagos Marine Reserve. Mar. Policy41, 65–71. doi: 10.1016/j.marpol.2012.12.019
61
JonesP. J. S. (2014). Governing Marine Protected Areas: resilience through diversity. (London and New York: Routledge). doi: 10.4324/9780203126295
62
JonesP. J. S. (2021). A governance analysis of Ningaloo and Shark Bay Marine Parks, Western Australia: Putting the ‘eco’ in tourism to build resilience but threatened in long-term by climate change? Mar. Policy127, 103636. doi: 10.1016/j.marpol.2019.103636
63
JonesP. J. S.BurgessJ. (2005). Building partnership capacity for the collaborative management of marine protected areas in the UK: A preliminary analysis. J. Environ. Manage.77, 227–243. doi: 10.1016/j.jenvman.2005.04.004
64
JonesP. J. S.De SantoE. M. (2016). Viewpoint – Is the race for remote, very large marine protected areas (VLMPAs) taking us down the wrong track? Mar. Policy73, 231–234. doi: 10.1016/j.marpol.2016.08.015
65
JonesP. J. S.LongS. D. (2021). Analysis and discussion of 28 recent marine protected area governance (MPAG) case studies: Challenges of decentralisation in the shadow of hierarchy. Mar. Policy127, 104362. doi: 10.1016/j.marpol.2020.104362
66
JonesP. J. S.QiuW.De SantoE. M. (2013). Governing Marine Protected Areas: social-ecological resilience through institutional diversity. Mar. Policy41, 5–13. doi: 10.1016/j.marpol.2012.12.026
67
KaufmannD.KraayA. (2023) Worldwide Governance Indicators 2023 Update. Available online at: www.govindicators.org (Accessed 4 April 2024).
68
KeulartzJ. (2018). “Does deliberation promote ecological citizenship? The convergence hypothesis and the reality of polarization,” in A Sustainable Philosophy—The Work of Bryan Norton. Eds. SarkarS.MinteerB. (Springer, Dordecht), 189–212.
69
KhuuT. D.JonesP. J. S.EkinsP. (2021a). A governance analysis of con dao national park, Vietnam. Mar. Policy127, 103986. doi: 10.1016/j.marpol.2020.103986
70
KhuuT. D.JonesP. J. S.EkinsP. (2021b). Governance analysis of Nha Trang Bay and Cu Lao Cham marine protected areas, Vietnam. Mar. Policy127, 104330. doi: 10.1016/j.marpol.2020.104330
71
KooimanJ. (1999). Social-political governance: overview, reflections and desig. Public Management: Int. J. Res. Theory1 (1), 67–92. doi: 10.1080/14719037800000005
72
KraayA.KaufmannD.MastruzziM. (2011). The worldwide governance indicators: methodology and analytical issues. Hague J. Rule Law3, 220–246. doi: 10.1017/S1876404511200046
73
Laínez del PozoD.JonesP. J. S. (2021). Governance analysis of two historical MPAs in northern Peru: Isla Lobos de Tierra and Isla Lobos de Afuera. Mar. Policy127, 104096. doi: 10.1016/j.marpol.2020.104096
74
LejanoR. P.IngramH. M.WhitelyJ. M.TorresD. (2007). The importance of context: integrating resource conservation with local institutions. Soc. Natural Resour.20, 177–185. doi: 10.1080/08941920601052511
75
LesterS. E.HalpernB. S.Grorud-ColvertK.LubchencoJ.RuttenbergB. I.GainesS. D.et al. (2009). Biological effects within no-take marine reserves: a global synthesis. Mar. Ecol. Prog. Ser.384, 33–46. doi: 10.3354/meps08029
76
LoBueC.UdelhovenJ. (2013). Private ownership of underwater lands in Great South Bay, New York: A case study in degradation, restoration and protection. Mar. Policy41, 103–109. doi: 10.1016/j.marpol.2012.12.021
77
LocatelliT.BinetT.KairoJ. G.KingL.MaddenS.PatenaudeG.et al. (2014). Turning the tide: how blue carbon and payments for ecosystem services (PES) might help save mangrove forests. AMBIO43, 981–995. doi: 10.1007/s13280-014-0530-y
78
LockwoodM. (2010). Good governance for terrestrial protected areas: A framework, principles and performance outcomes. J. Environ. Manage.91, 754–766. doi: 10.1016/j.jenvman.2009.10.005
79
LongS. D.JonesP. J. S. (2021). Greenland’s offshore Greenland halibut fishery and role of the Marine Stewardship Council certification: A governance case study. Mar. Policy127, 104095. doi: 10.1016/j.marpol.2020.104095
80
LongS. D.JonesP.RandrianaZ.Hadj-HammouJ. (2021a). Governance analysis of a community managed small-scale crab fishery in Madagascar: novel use of an empirical framework. Mar. Policy127, 102974. doi: 10.1016/j.marpol.2017.11.022
81
LongS. D.ThurlowG.JonesP.TurnerA.RandrianantenainaS.GammageT.et al. (2021b). Critical analysis of the governance of the Sainte Luce Locally Managed Marine Area (LMMA), southeast Madagascar. Mar. Policy127, 103691. doi: 10.1016/j.marpol.2019.103691
82
MacedoH.MedeirosR. (2021). Rethinking governance in a Brazilian multiple-use marine protected area. Mar. Policy127, 103235. doi: 10.1016/j.marpol.2018.08.019
83
MacedoH.VivacquaM.RodriguesH.GerhardingerL. (2013). Governing wide coastal-marine protected territories: A governance analysis of the Baleia Franca Environmental Protection Area in South Brazil. Mar. Policy41, 118–125. doi: 10.1016/j.marpol.2013.01.008
84
MackelworthP.HolcerD.FortunaC. (2013). Unbalanced governance: The Cres-Lošinj special marine reserve, a missed conservation opportunity. Mar. Policy41, 126–133. doi: 10.1016/j.marpol.2012.12.017
85
MarzialiL. (2014)Velondriake Locally Managed Marine Area, Madagascar. In: Enabling Effective and Equitable Marine Protected Areas: guidance on combining governance approaches; Case Study Compendium. (UNEP: Nairobi). Available online at: https://wedocs.unep.org/bitstream/handle/20.500.11822/27851/MPA_CS.pdf (Accessed 17 August 2023).
86
MasciaM. B.FoxH. E.GlewL.AhmadiaG. N.AgrawalA.BarnesM.et al. (2017). A novel framework for analyzing conservation impacts: evaluation, theory, and marine protected areas. Ann. New York Acad. Sci.1399, 93–115. doi: 10.1111/nyas.13428
87
McCayB. J. (2002). “Emergence of institutions for the commons: contexts, situations, and events,” in The Drama Of The Commons. Eds. E. OstromE.DietzT.DolšakN.SternP. C.SonichS.WeberE. U. (National Academy Press, Washington DC, USA), 361–402.
88
McGinnisM. D.OstromE. (2014). Social-ecological system framework: initial changes and continuing challenges. Ecol. Soc.19 (2), 30. doi: 10.5751/ES-06387-190230
89
MCI (Marine Conservation Institute) (2024) Marine Protection Atlas. Available online at: https://mpatlas.org/ (Accessed 28 February 2024).
90
MillerM. L.KirkJ. (1992). Marine environmental ethics. Ocean Coast. Manage.17, 237–251. doi: 10.1016/0964-5691(92)90012-A
91
MorrisonT. H. (2017). Evolving polycentric governance of the Great Barrier Reef. Proc. Natl. Acad. Sci.114, E3013–E3021. doi: 10.1073/pnas.1620830114
92
MPAG (2018) Marine Protected Area Governance (MPAG) Project. Available online at: https://www.ucl.ac.uk/marine-protected-area-governance/ (Accessed 19 July 2023).
93
MurrayR. (2021). A governance analysis of three MPAs in Belize: Conservation objectives compromised by tourism development priorities? Mar. Policy127, 104243. doi: 10.1016/j.marpol.2020.104243
94
NordlundL.KloiberU.CarterE.RiedmillerS. (2013). Chumbe island coral park -governance analysis. Mar. Policy41, 110–117. doi: 10.1016/j.marpol.2012.12.018
95
NorgaardR. D. (1984). Coevolutionary agricultural development. Economic Dev. Cultural Change32, 525–546. doi: 10.1086/451404
96
NowakowskiA. J.CantyS. W.BennettN. J.CoxC. E.ValdiviaA.DeichmannJ. L.et al. (2023). Co-benefits of marine protected areas for nature and people. Nat. Sustainability6, 1210–1218. doi: 10.1038/s41893-023-01150-4
97
OliverT. H.HeardM. S.IsaacN. J.RoyD. B.ProcterD.EigenbrodF.et al. (2015). Biodiversity and resilience of ecosystem functions. Trends Ecol. Evol.30, 673–684. doi: 10.1016/j.tree.2015.08.009
98
OstromE. (1990). Governing the commons: The evolution of institutions for collective action (Cambridge: Cambridge University Press. Online ISBN:9780511807763). doi: 10.1017/CBO9780511807763
99
OstromE. (2005). Understanding Institutional Diversity. (New Jersey, USA: Princeton University Press, Princeton). doi: 10.2307/j.ctt7s7wm
100
OstromE. (2007). A diagnostic approach for going beyond panaceas. Proc. Natl. Acad. Sci.104, 15181–15187. doi: 10.1073/pnas.0702288104
101
OstromE. (2009). A general framework for analyzing sustainability of social-ecological systems. Science325, 419–422. doi: 10.1126/science.1172133
102
Perez de OliveiraL. (2013). Fishers as advocates of marine protected areas: a case study from Galicia (NW Spain). Mar. Policy41, 95–102. doi: 10.1016/j.marpol.2012.12.024
103
PieracciniM.CoppaS.De LuciaG.A (2016). Beyond marine paper parks? Regulation theory to assess and address environmental non-compliance. Aquatic Conservation: Marine and Freshwater Ecosystems27, 177–196. doi: 10.1002/aqc.2632
104
Protected Planet (2024) Marine Protected Areas. Available online at: https://www.protectedplanet.net/en/thematic-areas/marine-protected-areas (Accessed 28 February 2024).
105
QiuW. (2013). The Sanya Coral Reef National Marine Nature Reserve, China: A governance analysis. Mar. Policy41, 50–56. doi: 10.1016/j.marpol.2012.12.030
106
R Core Team (2021). R: A language and environment for statistical computing (Vienna: R Foundation for Statistical Computing). Available at: https://www.R-project.org/.
107
RelanoV.PaulyD. (2023). The ‘Paper Park Index’: Evaluating Marine Protected Area effectiveness through a global study of stakeholder perceptions. Mar. Policy151, 105571. doi: 10.1016/j.marpol.2023.105571
108
RhodesR. A. W. (1997). Understanding Governance: Policy Networks, Governance, Reflexivity and Accountability (Philadelphia: Open University Press).
109
RobertsT.JonesP. (2013). North East Kent European marine site: Overcoming barriers to conservation through community engagement. Mar. Policy41, 33–40. doi: 10.1016/j.marpol.2012.12.016
110
RydinY.PenningtonM. (2000). Public participation and local environmental planning: the collective action problem and the potential of social capital. Local Environ.5, 153–169. doi: 10.1080/13549830050009328
111
SalaE.GiakoumiS. (2018). No-take marine reserves are the most effective protected areas in the ocean. ICES J. Mar. Sci.75, 1166–1168. doi: 10.1093/icesjms/fsx059
112
SaundersF. P. (2014). The promise of common pool resource theory and the reality of commons projects. Int. J. Commons8, 636–656. doi: 10.18352/ijc.477
113
ScharpfF. W. (1994). Games real actors could play: positive and negative coordination in embedded negotiations. J. Theor. Politics6, 27–53. doi: 10.1177/0951692894006001002
114
SchlüterA.WiseS.SchwerdtnerMánezK.Weber de MoraisG.GlaserM. (2013). Institutional change, sustainability and the sea. Sustainability5, 5373–5390. doi: 10.3390/su5125373
115
SchreckenbergK.FranksP.MartinA.LangB. (2016). Unpacking equity for protected area conservation. PARKS22, 11–26. doi: 10.2305/IUCN.CH.2014.PARKS
116
SciberrasM.JenkinsS. R.MantR.KaiserM. J.HawkinsS. J.PullinA. S. (2015). Evaluating the relative conservation value of fully and partially protected marine areas. Fish Fisheries16, 58–77. doi: 10.1111/faf.12044
117
ScruccaL. (2013). GA: A package for genetic algorithms in R. J. Stat. Software53, 1–37. doi: 10.18637/jss.v053.i04
118
ScruccaL. (2017). On some extensions to GA package: hybrid optimisation, parallelisation and islands evolution. R J.17, 187–206. doi: 10.32614/RJ-2017-008
119
SingerR.JonesP. (2021). Lyme Bay marine protected area: A governance analysis. Mar. Policy127, 103201. doi: 10.1016/j.marpol.2018.07.004
120
SmurthwaiteS. A. (2014)Fal & Helford European Marine Site, UK. In: Enabling Effective and Equitable Marine Protected Areas: guidance on combining governance approaches; Case Study Compendium (Nairobi: UNEP). Available online at: https://wedocs.unep.org/bitstream/handle/20.500.11822/27851/MPA_CS.pdf (Accessed 17 August 2023).
121
SolerG. A.EdgarG. J.ThomsonR. J.KininmonthS.CampbellS. J.DawsonT. P.et al. (2015). Reef fishes at all trophic levels respond positively to effective marine protected areas. PloS One10, e0140270. doi: 10.1371/journal.pone.0140270
122
SowmanM.SundeJ. (2018). Social impacts of marine protected areas in South Africa on coastal fishing communities. Ocean Coast. Manage.157, 168–179. doi: 10.1016/j.ocecoaman.2018.02.013
123
StaffordR.Claire RindF. (2007). Data mining neural spike trains for the identification of behavioural triggers using evolutionary algorithms. Neurocomputing70, 1079–1084. doi: 10.1016/j.neucom.2006.09.011
124
Survival International (2023) Survival International launches campaign to stop “30x30” – “the biggest land grab in history”. Available online at: https://www.survivalinternational.org/news/12570 (Accessed 19 July 2023).
125
TaylorE.BaineM.KillmerA.HowardM. (2013). Seaflower marine protected area: Governance for sustainable development. Mar. Policy41, 57–64. doi: 10.1016/j.marpol.2012.12.023
126
TellwrightN. (2014)Sandals Boscobel Special Fisheries Conservation Area, Jamaica. In: Enabling Effective and Equitable Marine Protected Areas: guidance on combining governance approaches; Case Study Compendium (Nairobi: UNEP). Available online at: https://wedocs.unep.org/bitstream/handle/20.500.11822/27851/MPA_CS.pdf (Accessed 17 August 2023).
127
ThorpeC. (2016)Bluefields Bay Special Fisheries Conservation Area, Jamaica. In: Enabling Effective and Equitable Marine Protected Areas: guidance on combining governance approaches; Case Study Compendium. (Nairobi: UNEP). Available online at: https://wedocs.unep.org/bitstream/handle/20.500.11822/27851/MPA_CS.pdf (Accessed 17 August 2023).
128
ThurlowG.JonesP. J. S. (2021). A governance analysis of Soufriere Marine Management Area, Saint Lucia: Previously effective but increasingly challenged by driving forces. Mar. Policy127, 104220. doi: 10.1016/j.marpol.2020.104220
129
TurnbullJ. W.JohnstonE. L.ClarkG. F. (2021). Evaluating the social and ecological effectiveness of partially protected marine areas. Conserv. Biol.35, 921–932. doi: 10.1111/cobi.13677
130
United Nations Environment (2019) Enabling Effective and Equitable Marine Protected Areas – guidance on combining governance approaches. Available online at: https://www.unep.org/resources/report/enabling-effective-and-equitable-marine-protected-areas-guidance-combining (Accessed 19 July 2023).
131
WeismanW.McCayB. (2011)Isla Natividad Marine Protected Area – governance analysis. In: Governing Marine Protected Areas: getting the balance right – Volume 2 (Nairobi: UNEP). Available online at: https://www.ucl.ac.uk/marine-protected-area-governance/sites/marine-protected-area-governance/files/mpag-final-technical-report_vol_2_web.pdf (Accessed 17 August 2023).
132
WickhamH. (2016). Ggplot2: Elegant Graphics for Data Analysis. 2nd edition (New York: Springer International Publishing). doi: 10.1007/978-3-319-24277-4
133
WilliamsonO. E. (1991). Comparative economic organization: the analysis of discrete structural alternatives. Administrative Sci. Q.36, 269–296. doi: 10.2307/2393356
134
YunitawatiD.CliftonJ. (2021). Governance in the early stages of marine protected area development: A case study of Nusa Penida District Marine Conservation Area, Indonesia. Mar. Policy127, 103653. doi: 10.1016/j.marpol.2019.103653
135
Zafra-CalvoaN.PascualU.BrockingtonD.CoolsaetfB.Cortes-VazquezeJ. A.Gross-CampN.et al. (2017). Towards an indicator system to assess equitable management in protected areas. Biol. Conserv.211, 134–141. doi: 10.1016/j.biocon.2017.05.014
136
ZupanM.FragkopoulouE.ClaudetJ.ErziniK.Horta e CostaB.GonçalvesE. J. (2018). Marine partially protected areas: drivers of ecological effectiveness. Front. Ecol. Environ.16, 381–387. doi: 10.1002/fee.1934
Summary
Keywords
marine protected areas, social-ecological systems, effectiveness, equity, coevolutionary governance, decentralization
Citation
Jones PJS, Stafford R, Hesse I and Khuu DT (2024) Incentive diversity is key to the more effective and equitable governance of marine protected areas. Front. Mar. Sci. 11:1412654. doi: 10.3389/fmars.2024.1412654
Received
05 April 2024
Accepted
08 May 2024
Published
14 June 2024
Volume
11 - 2024
Edited by
Reniel Cabral, James Cook University, Australia
Reviewed by
Vera Horigue, Macquarie University, Australia
Natasa Maria Vaidianu, Ovidius University, Romania
Updates
Copyright
© 2024 Jones, Stafford, Hesse and Khuu.
This is an open-access article distributed under the terms of the Creative Commons Attribution License (CC BY). The use, distribution or reproduction in other forums is permitted, provided the original author(s) and the copyright owner(s) are credited and that the original publication in this journal is cited, in accordance with accepted academic practice. No use, distribution or reproduction is permitted which does not comply with these terms.
*Correspondence: Peter J. S. Jones, P.J.Jones@ucl.ac.uk
†Present address: Isabel Hesse, Consultant, Brussels, Belgium
Disclaimer
All claims expressed in this article are solely those of the authors and do not necessarily represent those of their affiliated organizations, or those of the publisher, the editors and the reviewers. Any product that may be evaluated in this article or claim that may be made by its manufacturer is not guaranteed or endorsed by the publisher.